Last updated: 3/22/2025
Amendments To Petition Lists Statements Schedules
Start Your Free Trial $ 13.99What you get:
- Instant access to fillable Microsoft Word or PDF forms.
- Minimize the risk of using outdated forms and eliminate rejected fillings.
- Largest forms database in the USA with more than 80,000 federal, state and agency forms.
- Download, edit, auto-fill multiple forms at once in MS Word using our Forms Workflow Ribbon
- Trusted by 1,000s of Attorneys and Legal Professionals
Description
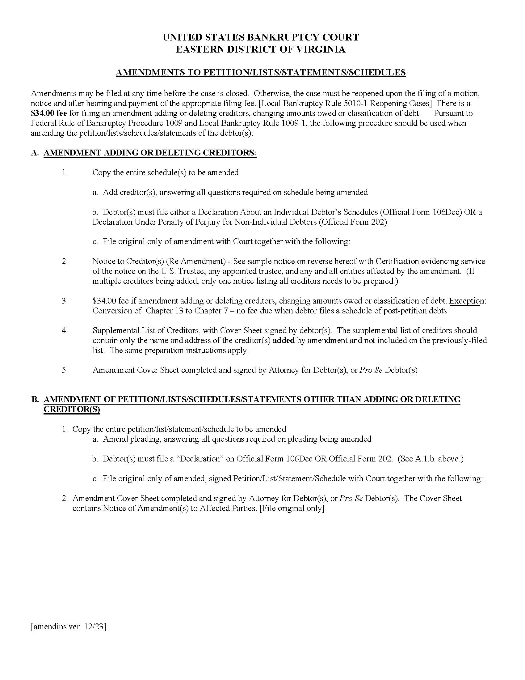
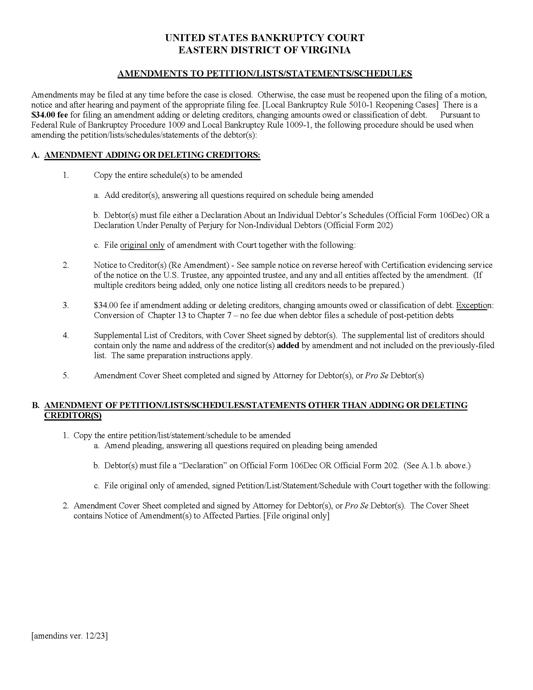
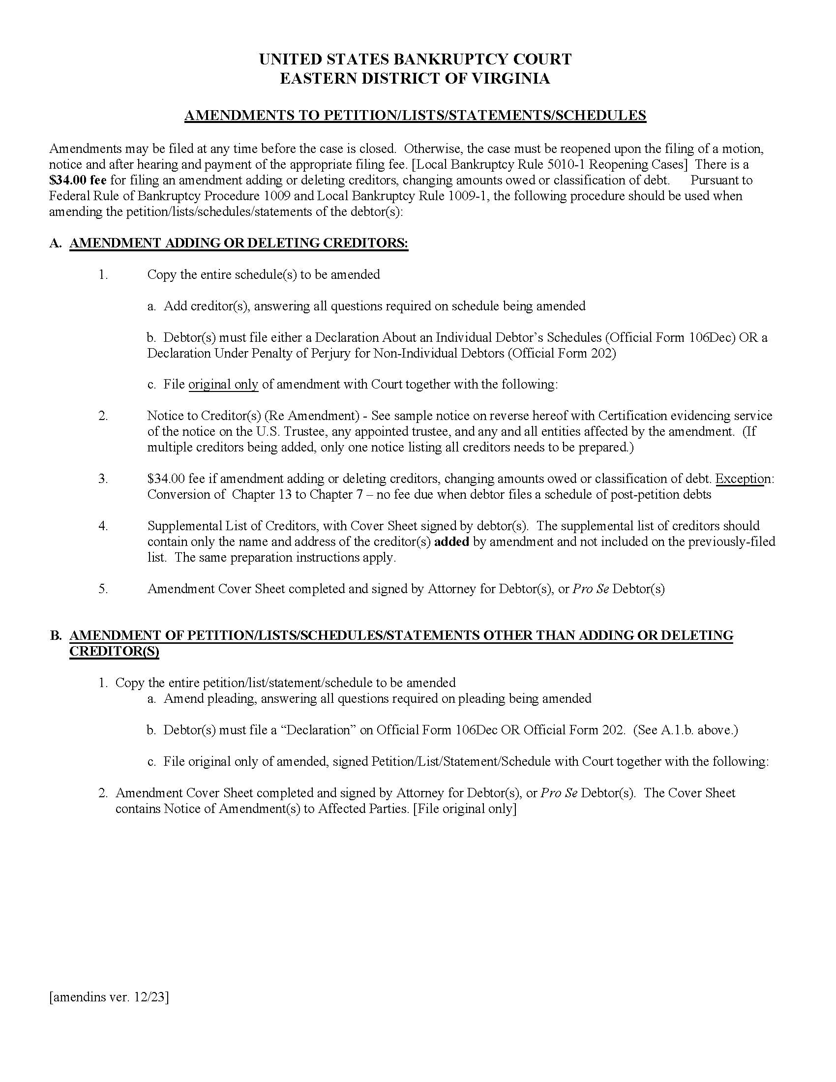
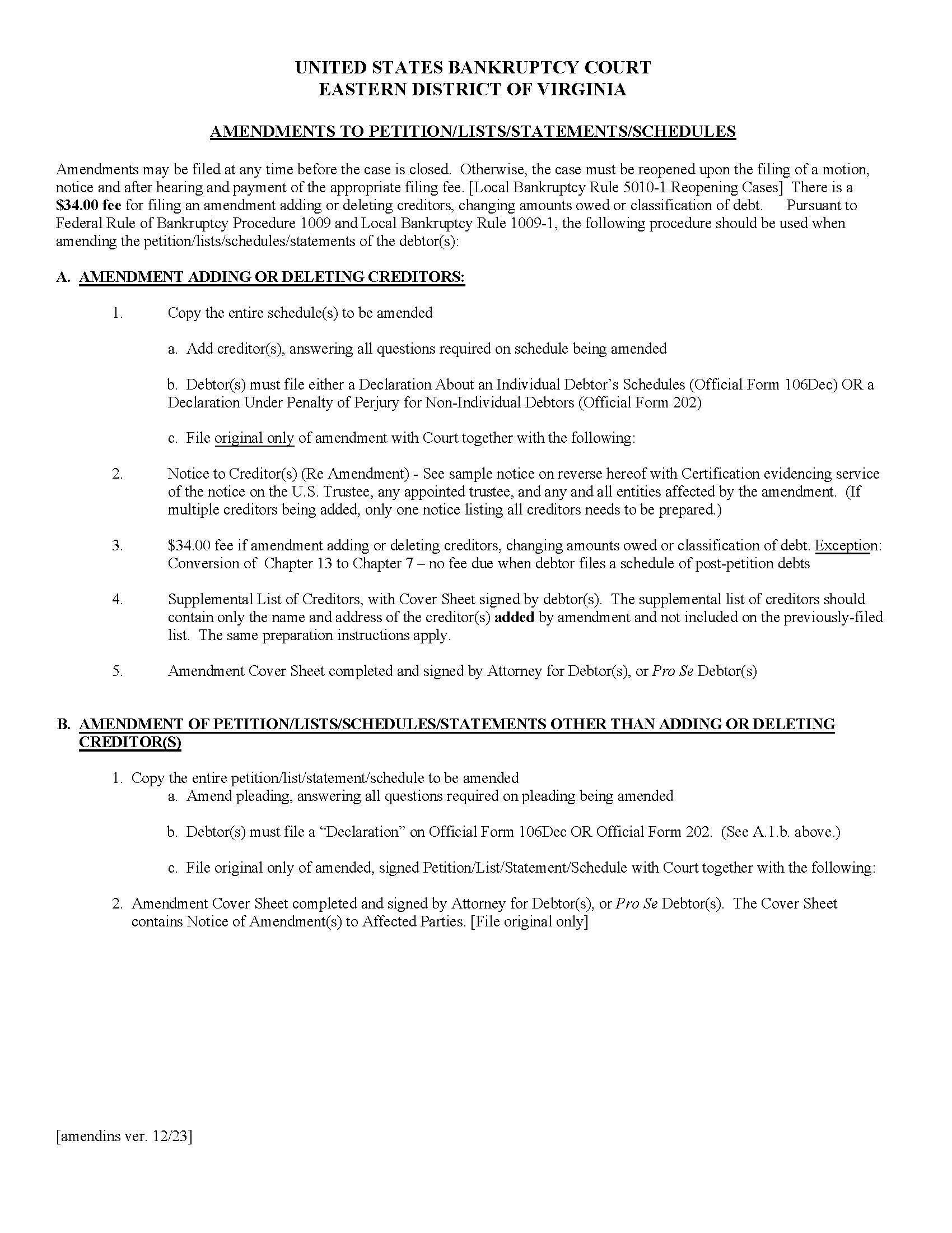
AMENDMENTS TO PETITION/LISTS/STATEMENTS/SCHEDULES. This form is used in the United States Bankruptcy Court for the Eastern District of Virginia when a debtor needs to amend previously filed bankruptcy documents. Amendments can be made at any time before the case is closed; otherwise, the case must be reopened through a motion, notice, hearing, and payment of the required filing fee. If the amendment involves adding or deleting creditors, changing amounts owed, or reclassifying debt, a $34.00 filing fee applies, except when converting a Chapter 13 case to Chapter 7 and filing a schedule of post-petition debts. When adding or deleting creditors, the debtor must copy the entire schedule being amended, provide a Declaration About an Individual Debtor’s Schedules (Official Form 106Dec) or a Declaration Under Penalty of Perjury for Non-Individual Debtors (Official Form 202), and file the amendment with the court. Additionally, a Notice to Creditors (Re Amendment) must be served on the U.S. Trustee, appointed trustee, and affected parties, and a Supplemental List of Creditors containing only the newly added creditors must be submitted. An