Last updated: 8/29/2024
Adoption Consent Child 10 Or Older {P-420}
Start Your Free Trial $ 5.99What you get:
- Instant access to fillable Microsoft Word or PDF forms.
- Minimize the risk of using outdated forms and eliminate rejected fillings.
- Largest forms database in the USA with more than 80,000 federal, state and agency forms.
- Download, edit, auto-fill multiple forms at once in MS Word using our Forms Workflow Ribbon
- Trusted by 1,000s of Attorneys and Legal Professionals
Description
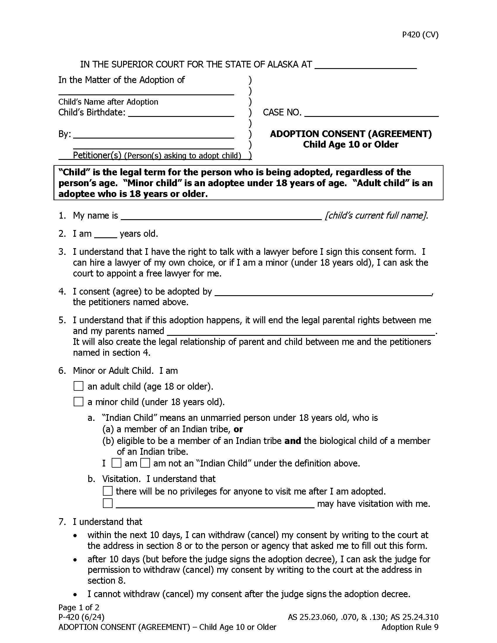
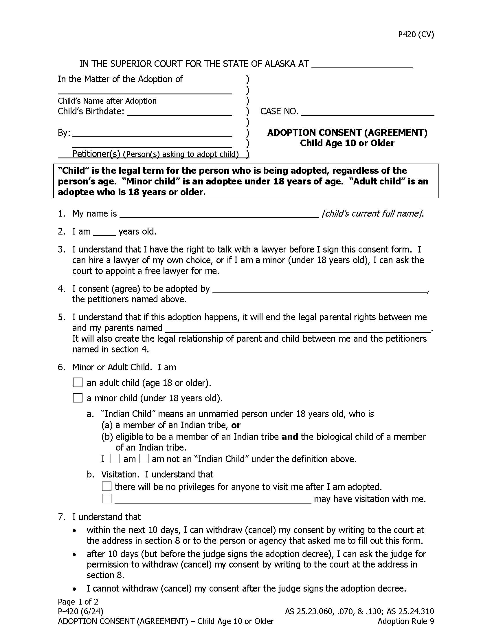
P-420 - ADOPTION CONSENT (AGREEMENT) Child Age 10 or Older. This form is used in the Superior Court for the State of Alaska and requires the child to acknowledge their understanding of the adoption process, including the termination of legal parental rights with their biological parents and the creation of a legal parent-child relationship with the adoptive parents. The child also has the option to consult with a lawyer and can withdraw their consent within a specific timeframe. The form must be signed voluntarily by the child in the presence of a judicial officer, special master, notary, or court clerk. AS 25.23.060, .070, & .130; AS 25.24.310. Adoption Rule 9. www.FormsWorkflow.com
Related forms
-
Affidavit For Collection Of Personal Property Of Decedent
Alaska/Statewide/Probate/ -
Claim Against Estate
Alaska/Statewide/Probate/ -
Demand For Notice
Alaska/Statewide/Probate/ -
Affidavit For Release Of Property To Temporary Custodian
Alaska/Statewide/Probate/ -
Affidavit Of Publication
Alaska/Statewide/Probate/ -
Agreement And Receipt For Deposit Of Will
Alaska/Statewide/Probate/ -
Courts Order To Start Formal Probate And Appoint A Personal Representative When There Is A Will
Alaska/Statewide/Probate/ -
Final Accounting And Proposed Distribution
Alaska/Statewide/Probate/ -
Information To Heirs And Devisees
Alaska/Statewide/Probate/ -
Inventory Of Property
Alaska/Statewide/Probate/ -
Inventory Of Property Taken By Temporary Custodian
Alaska/Statewide/Probate/ -
Notice Of Allowance Or Disallowance Of Claim
Alaska/Statewide/Probate/ -
Notice Of Hearing On Petition
Alaska/Statewide/Probate/ -
Notice To Creditors
Alaska/Statewide/Probate/ -
Request To Close Formal Estate And Approve Distribution
Alaska/Statewide/Probate/ -
Waiver Of Bond Requirement
Alaska/Statewide/Probate/ -
Receipt And Release Of Property
Alaska/Statewide/Probate/ -
Nomination For Appointment Of Personal Representative With Equal Or Lower Priority
Alaska/Statewide/Probate/ -
Domiciliary Foreign Personal Representatives Statement
Alaska/Statewide/Probate/ -
Order Recognizing The Authority Of Domiciliary Foreign Personal Representative
Alaska/Statewide/Probate/ -
Application For Appointment As Temporary Property Custodian
Alaska/Statewide/Probate/ -
Request For Release Of Deposited Will
Alaska/Statewide/Probate/ -
Request For Certificate Of Adoption Or Termination Of Parental Rights
Alaska/Statewide/Probate/ -
Statement Starting Informal Probate And Appointing A Personal Representative When There is A Will
Alaska/Statewide/Probate/ -
Statement Starting Informal Probate And Appointing A Personal Representative When There is No Will
Alaska/Statewide/Probate/ -
Courts Order To Start Formal Probate And Appoint A Personal Representative When There Is No Will
Alaska/Statewide/Probate/ -
Acceptance Of Duties By Personal Representative
Alaska/Statewide/Probate/ -
Acceptance Of Duties By Personal Representative And Letters Of Administration
Alaska/Statewide/Probate/ -
Sworn Statement Of Personal Representative Closing Small Estate
Alaska/Statewide/Probate/ -
Sworn Statement Of Personal Representative To Close Informal Estate
Alaska/Statewide/Probate/ -
Report Of Indian Adoptive Placement
Alaska/Statewide/Probate/ -
Adoption Notice To Absent Parent
Alaska/Statewide/Probate/ -
Request To Be Appointed As Co-Personal Representative
Alaska/Statewide/Probate/ -
Affidavit Of Reasonable Investigation
Alaska/Statewide/Probate/ -
Objection To Adoption
Alaska/Statewide/Probate/ -
Request To Start Formal Probate And Appoint A Personal Representative When There is No Will
Alaska/Statewide/Probate/ -
Request To Start Informal Probate And Appoint A Personal Representative When There Is No Will
Alaska/Statewide/Probate/ -
Request To Start Formal Probate And Appoint A Personal Representative When There Is A Will
Alaska/Statewide/Probate/ -
Request To Start Informal Probate And Appoint A Personal Representative When There Is A Will
Alaska/Statewide/Probate/ -
Registration Of Trust
Alaska/Statewide/Probate/ -
Adoption Consent Parent Spouse Guardian
Alaska/Statewide/Probate/ -
Adoption Consent Child 10 Or Older
Alaska/Statewide/Probate/ -
Adoption Petition
Alaska/Statewide/Probate/
Form Preview
Contact Us
Success: Your message was sent.
Thank you!




