Last updated: 1/29/2024
Caretakers Apartment Restrictive Declaration
Start Your Free Trial $ 13.99What you get:
- Instant access to fillable Microsoft Word or PDF forms.
- Minimize the risk of using outdated forms and eliminate rejected fillings.
- Largest forms database in the USA with more than 80,000 federal, state and agency forms.
- Download, edit, auto-fill multiple forms at once in MS Word using our Forms Workflow Ribbon
- Trusted by 1,000s of Attorneys and Legal Professionals
Description
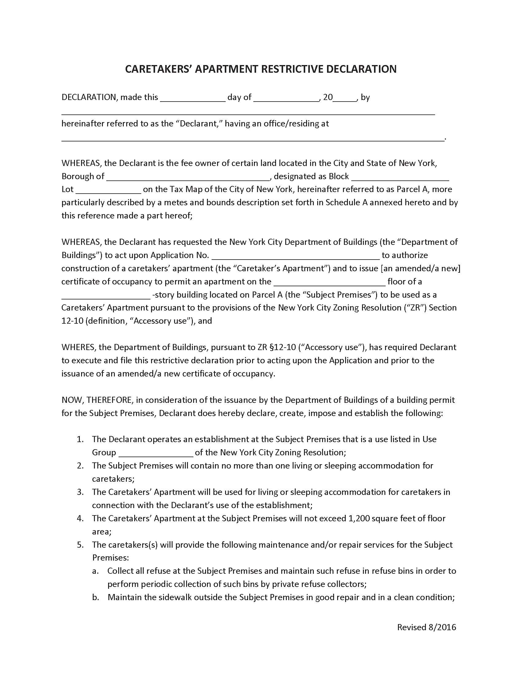
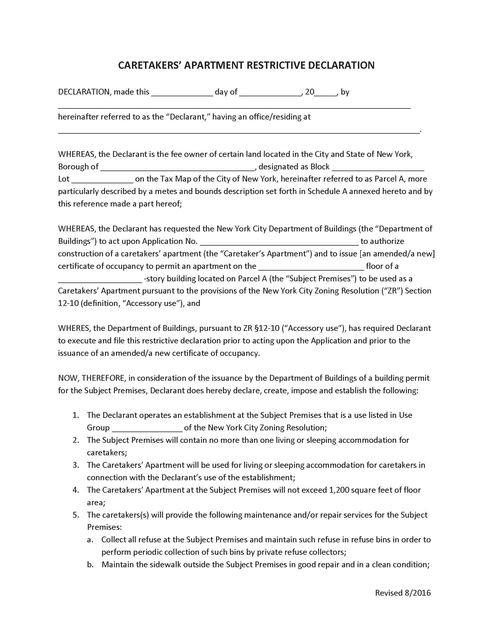
CARETAKERS’ APARTMENT RESTRICTIVE DECLARATION. This form pertains to a specific property (Parcel A) in the City and State of New York. The declarant, who owns the property, imposes certain restrictions and conditions in compliance with the New York City Zoning Resolution for the construction and use of a caretaker's apartment. The declaration outlines details such as the number of accommodations, size restrictions, specific maintenance responsibilities of the caretakers, and the requirement for prior consent from the Department of Buildings for any modifications. The document emphasizes that non-compliance may lead to the revocation of permits or certificates and indicates that the declaration will be recorded against the affected parcels of land. www.FormsWorkflow.com





