Last updated: 6/6/2024
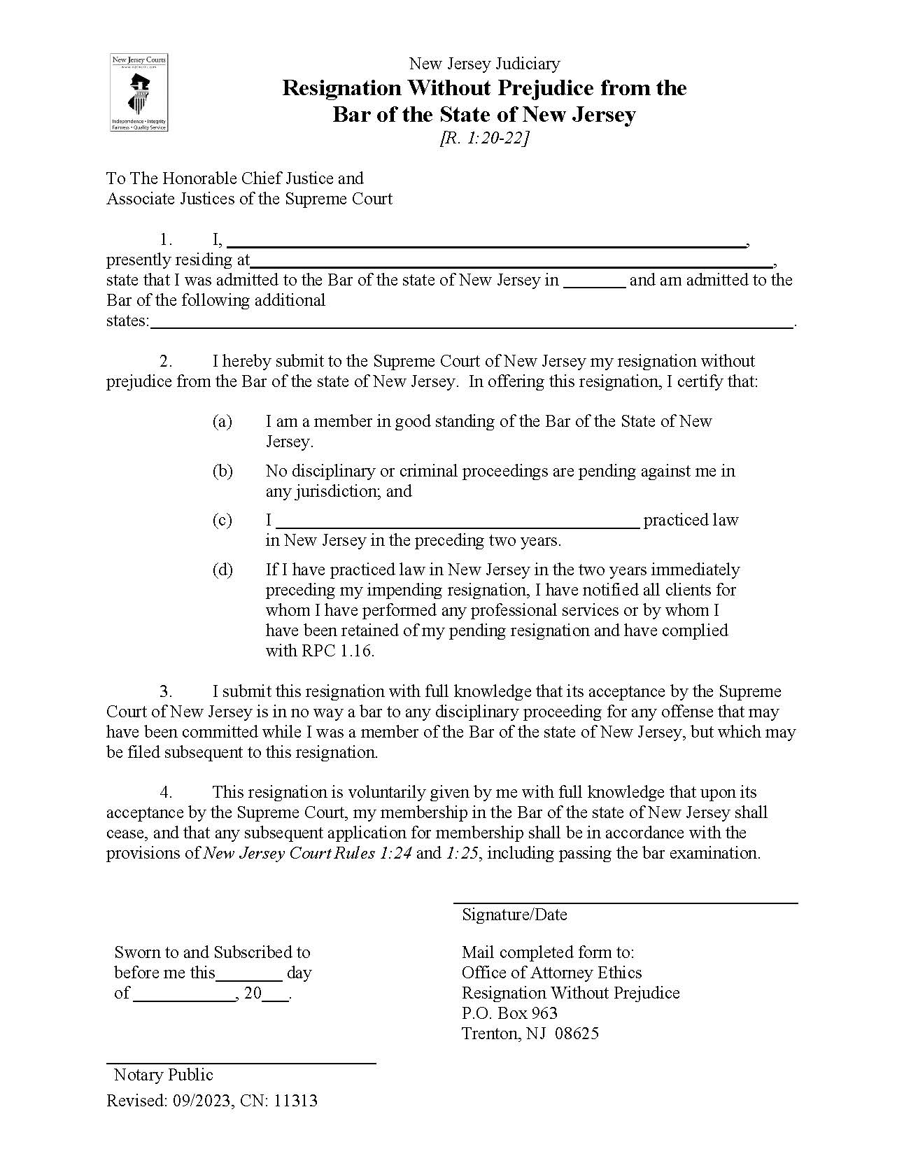
Resignation Without Prejudice From The Bar Of The State Of New Jersey {11313}
Start Your Free Trial $ 14.00What you get:
- Instant access to fillable Microsoft Word or PDF forms.
- Minimize the risk of using outdated forms and eliminate rejected fillings.
- Largest forms database in the USA with more than 80,000 federal, state and agency forms.
- Download, edit, auto-fill multiple forms at once in MS Word using our Forms Workflow Ribbon
- Trusted by 1,000s of Attorneys and Legal Professionals
Description
RESIGNATION WITHOUT PREJUDICE FROM THE BAR OF THE STATE OF NEW JERSEY. This form is used by attorneys to formally resign from the New Jersey Bar while ensuring certain conditions are met. The attorney must affirm that they are in good standing, have no pending disciplinary or criminal proceedings, and have notified all clients if they practiced law in New Jersey in the past two years. This resignation does not protect the attorney from potential disciplinary actions for past offenses, and re-admittance would require following the standard procedures, including passing the bar exam again. www.FormsWorkflow.com





