Last updated: 5/21/2024
Inventory Schedule {700-00030}
Start Your Free Trial $ 13.99What you get:
- Instant access to fillable Microsoft Word or PDF forms.
- Minimize the risk of using outdated forms and eliminate rejected fillings.
- Largest forms database in the USA with more than 80,000 federal, state and agency forms.
- Download, edit, auto-fill multiple forms at once in MS Word using our Forms Workflow Ribbon
- Trusted by 1,000s of Attorneys and Legal Professionals
Description
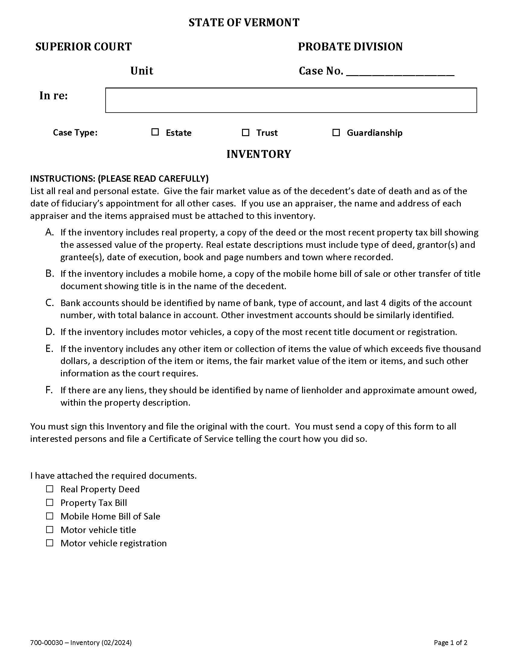
700-00030 - INVENTORY. List all real and personal estate. Give the fair market value as of the decedent’s date of death and as of the date of fiduciary’s appointment for all other cases. If you use an appraiser, the name and address of each appraiser and the items appraised must be attached to this inventory. A. If the inventory includes real property, a copy of the deed or the most recent property tax bill showing the assessed value of the property. Real estate descriptions must include type of deed, grantor(s) and grantee(s), date of execution, book and page numbers and town where recorded. B. If the inventory includes a mobile home, a copy of the mobile home bill of sale or other transfer of title document showing title is in the name of the decedent. C. Bank accounts should be identified by name of bank, type of account, and last 4 digits of the account number, with total balance in account. Other investment accounts should be similarly identified. D. If the inventory includes motor vehicles, a copy of the most recent title document or registration. E. If the inventory includes any other item or collection of items the value of which exceeds five thousand dollars, a description of the item or items, the fair market value of the item or items, and such other information as the court requires. F. If there are any liens, they should be identified by name of lienholder and approximate amount owed, within the property description. You must sign this Inventory and file the original with the court. You must send a copy of this form to all interested persons and file a Certificate of Service telling the court how you did so. www.FormsWorkflow.com
Related forms
-
Consent Of Agency In Non Stepparent Adoption
Vermont/Statewide/Probate Court/ -
Consent Of Guardian Or Agency In Stepparent Adoption
Vermont/Statewide/Probate Court/ -
Consent Of Minor
Vermont/Statewide/Probate Court/ -
Consent Of Stepparents Spouse (To Adoption)
Vermont/Statewide/Probate Court/ -
List Of Persons Interested In Trust Estate
Vermont/Statewide/Probate Court/ -
Motion For Appointment Of Guardian Ad Litem
Vermont/Statewide/Probate Court/ -
Statement Of Payments To Agency Of Attorney In Connection With Adoption
Vermont/Statewide/Probate Court/ -
Stipulation Or Motion For Continuance
Vermont/Statewide/Probate Court/ -
Waiver
Vermont/Statewide/Probate Court/ -
Executors Refusal Of Appointment
Vermont/Statewide/Probate Court/ -
Consent
Vermont/Statewide/Probate Court/ -
Guardians Report On License
Vermont/Statewide/Probate Court/ -
Notice To Creditors
Vermont/Statewide/Probate Court/ -
Notice Of Elections And Rights In An Intestate Estate
Vermont/Statewide/Probate Court/ -
Relinquishment Of Minor To Agency For Adoption
Vermont/Statewide/Probate Court/ -
Statement Of Putative Father And Waiver Of Counsel
Vermont/Statewide/Probate Court/ -
Certificate Of Marriage (Declaration Of Intention And Marriage Certificate)
Vermont/Statewide/Probate Court/ -
Minors Permit For Marriage Certificate
Vermont/Statewide/Probate Court/ -
Motion For Emergency Temporary Guardian
Vermont/Statewide/Probate Court/ -
Motion To Terminate Or Modify Adult Guardianship
Vermont/Statewide/Probate Court/ -
Addendum To Motion For License To Sell Or Convey Personal Property
Vermont/Statewide/Probate Court/ -
Authentication And Exemplification
Vermont/Statewide/Probate Court/ -
Authentication Certificate
Vermont/Statewide/Probate Court/ -
Certification Of Record
