Last updated: 2/13/2024
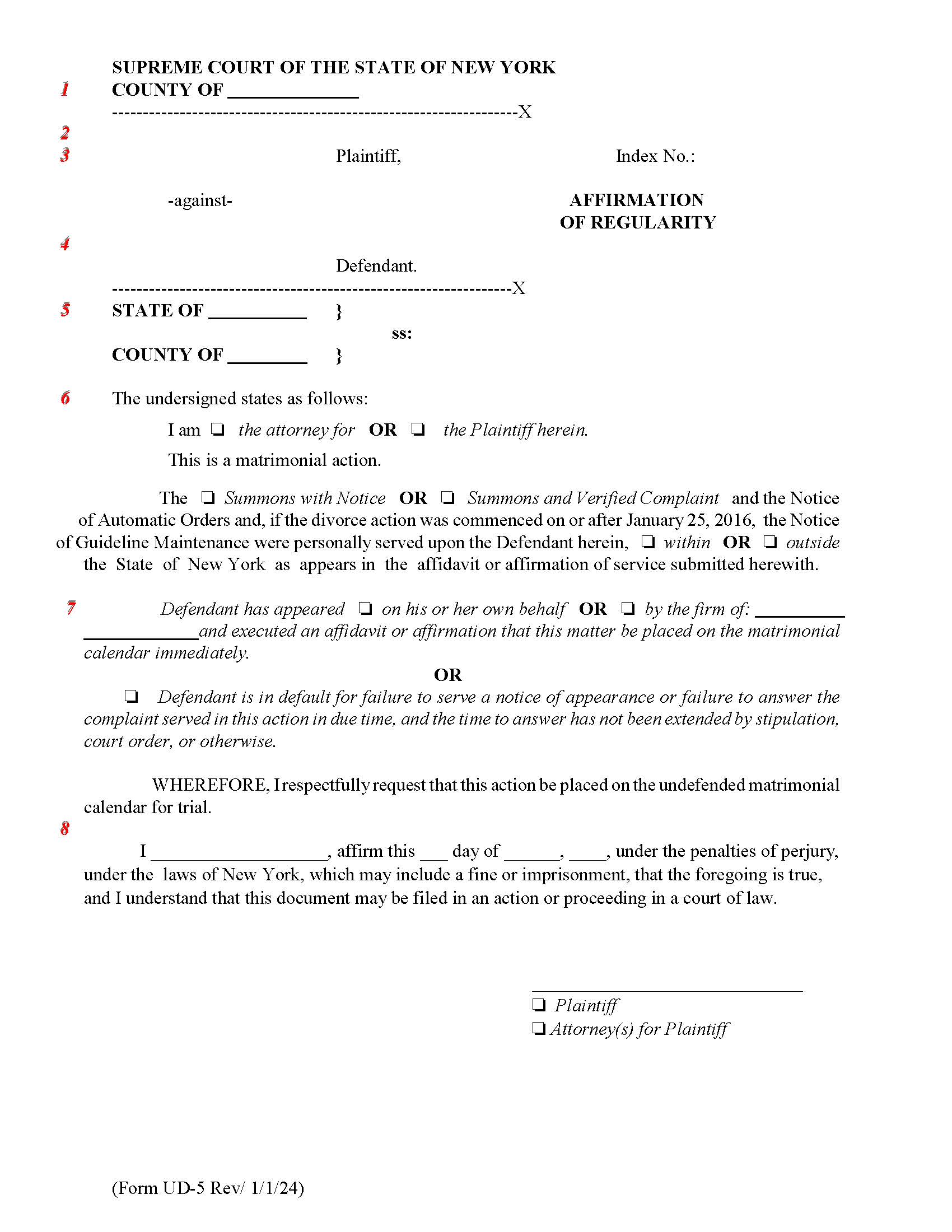
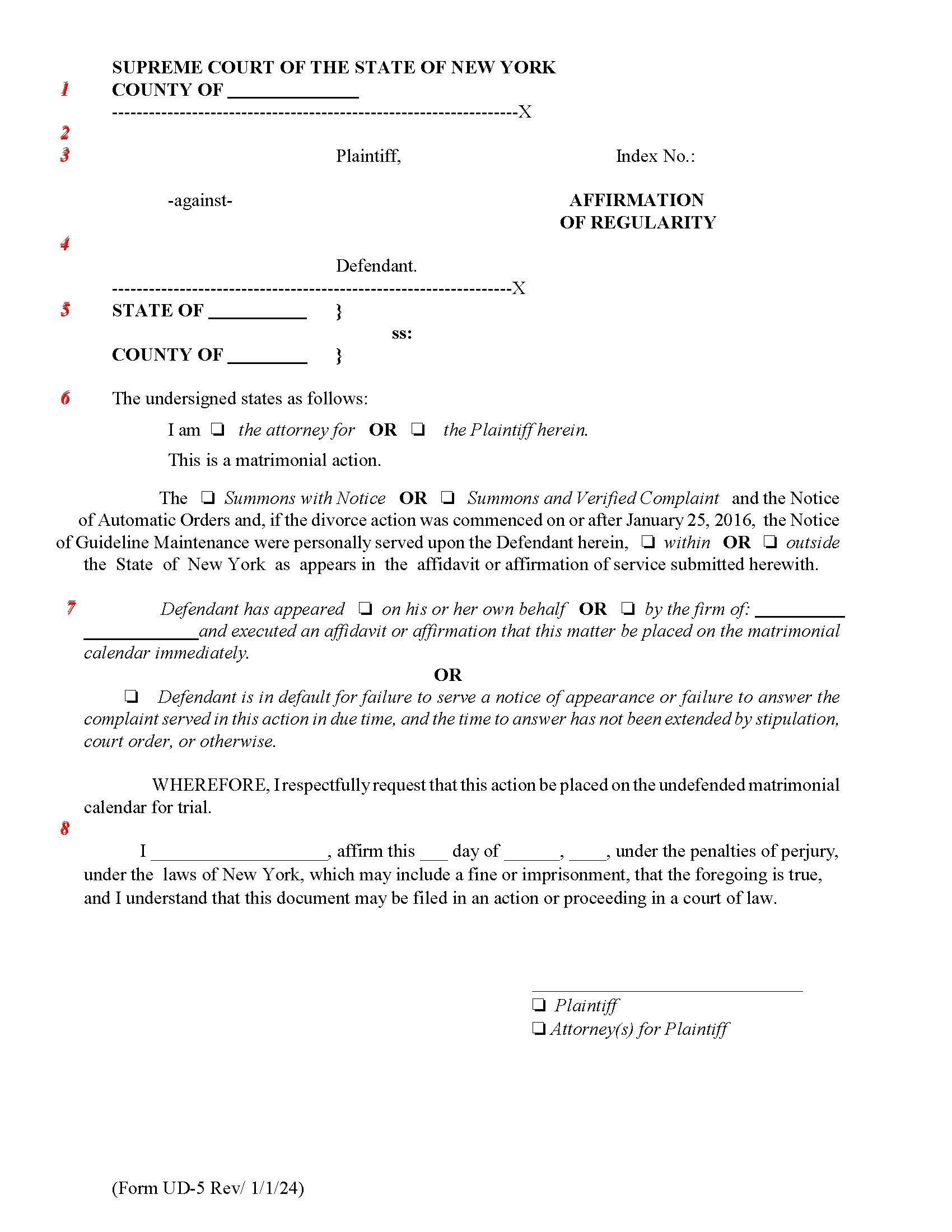
Affirmation Of Regularity {UD-5}
Start Your Free Trial $ 14.00What you get:
- Instant access to fillable Microsoft Word or PDF forms.
- Minimize the risk of using outdated forms and eliminate rejected fillings.
- Largest forms database in the USA with more than 80,000 federal, state and agency forms.
