Last updated: 3/28/2024
Own Recognizance And Bail Agreement {CR-40}
Start Your Free Trial $ 13.99What you get:
- Instant access to fillable Microsoft Word or PDF forms.
- Minimize the risk of using outdated forms and eliminate rejected fillings.
- Largest forms database in the USA with more than 80,000 federal, state and agency forms.
- Download, edit, auto-fill multiple forms at once in MS Word using our Forms Workflow Ribbon
- Trusted by 1,000s of Attorneys and Legal Professionals
Description
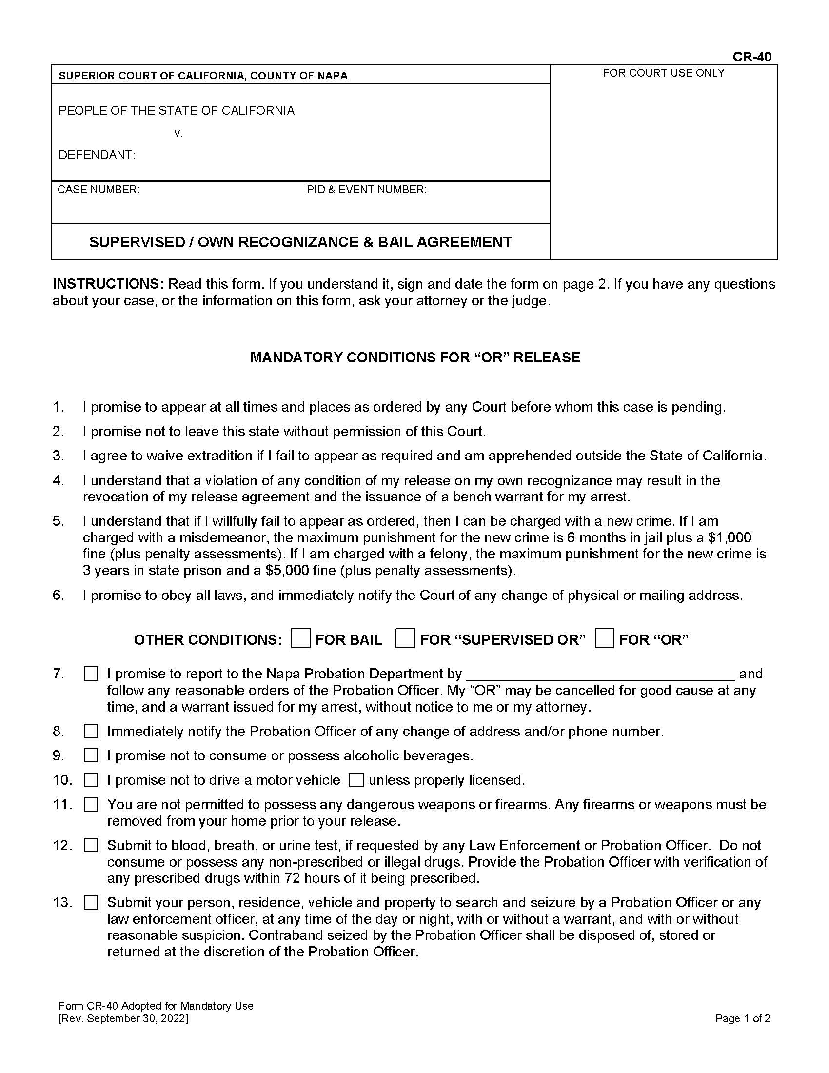
CR-40 - SUPERVISED / OWN RECOGNIZANCE & BAIL AGREEMENT. This form is used in the Superior Court of California, County of Napa. It is provided to defendants as part of their release conditions pending trial. The form outlines the mandatory conditions for release on one's own recognizance (OR) and includes instructions for defendants to read and sign if they understand the conditions. The form lists mandatory conditions such as appearing in court as ordered, not leaving the state without permission, obeying all laws, reporting to the probation department, notifying of any change of address or phone number, abstaining from alcohol and drugs, complying with testing requirements, submitting to searches, attending treatment and counseling as directed, among others. Defendants are required to acknowledge their understanding of the conditions and agree to accept them by signing and dating the form. Additionally, there is a section for interpreter certification if the defendant required translation services. www.FormsWorkflow.com
Related forms
-
Plea In Absentia
California/Local County/Napa/Criminal/ -
Petition For Dismissal-Transmittal And Agency Review
California/Local County/Napa/Criminal/ -
Attachment To Probation Order (Proposition 36)
California/Local County/Napa/Criminal/ -
Criminal Motion (Self-Represented Defendants Only)
California/Local County/Napa/Criminal/ -
Declaration And Order To Revoke Probation (Post Court Services)
California/Local County/Napa/Criminal/ -
Domestic Violence Plea Form With Waiver Of Rights (Misdemeanor) Attachment
California/Local County/Napa/Criminal/ -
DUI Court Waiver Of Personal Presence
California/Local County/Napa/Criminal/ -
Notice Of Failure To Remand And Order (Napa County Department Of Corrections)
California/Local County/Napa/Criminal/ -
Plea Form-Attachment One (Additional Charges)
California/Local County/Napa/Criminal/ -
Plea Form-Attachment Three (Suspended License Consequences)