Vermont/Statewide/Probate Court/ -
Consent Of Spouse Or Partner
Vermont/Statewide/Probate Court/ -
Information About Birth Family
Vermont/Statewide/Probate Court/ -
Instructions To Fiduciary For Completing The Fiduciarys Bond
Vermont/Statewide/Probate Court/ -
Notice of Apperance
Vermont/Statewide/Probate Court/ -
Notice To Interested Persons Of Commencement Of Adoption Proceeding
Vermont/Statewide/Probate Court/ -
Statement Of Adoptive Parent Expenses
Vermont/Statewide/Probate Court/ -
Statement Of Disclosure Of Identifying Information
Vermont/Statewide/Probate Court/ -
Summary Of Account Of Trustee Alternate Form
Vermont/Statewide/Probate Court/ -
Transcript Order
Vermont/Statewide/Probate Court/ -
Trustees Bond
Vermont/Statewide/Probate Court/ -
Notice Of Rights
Vermont/Statewide/Probate Court/ -
Final Decree Of Distribution
Vermont/Statewide/Probate Court/ -
Request For Findings Regarding Vehicle Title
Vermont/Statewide/Probate Court/ -
License To Mortgage Or Lease
Vermont/Statewide/Probate Court/ -
Consent To Adoption
Vermont/Statewide/Probate Court/ -
Petition To Adopt Minor By Stepparent
Vermont/Statewide/Probate Court/ -
Petition To Adopt Minor Child
Vermont/Statewide/Probate Court/ -
License To Sell Or Convey
Vermont/Statewide/Probate Court/ -
Trustees Bond Instructions
Vermont/1 Statewide/Probate Court/ -
Notice Of Elections And Or Waivers By Spouse
Vermont/Statewide/Probate Court/ -
Notice To Family Division Of Adoption
Vermont/1 Statewide/Probate Court/ -
Decree Of Partial Distribution
Vermont/1 Statewide/Probate Court/ -
Receipt
Vermont/1 Statewide/Probate Court/ -
Waiver Of Final Accounting And Consent
Vermont/1 Statewide/Probate Court/ -
License To Mortgage Or Lease RE Or Personal Property
Vermont/1 Statewide/Probate Court/ -
License To Sell Or Convey RE Or Personal Property
Vermont/1 Statewide/Probate Court/ -
Consent Of Non-Custodial Parent
Vermont/Statewide/Probate Court/ -
Motion For Extension Of Time
Vermont/Statewide/Probate Court/ -
Notice Of Appearance
Vermont/Statewide/Probate Court/ -
Small Estate Administrative Bond
Vermont/Statewide/Probate Court/ -
Receipt For Delivery And Removal Of Wills From Safekeeping
Vermont/Statewide/Probate Court/ -
Notice Of Appearance Acknowledgement Of Paternity And Claim Of Custodial Rights
Vermont/Statewide/Probate Court/ -
Petition For Special Findings Of A Vulnerable Noncitizen Child (Probate)
Vermont/Statewide/Probate Court/ -
Summary Of Account For Adult Guardianship And Motion To Allow Account
Vermont/Statewide/Probate Court/ -
Motion To Change Residential Placement
Vermont/Statewide/Probate Court/ -
Report On License To Sell Convey Mortgage Or Lease Real Estate
Vermont/Statewide/Probate Court/ -
Parents Consent To Minor Guardianship (Financial)
Vermont/Statewide/Probate Court/ -
Closing Report And Motion For Discharge Of Guardian For Minor Child
Vermont/Statewide/Probate Court/ -
Motion For Appointment Of Guardian AD Litem
Vermont/Statewide/Probate Court/ -
Motion For Decree Of Partial Distribution
Vermont/Statewide/Probate Court/ -
Notice Of Appeal To Probate Division
Vermont/1 Statewide/Probate Court/ -
Petition For Delayed Amended Corrected Certificate Of Marriage
Vermont/Statewide/Probate Court/ -
Emancipation Petition
Vermont/Statewide/Probate Court/ -
Affidavit In Support Of Motion For Emergency Temporary Guardian
Vermont/Statewide/Probate Court/ -
Affidavit Of Administration
Vermont/1 Statewide/Probate Court/ -
Affidavit Of Funeral Expenses And Debts For Small Estate
Vermont/1 Statewide/Probate Court/ -
Affidavit Of No Assets
Vermont/Statewide/Probate Court/ -
Guardians Annual Personal Status Report For Minor
Vermont/Statewide/Probate Court/ -
List Of Interested Persons For Minor Guardianship
Vermont/Statewide/Probate Court/ -
Motion For License To Mortgage Or Lease Real Estate
Vermont/Statewide/Probate Court/ -
Motion For License To Mortgage Or Lease Real Estate Or Personal Property
Vermont/Statewide/Probate Court/ -
Motion For License To Sell Or Convey Personal Property