Amendment Cover Sheet, signed by the debtor or their attorney, must accompany the filing. For amendments not involving creditors, such as modifications to petitions, lists, schedules, or statements, the debtor must copy the document to be amended, make the necessary changes, and submit it along with the required declaration form and an Amendment Cover Sheet. The cover sheet serves as a notice of the amendment to affected parties and must be signed by the debtor or their attorney. These amendments ensure that the bankruptcy record remains accurate and compliant with Federal Rule of Bankruptcy Procedure 1009 and Local Bankruptcy Rule 1009-1. www.FormsWorkflow.com
Related forms
-
Notice To Creditors Re Amendment
Virginia/Federal/USBC Eastern/ -
Order For Joint Administration
Virginia/Federal/USBC Eastern/ -
Suggestion For Summons In Garnishment
Virginia/Federal/USBC Eastern/ -
Financial Interest Disclosure Statement
Virginia/Federal/USBC Eastern/ -
Garnishment Summons
Virginia/Federal/USBC Eastern/ -
Instruction Form For On-Site Review Of United States Courts Case Files
Virginia/Federal/USBC Eastern/ -
Certification Regarding Request For Expedited Hearing
Virginia/Federal/USBC Eastern/ -
Certification As To Good Faith Settlement Conference And Mediation
Virginia/Federal/USBC Eastern/ -
Certificate Of Service
Virginia/Federal/USBC Eastern/ -
Procedure For Release Of Funds Held Under Garnishment
Virginia/Federal/USBC Eastern/ -
Procedures For Requesting A Garnishment
Virginia/Federal/USBC Eastern/ -
Certificate And Affidavit For Adding Creditors To Schedules In A Closed Case
Virginia/Federal/USBC Eastern/ -
Change Of Address
Virginia/Federal/USBC Eastern/ -
Order For Return Of Unclaimed Funds
Virginia/Federal/USBC Eastern/ -
Report Of Deposit Of Small Dividend
Virginia/Federal/USBC Eastern/ -