California/Local County/Napa/Criminal/ -
Plea Form-Attachment Two (DUI And Wet Reckless Consequences)
California/Local County/Napa/Criminal/ -
Request For Military Diversion Advisal And Waiver Of Rights
California/Local County/Napa/Criminal/ -
Time Waiver
California/Local County/Napa/Criminal/ -
Plea Form With Explanations And Waiver Of Rights-Felony
California/Local County/Napa/Criminal/ -
Arraignment Form (Statement Of Rights)
California/Local County/Napa/Criminal/ -
Order For Diversion
California/Local County/Napa/Criminal/ -
Order For Diversion Evaluation
California/Local County/Napa/Criminal/ -
Order For Military Diversion
California/Local County/Napa/Criminal/ -
DUI Court Trial Waiver
California/Local County/Napa/Criminal/ -
Waiver Of Personal Presence
California/Local County/Napa/Criminal/ -
Misdemeanor Plea Form (Self-Represented Defendants Only)
California/Local County/Napa/Criminal/ -
Plea Form-Attachment Six (General Misdemeanor Deferred Entry Of Judgment Program)
California/Local County/Napa/Criminal/ -
Plea Form-Attachment Five (Deferred Entry Of Judgment Driving Program)
California/Local County/Napa/Criminal/ -
Pretrial Drug Diversion Program Agreement
California/Local County/Napa/Criminal/ -
Plea Form (Represented)
California/Local County/Napa/Criminal/ -
Advisement And Waiver Of Right To Counsel (Faretta Waiver)
California/Local County/Napa/Criminal/ -
Felony Probation Order
California/Local County/Napa/Criminal/ -
Misdemeanor Probation Order
California/Local County/Napa/Criminal/ -
Motion To Modify Ignition Interlock Device Order
California/Local County/Napa/Criminal/ -
Own Recognizance And Bail Agreement
California/Local County/Napa/Criminal/ -
Pre-Plea Mental Health Diversion Advisement (Penal Code 1001.36)
California/Local County/Napa/Criminal/ -
Deferred Entry Of Judgment Order (Driving Program)
California/2 Local County/Napa/Criminal/ -
Deferred Entry Of Judgment Order (General Misdemeanor)
California/Local County/Napa/Criminal/ -
Pre-Plea Diversion Advisement
California/2 Local County/Napa/Criminal/ -
Pretrial Drug Diversion Order (Penal Code 1000)
California/Local County/Napa/Criminal/ -
Pre-Plea Misdemeanor Diversion Order
California/2 Local County/Napa/Criminal/ -
Pre-Plea Mental Health Diversion Order (Penal Code 1001.36)
California/Local County/Napa/Criminal/ -
Plea Form-Attachment Seven (Sexually Violent Predator)
California/Local County/Napa/Criminal/
Form Preview
Contact Us
Success: Your message was sent.
Thank you!