Vermont/Statewide/Probate Court/ -
Motion For License To Sell Or Convey Real Estate
Vermont/Statewide/Probate Court/ -
Motion For License To Sell Or Convey Real Estate Or Personal Property
Vermont/Statewide/Probate Court/ -
Motion To Modify Continue Or Terminate Guardianship Order
Vermont/Statewide/Probate Court/ -
Motion To Transfer Guardianship Proceeding To The Family Division
Vermont/Statewide/Probate Court/ -
Motion To Waive Notice To Creditors
Vermont/Statewide/Probate Court/ -
Non-Resident Minister To Perform Marriage Ceremony Petition
Vermont/Statewide/Probate Court/ -
Petiton To Remove And Replace Trustee
Vermont/Statewide/Probate Court/ -
Report Of Fiduciary For Small Estate
Vermont/Statewide/Probate Court/ -
Waiver Of Counsel
Vermont/Statewide/Probate Court/ -
Verified Petition For Enforcement Or Modification Of Post-Adoption Contact
Vermont/Statewide/Probate Court/ -
Verified Petition For Birth Order
Vermont/Statewide/Probate Court/ -
Petition To Open Small Estate
Vermont/Statewide/Probate Court/ -
Petition To Open Decedents Estate
Vermont/Statewide/Probate Court/ -
Petition To Appoint Financial Guardian For A Minor
Vermont/1 Statewide/Probate Court/ -
Motion For License To Mortgage Or Lease Personal Property
Vermont/Statewide/Probate Court/ -
List Of Interested Persons - Estate
Vermont/1 Statewide/Probate Court/ -
Summary Of Account Of Trustee (Without Schedule)
Vermont/Statewide/Probate Court/ -
Summary Of Account Of Trustee (With Schedule)
Vermont/Statewide/Probate Court/ -
Inventory Schedule
Vermont/Statewide/Probate Court/ -
Guardians Annual Report For Adult Guardianship
Vermont/Statewide/Probate Court/ -
Notice Of Rights Of Surviving Spouse
Vermont/1 Statewide/Probate Court/ -
List Of Interested Persons-Adult Guardianship
Vermont/Statewide/Probate Court/ -
Petition To Appoint Guardian For An Adult Voluntary
Vermont/Statewide/Probate Court/ -
Statement Of Respondents Assets And Income
Vermont/Statewide/Probate Court/ -
Waiver Of Surety
Vermont/Statewide/Probate Court/ -
Guardians Bond
Vermont/Statewide/Probate Court/ -
Motion For License To Sell
Vermont/Statewide/Probate Court/ -
Consent Of Interested Persons
Vermont/Statewide/Probate Court/ -
Acceptance Of Appointment As Trustee
Vermont/Statewide/Probate Court/ -
Petition To Adopt An Adult
Vermont/Statewide/Probate Court/ -
Petition Of Adult To Change Name
Vermont/Statewide/Probate Court/ -
Written Statement Of Claim
Vermont/Statewide/Probate Court/ -
Consent For Release Of Information For Guardianship Proceedings
Vermont/Statewide/Probate Court/ -
Custodial Guardianship Agreement And Family
Vermont/Statewide/Probate Court/ -
Minors Choice Of Guardian
Vermont/Statewide/Probate Court/ -
Parents Consent To The Establishment Of A Custodial Minor Guardianship
Vermont/Statewide/Probate Court/ -
Petition To Appoint Guardian For An Adult (Involuntary)
Vermont/Statewide/Probate Court/ -
Notice To Interested Persons Of Commencement Of Trust Proceeding
Vermont/Statewide/Probate Court/ -
Guardians Consent To The Establishment Of A Minor Guardianship
Vermont/Statewide/Probate Court/ -
Trustees License To Sell
Vermont/Statewide/Probate Court/ -
Trustees License To Mortgage Or Lease
Vermont/Statewide/Probate Court/ -
Adult Guardian Closing Report And Discharge Order
Vermont/Statewide/Probate Court/ -
List Of Persons Interested In Trust
Vermont/Statewide/Probate Court/ -
Summary Of Account With Schedules And Motion To Allow Account
Vermont/Statewide/Probate Court/ -
Petition To Commence A Trust Proceeding
Vermont/Statewide/Probate Court/ -
Summary Of Account For Minor Financial Guardianship
Vermont/Statewide/Probate Court/ -
Petition To Change Name Of Minor
Vermont/1 Statewide/Probate Court/ -
Estate Administration Bond
Vermont/Statewide/Probate Court/ -
Petition To Appoint A Custodial Guardian For A Minor
Vermont/Statewide/Probate Court/ -
Motion To Waive Accounting
Vermont/Statewide/Probate Court/
Form Preview
Contact Us
Success: Your message was sent.
Thank you!




