Last updated: 4/14/2025
Order (To Lift Restrictions-Wrongful Death Structured Settlement)
Start Your Free Trial $ 16.00What you get:
- Instant access to fillable Microsoft Word or PDF forms.
- Minimize the risk of using outdated forms and eliminate rejected fillings.
- Largest forms database in the USA with more than 80,000 federal, state and agency forms.
- Download, edit, auto-fill multiple forms at once in MS Word using our Forms Workflow Ribbon
- Trusted by 1,000s of Attorneys and Legal Professionals
Description
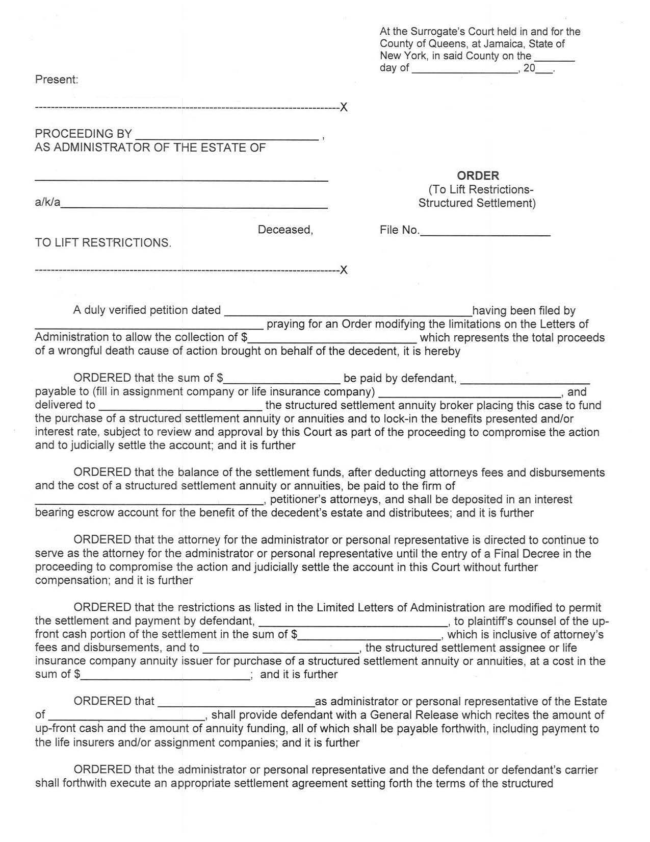
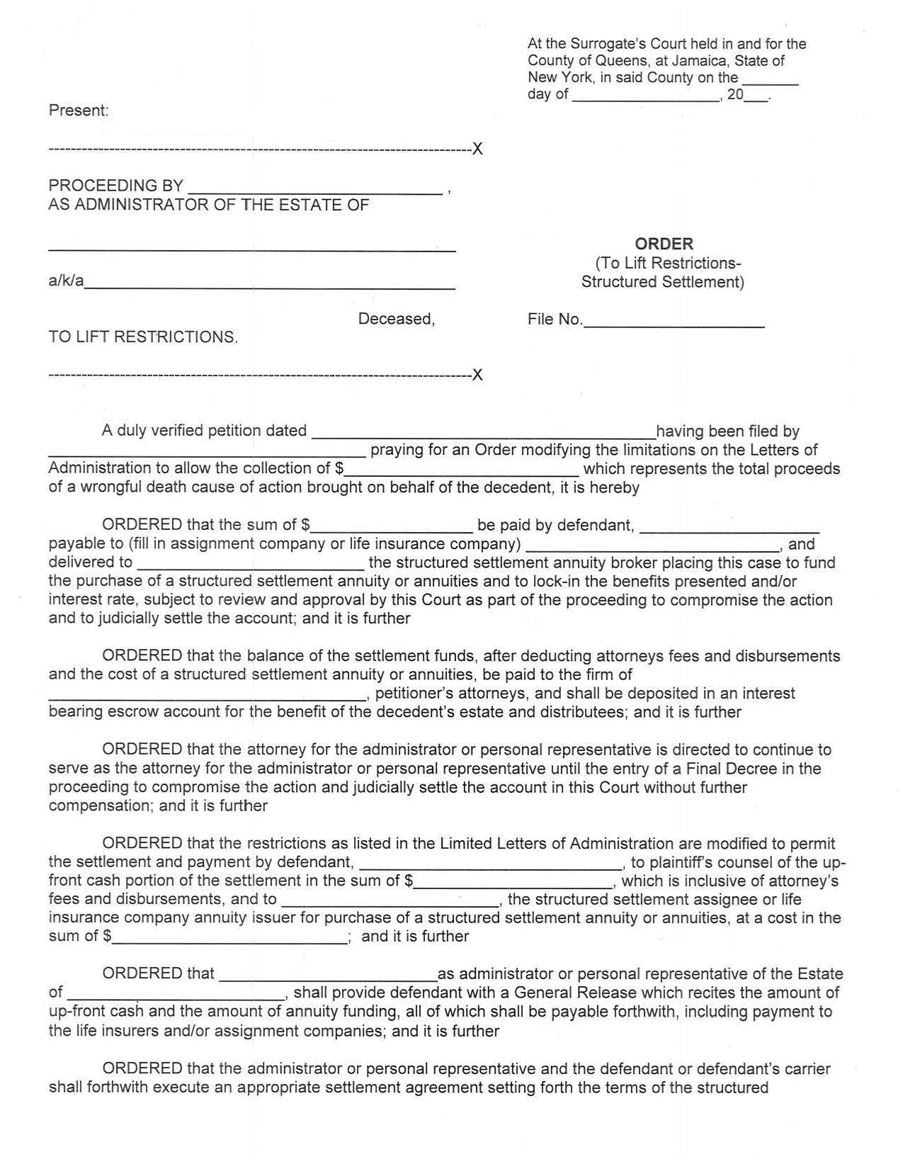
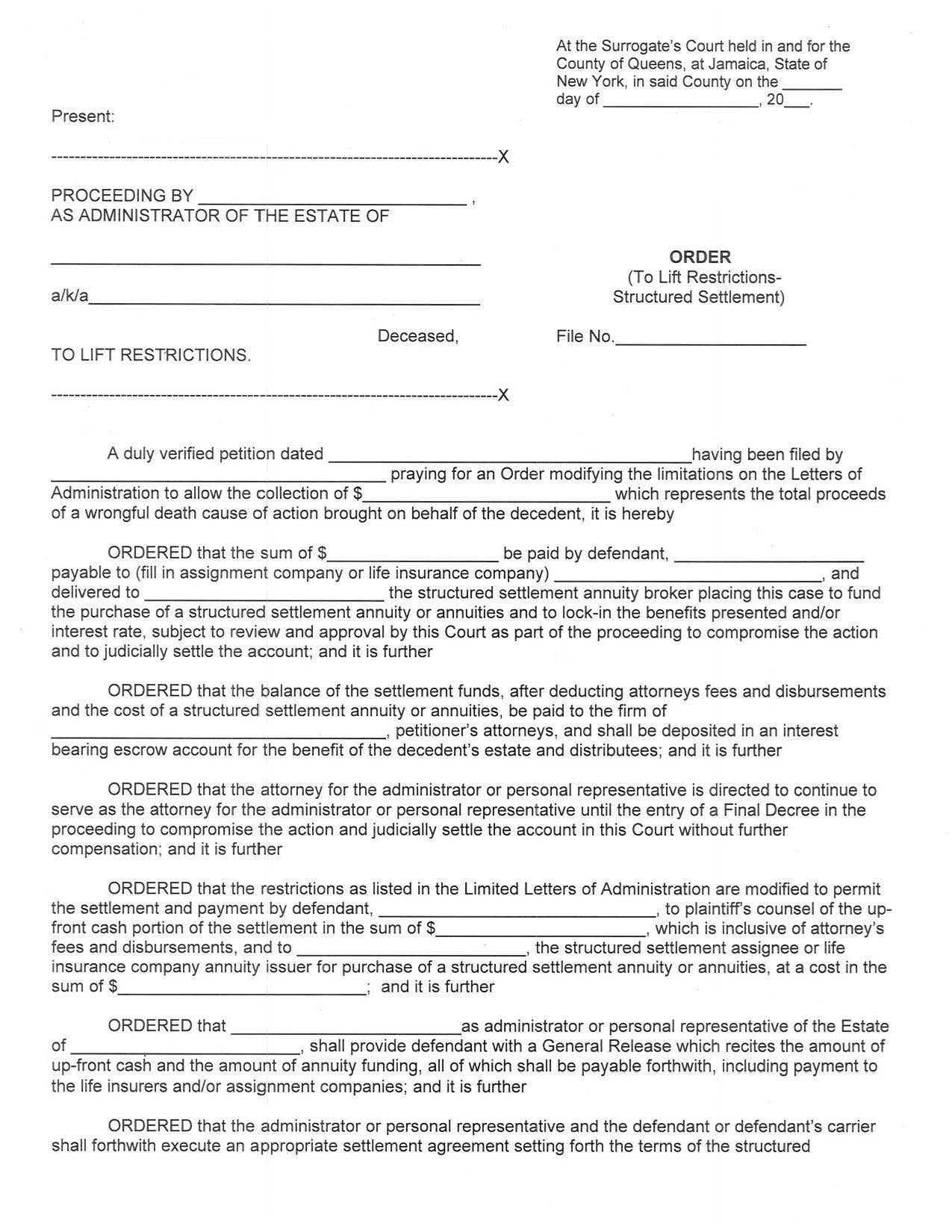
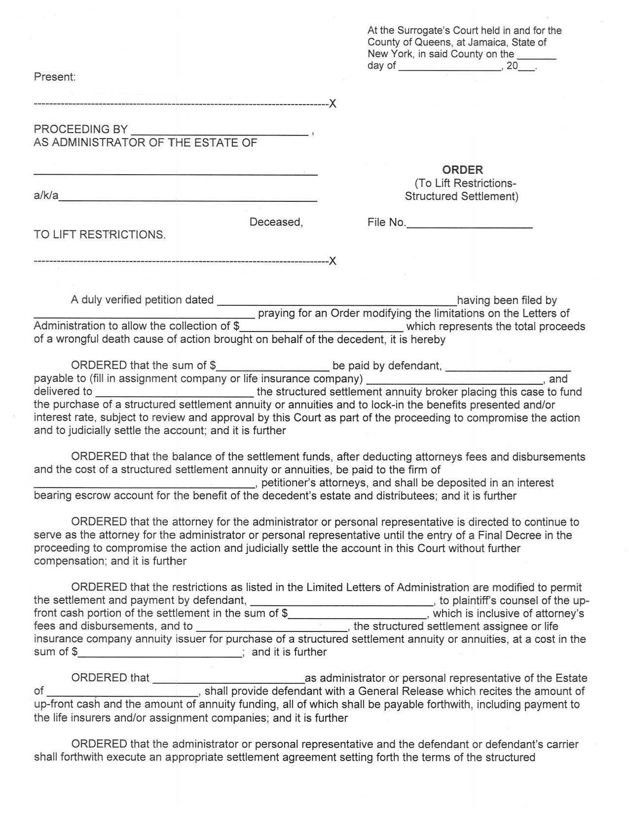
ORDER (TO LIFT RESTRICTIONS - STRUCTURED SETTLEMENT). This form is used in the Surrogate's Court to issue an order allowing the lifting of restrictions on the Letters of Administration for a structured