Report Of Deposit Of Unclaimed Funds
Virginia/Federal/USBC Eastern/ -
Special Notice To Secured Creditor
Virginia/Federal/USBC Eastern/ -
Corporate Ownership Statement
Virginia/Federal/USBC Eastern/ -
Application To Pay Filing Fee In Installments (For Cases Filed On Or After 10-17-05)
Virginia/Federal/USBC Eastern/ -
Notice To Defer Payment Of Certain Fees
Virginia/Federal/USBC Eastern/ -
Application For Supplemental Compensation Of Attorney For Debtor
Virginia/Federal/USBC Eastern/ -
Attorney Certification
Virginia/Federal/USBC Eastern/ -
Application For Compensation Of Attorney For Debtor
Virginia/Federal/USBC Eastern/ -
Certification Under Local Bankruptcy Rule 2090 1
Virginia/Federal/USBC Eastern/ -
Summary Of The Proposed Loan Modification
Virginia/Federal/USBC Eastern/ -
Request For File From Federal Records Center
Virginia/Federal/USBC Eastern/ -
Application To Qualify As An Attorney
Virginia/Federal/USBC Eastern/ -
Certificate Of Member Of Bar Of Western District Of Virginia
Virginia/Federal/USBC Eastern/ -
Request For Waiver To File By Flash Drive Or Conventionally
Virginia/Federal/USBC Eastern/ -
Request For Waiver (Flash Drive)
Virginia/Federal/USBC Eastern/ -
Order Directing Deposit Of Funds In Court Registry
Virginia/Federal/USBC Eastern/ -
Order Directing Disbursement Of Funds In Court Registry
Virginia/Federal/USBC Eastern/ -
Order Granting Relief From Stay
Virginia/3 Federal/USBC Eastern/ -
Consent Order Modifying Automatic Stay
Virginia/3 Federal/USBC Eastern/ -
Application To Qualify As A Third Year Law Student Permitted To Appear
Virginia/Federal/USBC Eastern/ -
Affirmation Of Attorney Status
Virginia/3 Federal/USBC Eastern/ -
COVID-19 Vaccination Status Attestation
Virginia/3 Federal/USBC Eastern/ -
Application To Qualify As A Foreign Attorney
Virginia/Federal/USBC Eastern/ -