- Download, edit, auto-fill multiple forms at once in MS Word using our Forms Workflow Ribbon
- Trusted by 1,000s of Attorneys and Legal Professionals
Description
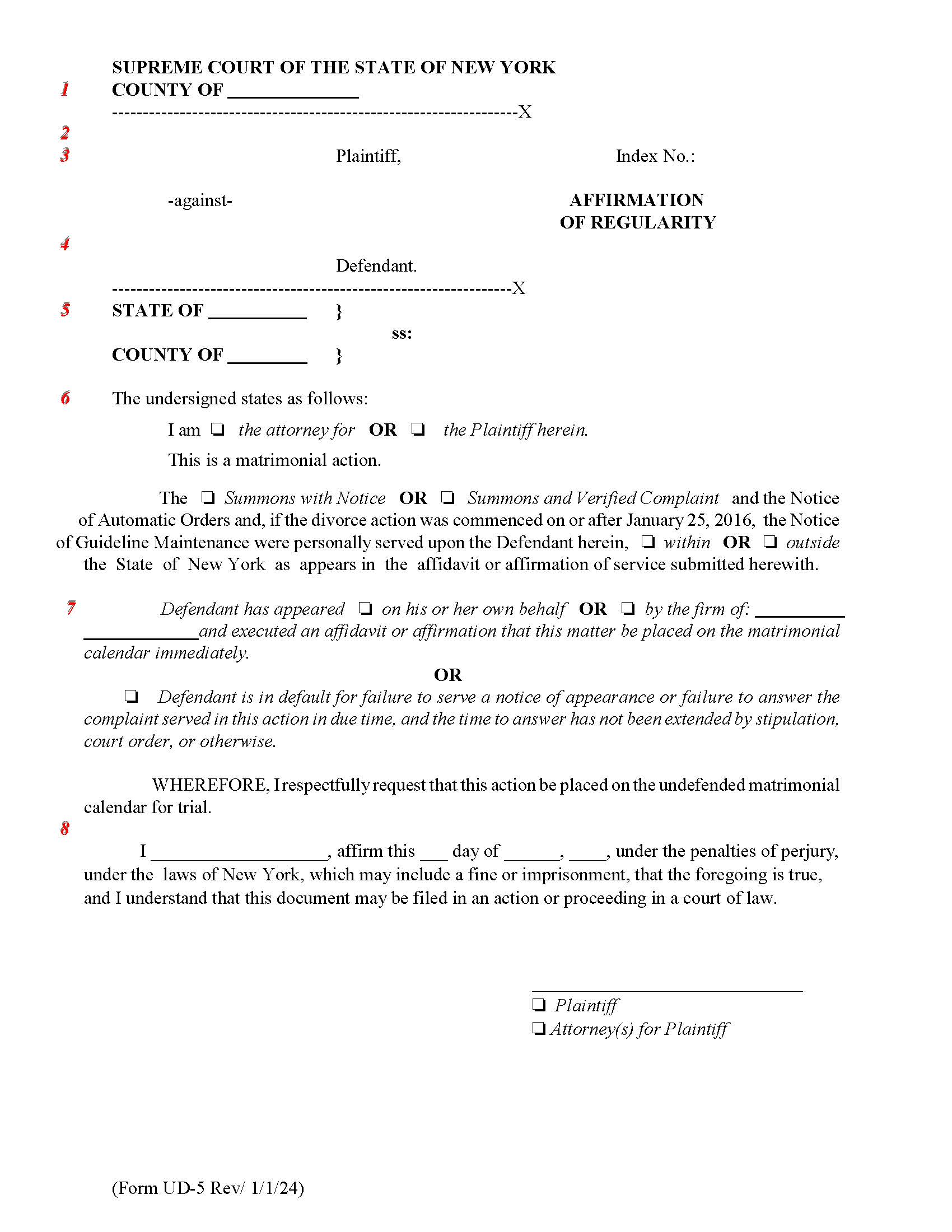
UD-5 - AFFIRMATION OF REGULARITY. This form is used in matrimonial actions in the Supreme Court of the State of New York. The affirmation attests to the regularity of service of the Summons with Notice or Summons and Verified Complaint upon the defendant, either within or outside the state of New York, as indicated by the affidavit or affirmation of service. It also confirms whether the defendant has appeared on their own behalf or through legal representation and requests that the action be placed on the undefended matrimonial calendar for trial if the defendant is in default. The affirmation is signed by the attorney or the plaintiff and is made under penalty of perjury. www.FormsWorkflow.com