settlement. The order permits the collection and allocation of settlement funds from a wrongful death cause of action. Key points include directing the payment to an assignment company or life insurance company for a structured settlement annuity, specifying attorney fees and disbursements, outlining the conditions for the settlement agreement, and mandating court approval for the final terms and payments. The order also addresses the creation of an escrow account, approval of attorney fees and expenses, and procedures for further court filings and distribution of proceeds. www.FormsWorkflow.com
Related forms
-
Decree Granting Probate
New York/Local County/Queens/Surrogates Court/ -
Application For Preliminary Letters Testamentary
New York/Local County/Queens/Surrogates Court/ -
Order For Preliminary Letters Testamentary
New York/Local County/Queens/Surrogates Court/ -
Application For Temporary Letters Of Administration
New York/Local County/Queens/Surrogates Court/ -
Order Extending Temporary Letters Of Administration
New York/Local County/Queens/Surrogates Court/ -
Order Extending Preliminary Letters Testamentary
New York/Local County/Queens/Surrogates Court/ -
Cash Flow Statement
New York/Local County/Queens/Surrogates Court/ -
Petition To Examine Safe Deposit Box
New York/Local County/Queens/Surrogates Court/ -
Order Granting Temporary Administration
New York/Local County/Queens/Surrogates Court/ -
Petition To Examine Residence
New York/Local County/Queens/Surrogates Court/ -
Decree With Restriction
New York/Local County/Queens/Surrogates Court/ -
Decree Appointing Ancillary Administrator
New York/3 Local County/Queens/Surrogates Court/ -
Decree Appointing Administrator De Bonis Non
New York/3 Local County/Queens/Surrogates Court/ -
Bond Affidavit.
