California Jury Instructions
25 Fair Employment And Housing Act
200 Ratings
Last updated: 6/12/2024
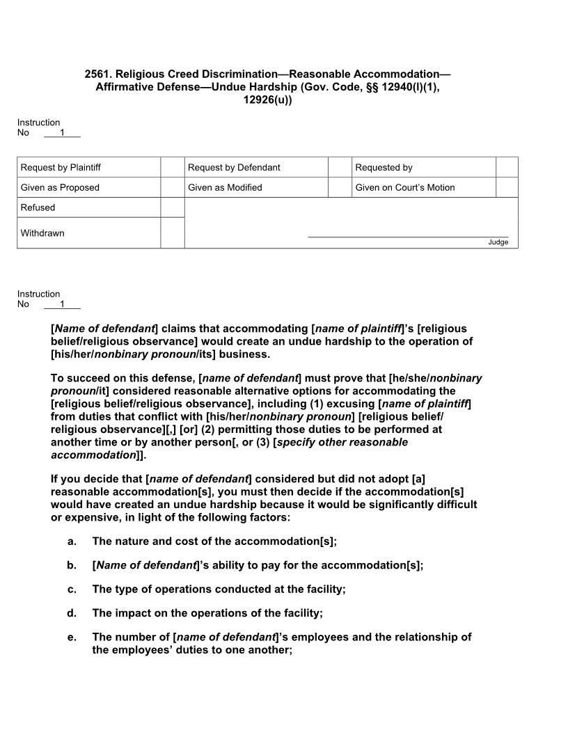
2561. Religious Creed Discrimination Reasonable Accommodation Affirmative Defense Undue Hardship
Start Your Free Trial $ 13.99What you get:
- Instant access to fillable Microsoft Word or PDF forms.
- Minimize the risk of using outdated forms and eliminate rejected fillings.
- Largest forms database in the USA with more than 80,000 federal, state and agency forms.
- Download, edit, auto-fill multiple forms at once in MS Word using our Forms Workflow Ribbon
- Trusted by 1,000s of Attorneys and Legal Professionals
Description
New September 2003; Revoked December 2012; Restored and Revised June 2013
Related forms
-
2523. Harassing Conduct Explained
California Jury Instructions/25 Fair Employment And Housing Act/ -
2542. Disability Discrimination Reasonable Accommodation Explained
California Jury Instructions/25 Fair Employment And Housing Act/ -
2507. Substantial Motivating Reason Explained
California Jury Instructions/25 Fair Employment And Housing Act/ -
2505. Retaliation Essential Factual Elements (Gov. Code, 12940(h))
California Jury Instructions/25 Fair Employment And Housing Act/ -
2510. Constructive Discharge Explained
California Jury Instructions/25 Fair Employment And Housing Act/ -
2520. Quid pro quo Sexual Harassment Essential Factual Elements
California Jury Instructions/25 Fair Employment And Housing Act/ -
2526. Affirmative Defense Avoidable Consequences Doctrine (Sexual Harassment by a Supervisor)
California Jury Instructions/25 Fair Employment And Housing Act/ -
2570. Age Discrimination Disparate Treatment Essential Factual Elements
California Jury Instructions/25 Fair Employment And Housing Act/ -
2511. Adverse Action Made by Decision Maker Without Animus (Cats Paw)
California Jury Instructions/25 Fair Employment And Housing Act/ -
2545. Disability Discrimination-Affirmative Defense-Undue Hardship
California Jury Instructions/25 Fair Employment And Housing Act/ -
2560. Religious Creed Discrimination Failure to Accommodate Essential Factual Elements
California Jury Instructions/25 Fair Employment And Housing Act/ -
2503. Affirmative Defense Business Necessity or Job Relatedness
California Jury Instructions/25 Fair Employment And Housing Act/ -
2504. Disparate Impact Rebuttal to Business Necessity Job Relatedness Defense
California Jury Instructions/25 Fair Employment And Housing Act/ -
2506. Limitation on Remedies After-Acquired Evidence
California Jury Instructions/25 Fair Employment And Housing Act/ -
2509. Adverse Employment Action Explained
California Jury Instructions/25 Fair Employment And Housing Act/ -
2524. Severe or Pervasive Explained
California Jury Instructions/25 Fair Employment And Housing Act/ -
2544. Disability Discrimination Affirmative Defense Health or Safety Risk
California Jury Instructions/25 Fair Employment And Housing Act/ -
2543. Disability Discrimination Essential Job Duties Explained (Gov. Code 12926(f) 12940(a)(1))
California Jury Instructions/25 Fair Employment And Housing Act/ -
2525. Harassment Supervisor Defined (Gov. Code, 12926(t))
California Jury Instructions/25 Fair Employment And Housing Act/ -