Debtors Certification Of Compliance With Section 1141
Virginia/Federal/USBC Eastern/ -
Debtors Certification Of Compliance With Section 1328
Virginia/Federal/USBC Eastern/ -
Notice Of Objection To Claim
Virginia/Federal/USBC Eastern/ -
Notice Of Motion Or Objection
Virginia/Federal/USBC Eastern/ -
Certification Of Qualifying Government Employment
Virginia/3 Federal/USBC Eastern/ -
Disclosure Of Compensation Of Attorney For Debtor (Ch. 13)
Virginia/Federal/USBC Eastern/ -
Disclosure Of Compensation Of Attorney For Debtor (Other Than Ch. 13)
Virginia/Federal/USBC Eastern/ -
Amendment Cover Sheet
Virginia/Federal/USBC Eastern/ -
Application For Payment Of Unclaimed Funds (VAED)
Virginia/Federal/USBC Eastern/ -
Amendments To Petition Lists Statements Schedules
Virginia/Federal/USBC Eastern/ -
Copy Request Form
Virginia/Federal/USBC Eastern/ -
Notice Of Hearing (Adversary Or Contested)
Virginia/Federal/USBC Eastern/ -
Notice (Rescheduled Trial)
Virginia/Federal/USBC Eastern/ -
Notice Of Combined Hearing On Final Approval Of Disclosure Statement And Plan Confirmation
Virginia/Federal/USBC Eastern/ -
Notice Of Hearing On Confirmation Combined With Notice Of Times For Filing Acceptances Of Rejections
Virginia/Federal/USBC Eastern/ -
Notice Of Rescheduled Hearing (Bankruptcy)
Virginia/3 Federal/USBC Eastern/ -
Chapter 13 Plan And Related Motions
Virginia/Federal/USBC Eastern/ -
Notice Of Rescheduled Hearing (Adversary Or Contested)
Virginia/Federal/USBC Eastern/ -
Notice Of Hearing On Disclosure Statement
Virginia/Federal/USBC Eastern/ -
Notice Of Hearing (Bankruptcy Case)
Virginia/Federal/USBC Eastern/ -
Cover Sheet List Of Creditors
Virginia/Federal/USBC Eastern/ -
Notice Of Rescheduled Meeting Of Creditors
Virginia/Federal/USBC Eastern/
Form Preview
Contact Us
Success: Your message was sent.
Thank you!




