Last updated: 3/26/2025
Garnishment Summons To Confirm Conditional Judgment (Non-Wage) {CCL 0026}
Start Your Free Trial $ 13.99What you get:
- Instant access to fillable Microsoft Word or PDF forms.
- Minimize the risk of using outdated forms and eliminate rejected fillings.
- Largest forms database in the USA with more than 80,000 federal, state and agency forms.
- Download, edit, auto-fill multiple forms at once in MS Word using our Forms Workflow Ribbon
- Trusted by 1,000s of Attorneys and Legal Professionals
Description
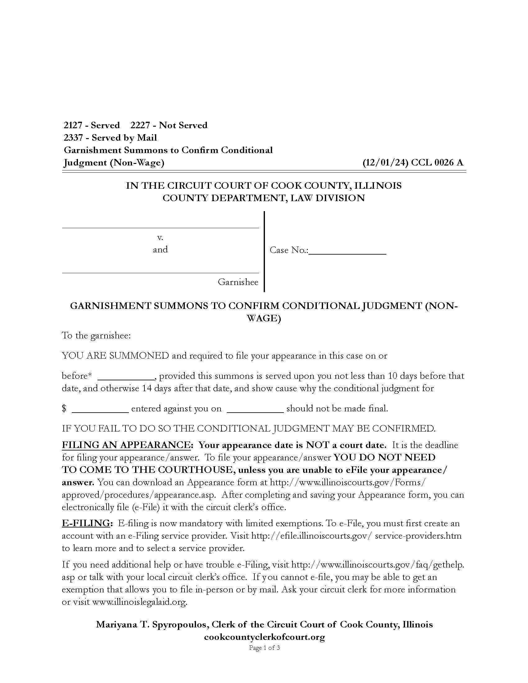
CCL 0026 - GARNISHMENT SUMMONS TO CONFIRM CONDITIONAL JUDGMENT (NON-WAGE). This form is used in the Circuit Court of Cook County, Illinois. It is issued to a garnishee, a third party who may hold assets belonging to a judgment debtor. The form notifies the garnishee that they must appear and show cause why a conditional judgment—a preliminary court decision against them—should not be made final. If the garnishee does not respond by the deadline, the court may confirm the judgment, making them liable for the amount owed. The form also provides instructions for filing an appearance, e-filing procedures, fee waivers, remote court appearances, and contact information for court divisions. www.FormsWorkflow.com
Related forms
-
Pro Se Complaint For Administrative Review
Illinois/Local County/Cook/Law/ -
Transfer Order
Illinois/Local County/Cook/Law/ -
Notice Of Law Division Mandatory Arbitration Award
Illinois/Local County/Cook/Law/ -
Law Division Mandatory Arbitration Schedule
Illinois/Local County/Cook/Law/ -
Attorney Code Request And Notification Re ECM Notice For Attorneys
Illinois/2 Local County/Cook/Law/ -
Rejection Of Commercial Calendar Mandatory Arbitration Award
Illinois/2 Local County/Cook/Law/ -
Certificate Of Mailing Notice By Publication
Illinois/Local County/Cook/Law/ -
Transfer File Out Of Cook County Request Form
Illinois/Local County/Cook/Law/ -
Order Setting Briefing-Hearing (2005 Use Only)
Illinois/Local County/Cook/Law/ -
Agreed Transfer For Pretrial Order
Illinois/Local County/Cook/Law/ -
Assignment For Prove-Up Order
Illinois/Local County/Cook/Law/ -
Garnishment Summons To Confirm Conditional Judgment (Non-Wage)
Illinois/Local County/Cook/Law/ -
Affidavit For Garnishment (Non-Wage)
Illinois/2 Local County/Cook/Law/ -
Subpoena For A Foreign Action Cover Sheet
Illinois/2 Local County/Cook/Law/ -
Bond - Certiorari - Workmens Compensation
Illinois/2 Local County/Cook/Law/ -
Certificate Of Mailing Workers Compensation
Illinois/2 Local County/Cook/Law/ -
Summons To Respondent Workers Compensation Review
Illinois/Local County/Cook/Law/ -
Summons To Illinois Workers Compensation Commission Workers Compensation Review
Illinois/Local County/Cook/Law/ -
Request To Clerk Of Circuit Court [For Workers Comp Summons]
Illinois/Local County/Cook/Law/ -
Summons In Administrative Review
Illinois/Local County/Cook/Law/ -
Certificate Of Costs
Illinois/Local County/Cook/Law/ -
Case Management Order - Category 1 Cases
Illinois/2 Local County/Cook/Law/ -
Pre-Trial Memorandum
Illinois/2 Local County/Cook/Law/ -
Case Management Order - Category 2 Cases
Illinois/2 Local County/Cook/Law/ -
Order Of Referral To Law Division Mandatory Arbitration
Illinois/Local County/Cook/Law/ -
Notice Of Motion Via Zoom Proceeding
Illinois/Local County/Cook/Law/ -
Order For Appointment Of Mediator
Illinois/Local County/Cook/Law/ -
Court-Annexed Mediation Referral Order
Illinois/Local County/Cook/Law/ -
Reassignment Order
Illinois/2 Local County/Cook/Law/ -
Certificate In Support Of Default
Illinois/2 Local County/Cook/Law/ -
Order To Special Stay Calendar
Illinois/Local County/Cook/Law/ -
Civil Action Cover Sheet - Case Initiation
Illinois/Local County/Cook/Law/ -
Answer
Illinois/2 Local County/Cook/Law/ -
Appearance
Illinois/Local County/Cook/Law/ -
Administrative Order
Illinois/Local County/Cook/Law/ -
Complaint (Blank)
Illinois/Local County/Cook/Law/ -
Order Resetting Law Division Mandatory Arbitration Hearing
Illinois/Local County/Cook/Law/ -
Notice Of Motion And Status Call
Illinois/Local County/Cook/Law/ -
Summons In Administrative Review
Illinois/Local County/Cook/Law/ -
Order Transferring From Law To Civil Division
Illinois/Local County/Cook/Law/ -
Judgment On Arbitration Award
Illinois/2 Local County/Cook/Law/ -
Order Of Recusal
Illinois/Local County/Cook/Law/ -
Trial Certification Order
Illinois/Local County/Cook/Law/
Form Preview
Contact Us
Success: Your message was sent.
Thank you!