New York/3 Local County/Queens/Surrogates Court/ -
(Attorney) Certification Pursuant To CPLR S. 2105 (Will Copy)
New York/3 Local County/Queens/Surrogates Court/ -
Notice Of Application To Lift Restrictions
New York/3 Local County/Queens/Surrogates Court/ -
Real Property Affidavit
New York/3 Local County/Queens/Surrogates Court/ -
Petition To Lift Restrictions (Personal Injury Settlement)
New York/3 Local County/Queens/Surrogates Court/ -
Affirmation Of No Opposition (Citation)
New York/3 Local County/Queens/Surrogates Court/ -
Probate Citation-OTSC Response Form
New York/3 Local County/Queens/Surrogates Court/ -
Affirmation Of No Opposition (Probate Proceeding)
New York/3 Local County/Queens/Surrogates Court/ -
Preliminary-Temporary Letters Of Administration Citation
New York/3 Local County/Queens/Surrogates Court/ -
Citation - 1411 Practice
New York/3 Local County/Queens/Surrogates Court/ -
Probate Citation
New York/3 Local County/Queens/Surrogates Court/ -
Miscellaneous Citation-OTSC Response Form
New York/3 Local County/Queens/Surrogates Court/ -
1404 Order
New York/3 Local County/Queens/Surrogates Court/ -
Administration Citation-OTSC Response Form
New York/3 Local County/Queens/Surrogates Court/ -
Administration Citation
New York/3 Local County/Queens/Surrogates Court/ -
Citation (General - COVID)
New York/3 Local County/Queens/Surrogates Court/ -
Citation (Accounting)
New York/3 Local County/Queens/Surrogates Court/ -
Citation-OTSC Response Form
New York/3 Local County/Queens/Surrogates Court/ -
OTSC Notice (COVID)
New York/3 Local County/Queens/Surrogates Court/ -
Appearance Notice (COVID)
New York/3 Local County/Queens/Surrogates Court/ -
Accounting Citation-OTSC Response Form
New York/3 Local County/Queens/Surrogates Court/ -
Inventory Of Safe Deposit Box Opening
New York/3 Local County/Queens/Surrogates Court/ -
Citation Notice
New York/3 Local County/Queens/Surrogates Court/ -
Heirship-Pedigree Affidavit
New York/Local County/Queens/Surrogates Court/ -
Bond And Real Property Affidavit
New York/3 Local County/Queens/Surrogates Court/ -
Statement Of Death
New York/Local County/Queens/Surrogates Court/ -
Order Dispensing WIth Service Of Process Pursuant SCPA 1003(4)
New York/Local County/Queens/Surrogates Court/ -
Petition To Lift Restrictions (Wrongful Death Structured Settlement) With Checklist
New York/Local County/Queens/Surrogates Court/ -
Notice Of Application To Lift Restrictions (Wrongful Death Structured Settlement)
New York/Local County/Queens/Surrogates Court/ -
Affidavit Of Mailing Notice Of Application To Lift Restrictions (Wrongful Death)
New York/Local County/Queens/Surrogates Court/ -
Petition To Lift Restrictions (Wrongful Death Settlement) With Checklist
New York/Local County/Queens/Surrogates Court/ -
Decree Granting Ancillary Probate
New York/Local County/Queens/Surrogates Court/ -
Decree Awarding Letters Of Administration
New York/Local County/Queens/Surrogates Court/ -
Decree (Awarding Limited Administrator - Cause Of Action)
New York/3 Local County/Queens/Surrogates Court/ -
Decree (Application For Letters Of Administration)
New York/Local County/Queens/Surrogates Court/ -
Decree (For The Appointment Of Successor Administrators CTA)
New York/Local County/Queens/Surrogates Court/ -
Decree (For The Appointment Of Successor Administrators DBN)
New York/Local County/Queens/Surrogates Court/ -
Decree Appointing Administrator
New York/Local County/Queens/Surrogates Court/ -
Compulsory Accounting Citation
New York/3 Local County/Queens/Surrogates Court/ -
Decree (For The Appointment Of Successor Executors)
New York/Local County/Queens/Surrogates Court/ -
Order To Examine Safe Deposit Box
New York/Local County/Queens/Surrogates Court/ -
Order (To Lift Restrictions-Wrongful Death Structured Settlement)
New York/Local County/Queens/Surrogates Court/ -
Order (To Lift Restrictions-Wrongful Death)
New York/Local County/Queens/Surrogates Court/ -
Order To Lift Restrictions (No Wrongful Death)
New York/3 Local County/Queens/Surrogates Court/ -
Decree (For The Appointment Of Trustee)
New York/Local County/Queens/Surrogates Court/ -
Decree (For The Appointment Of Successor Trustee)
New York/Local County/Queens/Surrogates Court/ -
Order To Examine Residence
New York/Local County/Queens/Surrogates Court/ -
Letters Of Administration DBN Citation
New York/3 Local County/Queens/Surrogates Court/
Form Preview
Contact Us
Success: Your message was sent.
Thank you!




