Alabama
Secretary Of State
Domestic Corporations
Last updated: 5/2/2024
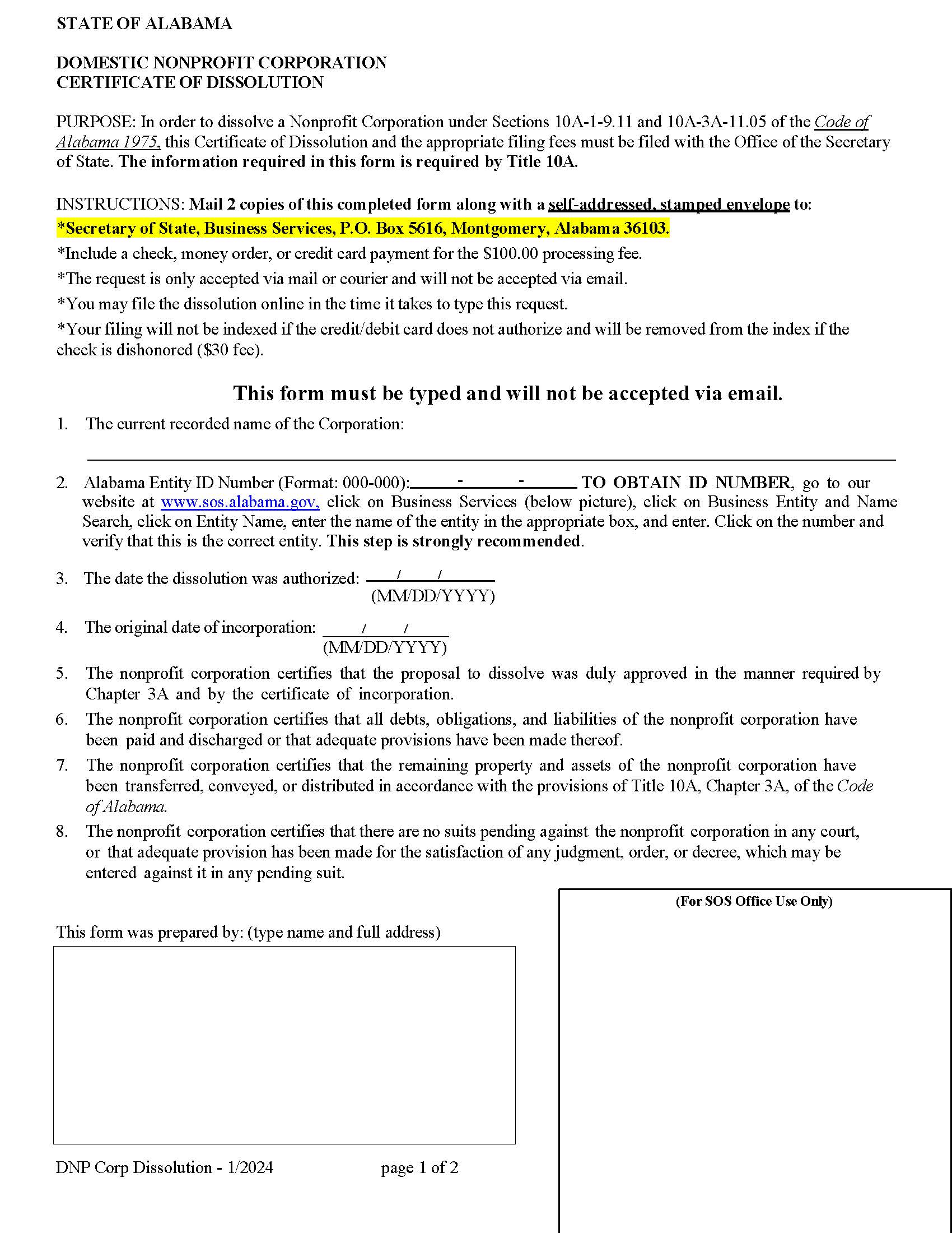
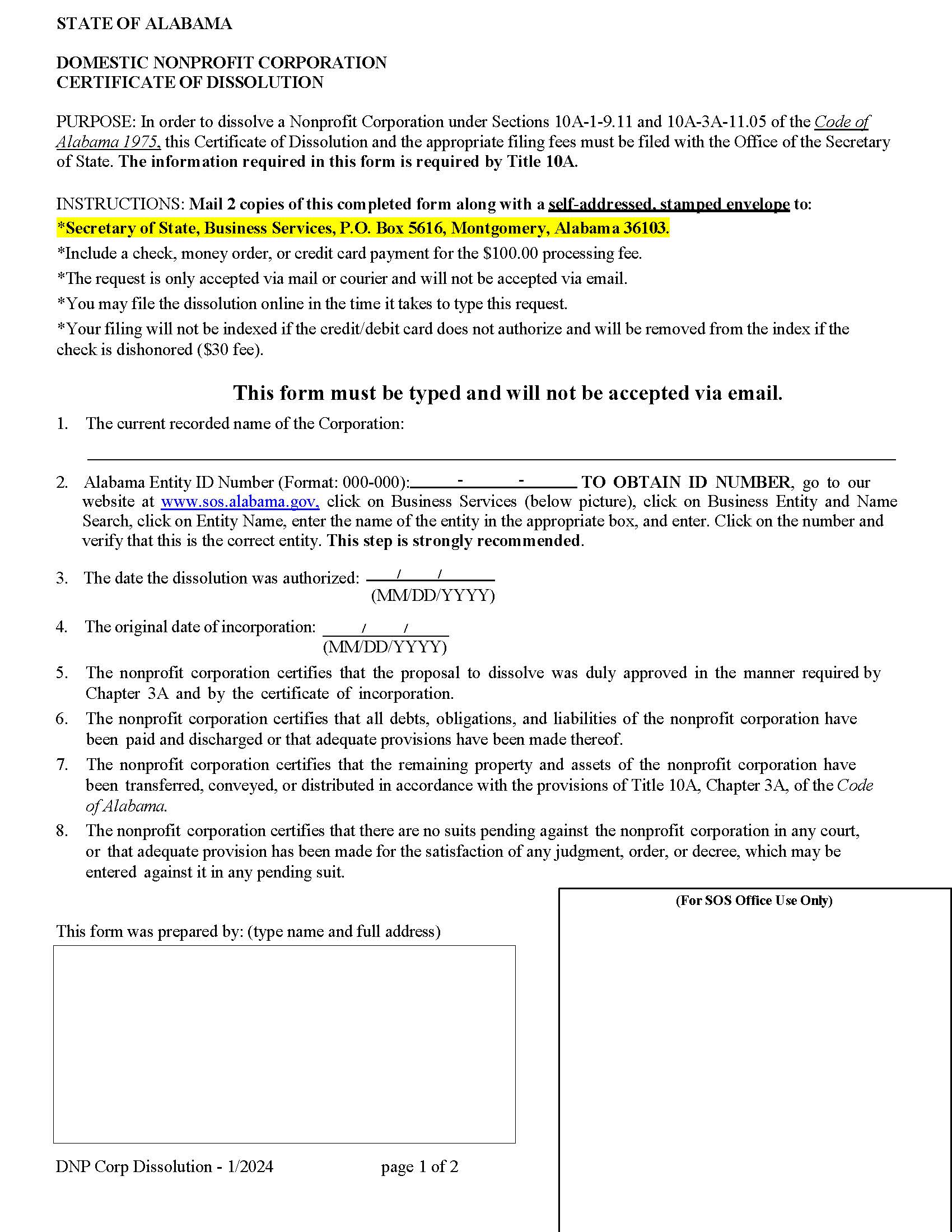
Domestic Nonprofit Corporation Certificate Of Dissolution
Start Your Free Trial $ 16.00What you get:
- Instant access to fillable Microsoft Word or PDF forms.
- Minimize the risk of using outdated forms and eliminate rejected fillings.
- Largest forms database in the USA with more than 80,000 federal, state and agency forms.
- Download, edit, auto-fill multiple forms at once in MS Word using our Forms Workflow Ribbon
- Trusted by 1,000s of Attorneys and Legal Professionals
Description
CERTIFICATE OF DISSOLUTION. In order to dissolve a Nonprofit Corporation under Sections 10A-1-9.11 and 10A-3A-11.05 of the Code of Alabama 1975, this Certificate of Dissolution and the appropriate filing fees must be filed with the Office of the Secretary of State. The information required in this form is required by Title 10A. www.FormsWorkflow.com
Related forms
Our Products