2508. Failure to File Timely Administrative Complaint Plaintiff Alleges Continuing Violation
California Jury Instructions/25 Fair Employment And Housing Act/ -
2546. Disability Discrimination Reasonable Accommodation Failure To Engage In Interactive Process
California Jury Instructions/25 Fair Employment And Housing Act/ -
2580. Pregnancy Discrimination Failure To Accommodate Essential Factual Elements
California Jury Instructions/Fair Employment And Housing Act/ -
2581. Pregnancy Discrimination Reasonable Accommodation Explained
California Jury Instructions/Fair Employment And Housing Act/ -
2561. Religious Creed Discrimination Reasonable Accommodation Affirmative Defense Undue Hardship
California Jury Instructions/25 Fair Employment And Housing Act/ -
2513. Business Judgment For At Will Employment
California Jury Instructions/25 Fair Employment And Housing Act/ -
2541. Disability Discrimination Reasonable Accommodation Essential Factual Elements (Gov. Code, 12940(m))
California Jury Instructions/25 Fair Employment And Housing Act/ -
VF 2502. Disparate Impact (Gov. Code, § 12940(a))
California Jury Instructions/25 Fair Employment And Housing Act/ -
VF 2503. Disparate Impact (Gov Code §12940(a)) Aff Def Bus Necessity Job Relatedness Rebuttal to Def
California Jury Instructions/25 Fair Employment And Housing Act/ -
VF 2504. Retaliation (Gov. Code, § 12940(h))
California Jury Instructions/25 Fair Employment And Housing Act/ -
VF 2505. Quid pro quo Sexual Harassment
California Jury Instructions/25 Fair Employment And Housing Act/ -
VF 2506B. Work Environment Harassment - Conduct Directed At Others - Employer-Entity Defendant
California Jury Instructions/25 Fair Employment And Housing Act/ -
VF 2506C. Work Environment Harassment - Sexual Favoritism - Employer Or Entity Defendant
California Jury Instructions/25 Fair Employment And Housing Act/ -
VF 2507B. Work Environment Harassment - Conduct Directed At Others - Individual Defendant
California Jury Instructions/25 Fair Employment And Housing Act/ -
VF 2507C. Work Environment Harassment - Sexual Favoritism - Individual Defendant
California Jury Instructions/25 Fair Employment And Housing Act/ -
VF 2508. Disability Discrimination Disparate Treatment
California Jury Instructions/25 Fair Employment And Housing Act/ -
VF 2509. Disability Discrimination Reasonable Accommodation (Gov. Code, § 12940(m))
California Jury Instructions/25 Fair Employment And Housing Act/ -
VF 2510. Disability Discrimination - Reasonable Accommodation - Affirmative Defense - Undue Hardship
California Jury Instructions/25 Fair Employment And Housing Act/ -
VF 2511. Religious Creed Discrimination Failure to Accommodate (Gov. Code, § 12940(l))
California Jury Instructions/25 Fair Employment And Housing Act/ -
VF 2512. Religious Creed Discrimination Failure To Accommodate Affirmative Defense Undue Hardship
California Jury Instructions/25 Fair Employment And Housing Act/ -
VF 2513. Disability Discrimination - Reasonable Accommodation - Failure To Engage In Interactive Process
California Jury Instructions/25 Fair Employment And Housing Act/ -
VF 2514. Failure to Prevent Harassment Discrimination or Retaliation
California Jury Instructions/Fair Employment And Housing Act/ -
2500. Disparate Treatment Essential Factual Elements (Gov. Code, 12940(a))
California Jury Instructions/25 Fair Employment And Housing Act/ -
2501. Affirmative Defense Bona fide Occupational Qualification
California Jury Instructions/25 Fair Employment And Housing Act/ -
2502. Disparate Impact Essential Factual Elements (Gov. Code, 12940(a))
California Jury Instructions/25 Fair Employment And Housing Act/ -
2512. Limitation on Remedies Same Decision
California Jury Instructions/25 Fair Employment And Housing Act/ -
2521A. Work Environment Harassmt Dir. at Pltf Ess Fact Els Employer or Entity Deft
California Jury Instructions/25 Fair Employment And Housing Act/ -
2521B. Work Environment Harassment Cond Dir. at Others Ess. Fact Els Employer-Entity Deft
California Jury Instructions/25 Fair Employment And Housing Act/ -
2521C. Work Environment Harassment Widespr Sex Favoritism Ess Fact Els Emplyr-Entity Deft
California Jury Instructions/25 Fair Employment And Housing Act/ -
2522A. Work Environment Harassment Cond Dir. at Pltf Ess Fact Els Individual Deft
California Jury Instructions/25 Fair Employment And Housing Act/ -
2522B. Work Environment Harassment Cond Dir at Others Ess Fact Els Individual Deft
California Jury Instructions/25 Fair Employment And Housing Act/ -
2522C. Work Environment Harassment Sexual Favoritism Essential Factual Elements Individual Defendant
California Jury Instructions/25 Fair Employment And Housing Act/ -
2527. Failure to Prevent Harassment Discrim. Ess. Factual Els. Employer-Entity Deft (Gov. Code, 12940(k))
California Jury Instructions/25 Fair Employment And Housing Act/ -
2528. Failure To Prevent Sexual Harassment By Nonemployee
California Jury Instructions/25 Fair Employment And Housing Act/ -
2540. Disability Discrimination Disparate Treatment Essential Factual Elements
California Jury Instructions/25 Fair Employment And Housing Act/ -
2547. Disability-Based Associational Discrimination Essential Factual Elements
California Jury Instructions/25 Fair Employment And Housing Act/ -
2548. Disability Discrimination-Refusal To Make Reasonable Accommodation In Housing
California Jury Instructions/25 Fair Employment And Housing Act/ -
VF 2500. Disparate Treatment (Gov. Code, § 12940(a))
California Jury Instructions/25 Fair Employment And Housing Act/ -
VF 2501. Disparate Treatment - Affirmative Defense - Bona Fide Occupational Qualification
California Jury Instructions/25 Fair Employment And Housing Act/ -
VF 2506A. Work Environment Harassment - Conduct Directed At Plaintiff - Employer-Entity Defendant
California Jury Instructions/25 Fair Employment And Housing Act/ -
2549. Disability Discrimination-Refusal To Permit Reasonable Modification To Housing Unit
California Jury Instructions/25 Fair Employment And Housing Act/ -
VF 2507A. Work Environment Harassment - Conduct Directed At Plaintiff - Individual Defendant
California Jury Instructions/25 Fair Employment And Housing Act/ -
VF 2515. Limitation on Remedies Same Decision
California Jury Instructions/Fair Employment And Housing Act/
Form Preview
Sorry, we couldn't download the pdf file.
Our Products
Contact Us
Success: Your message was sent.
Thank you!




