Last updated: 9/25/2024
Indemnity Only Stipulation
Start Your Free Trial $ 14.00What you get:
- Instant access to fillable Microsoft Word or PDF forms.
- Minimize the risk of using outdated forms and eliminate rejected fillings.
- Largest forms database in the USA with more than 80,000 federal, state and agency forms.
- Download, edit, auto-fill multiple forms at once in MS Word using our Forms Workflow Ribbon
- Trusted by 1,000s of Attorneys and Legal Professionals
Description
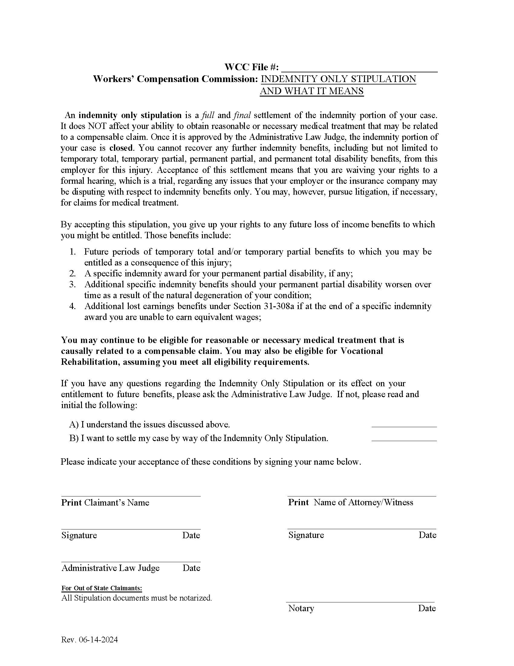
INDEMNITY ONLY STIPULATION. An indemnity only stipulation is a full and final settlement of the indemnity portion of your case. It does NOT affect your ability to obtain reasonable or necessary medical treatment that may be related to a compensable claim. Once it is approved by the Administrative Law Judge, the indemnity portion of your case is closed. You cannot recover any further indemnity benefits, including but not limited to temporary total, temporary partial, permanent partial, and permanent total disability benefits, from this employer for this injury. Acceptance of this settlement means that you are waiving your rights to a formal hearing, which is a trial, regarding any issues that your employer or the insurance company may be disputing with respect to indemnity benefits only. You may, however, pursue litigation, if necessary, for claims for medical treatment. By accepting this stipulation, you give up your rights to any future loss of income benefits to which you might be entitled. www.FormsWorkflow.com
Related forms
-
Filing Status And Exemption Form
Connecticut/Workers Compensation/ -
Record Of Employment Contacts
Connecticut/Workers Compensation/ -
Employers First Report Of Occupational Injury Or Illness
Connecticut/Workers Compensation/ -
Guarantee Resolution
Connecticut/Workers Compensation/ -
Self Insurance Guarantee Agreement
Connecticut/Workers Compensation/ -
Self Insurer Surety Bond
Connecticut/Workers Compensation/ -
Order To Second Injury Fund In Cases Of Concurrent Employment
Connecticut/Workers Compensation/ -
Building Permit Affidavit For Property Owners Or Sole Proprietors
Connecticut/Workers Compensation/ -
Notice To Dependents
Connecticut/Workers Compensation/ -
Building Permit For The General Contractor Or Principal Employer
Connecticut/Workers Compensation/ -
Building Permit For The Sole Proprietor Or Property Owner
Connecticut/Workers Compensation/ -
Notification Of Appearance
Connecticut/Workers Compensation/ -
Mileage Worksheet For Medical Treatment
Connecticut/Workers Compensation/ -
Employee Medical And Work Status Form
Connecticut/Workers Compensation/ -
Utilization Review Company Minimum Standards
Connecticut/Workers Compensation/ -
Employer Participation Form
Connecticut/Workers Compensation/ -
Hearing Cancellation Request
Connecticut/Workers Compensation/ -
Notice To Compensation Commissioner And Employee Of Intention To Contest Employees Right To Compensation Benefits
Connecticut/Workers Compensation/ -
Petition For Review
Connecticut/Workers Compensation/ -
Notice To Employees
Connecticut/Workers Compensation/ -
Notice Of Intention To Reduce Or Discontinue Payments
Connecticut/Workers Compensation/ -
Application For Certificate Of Self Insurance
Connecticut/Workers Compensation/ -
Commutation
Connecticut/Workers Compensation/ -
Physicians Permanent Impairment Evaluation
Connecticut/Workers Compensation/ -
Stipulation Questionnaire
Connecticut/Workers Compensation/ -
Notice Of Claim For Compensation
Connecticut/Workers Compensation/ -
Dependents Notice Of Claim
Connecticut/Workers Compensation/ -
Hearing Request
Connecticut/Workers Compensation/ -
Indemnity Only Stipulation
Connecticut/Workers Compensation/ -
Voluntary Agreement
Connecticut/Workers Compensation/ -
Report Of Employees Wages
Connecticut/Workers Compensation/ -
Safety And Health Inspection Form
Connecticut/Workers Compensation/ -
Coverage Election By Employee Who Is An Officer Or Member
Connecticut/Workers Compensation/ -
Authorization To Obtain And Or Disclose Health Information
Connecticut/Workers Compensation/ -
Coverage Election By Employees Who Are Members Of Partnership
Connecticut/Workers Compensation/ -
Coverage Election By Sole Proprietor Or Single Member LLC
Connecticut/Workers Compensation/ -
Rehabilitation Request
Connecticut/Workers Compensation/
Form Preview
Contact Us
Success: Your message was sent.
Thank you!




