Last updated: 9/20/2024
Stipulation (Defendants)
Start Your Free Trial $ 14.00What you get:
- Instant access to fillable Microsoft Word or PDF forms.
- Minimize the risk of using outdated forms and eliminate rejected fillings.
- Largest forms database in the USA with more than 80,000 federal, state and agency forms.
- Download, edit, auto-fill multiple forms at once in MS Word using our Forms Workflow Ribbon
- Trusted by 1,000s of Attorneys and Legal Professionals
Description
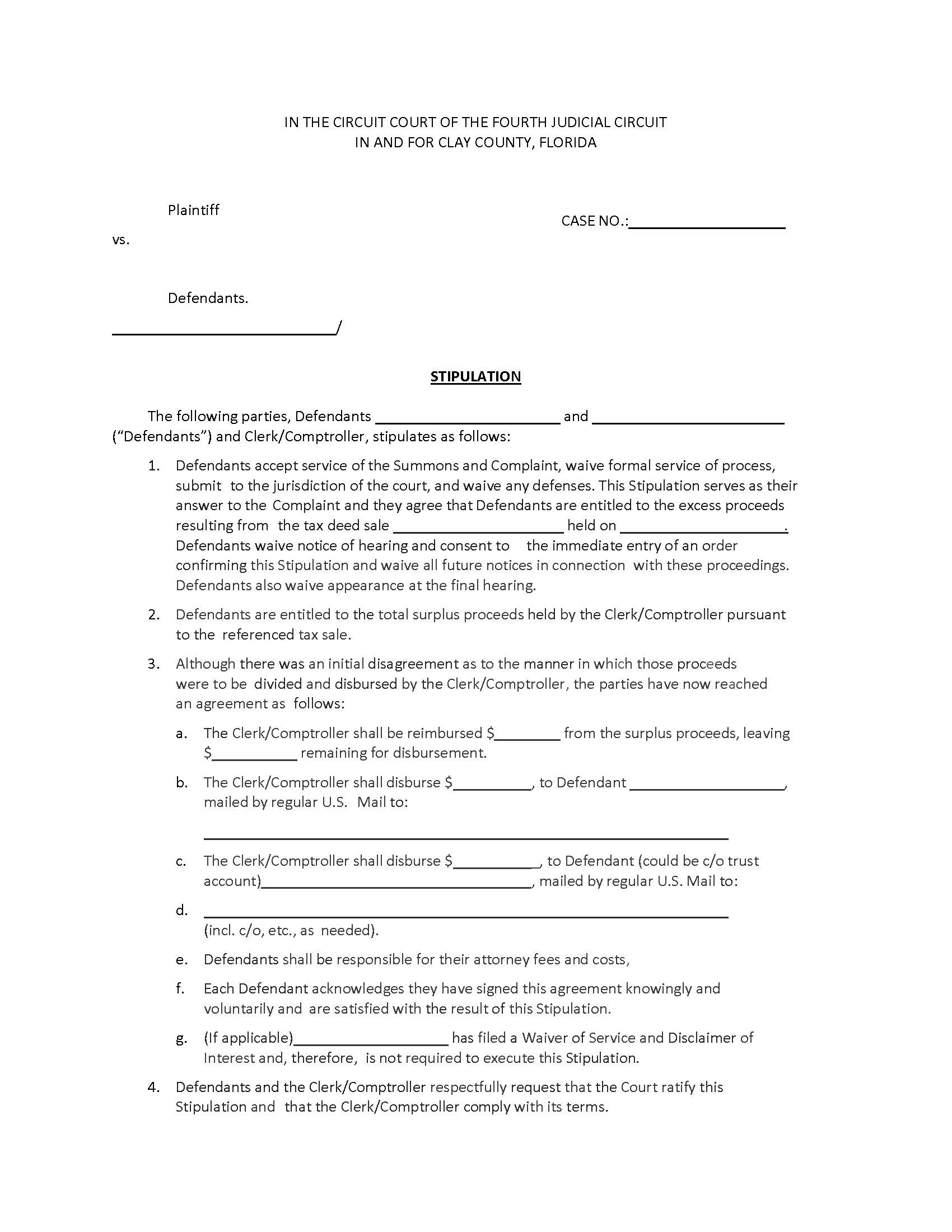
STIPULATION. This form is used in the Circuit Court of the Fourth Judicial Circuit in Clay County, Florida, to document an agreement (stipulation) between defendants and the Clerk/Comptroller regarding the distribution of surplus proceeds from a tax deed sale. The defendants accept service of the summons and complaint, waive formal service of process, and agree to the jurisdiction of the court. They also waive any defenses, notice of hearing, and appearance at the final hearing. The form outlines how the surplus proceeds will be divided and disbursed, and it requires the signatures of the parties involved. The Clerk of Court is indemnified and held harmless in complying with the terms of the stipulation. www.FormsWorkflow.com
Related forms
-
Motion To
Florida/Local County/Clay/General/ -
Statement Of Claim
Florida/Local County/Clay/General/ -
Declaration Of Domicile
Florida/Local County/Clay/General/ -
Request Form For Commercial Entities
Florida/Local County/Clay/General/ -
Request Form For Social Security Number Removal
Florida/Local County/Clay/General/ -
Request To Suspend Drivers License And Motor Vehicle Registration
Florida/Local County/Clay/General/ -
Pretrial Statement (Divorce)
Florida/Local County/Clay/General/ -
Motion For Default (Civil Court Or County Court)
Florida/Local County/Clay/General/ -
Order On Motion To Determine Trial Court Records Confidential
Florida/2 Local County/Clay/General/ -
Motion To Determine The Confidentiality Of Trial Court Records
Florida/2 Local County/Clay/General/ -
Affidavit Of Non-Military Service
Florida/Local County/Clay/General/ -
Notice Of Termination Of Tenancy At Will
Florida/2 Local County/Clay/General/ -
Three Day Notice Demand For Payment Of Rent Or Possession
Florida/Local County/Clay/General/ -
Claim To Surplus Proceeds Of A Tax Deed Sale
Florida/2 Local County/Clay/General/ -
Eviction Complaint
Florida/Local County/Clay/General/ -
Civil Cover Sheet
Florida/Local County/Clay/General/ -
Notice To Quit Termination Of Tenancy (7 Day or 15 Day
Florida/Local County/Clay/General/ -
Notice To Quit - Termination Of Tenancy (Minimum 7 Day Notice)
Florida/Local County/Clay/General/ -
Statement Of Claim For Replevin
Florida/Local County/Clay/General/ -
Statement Of Claim (For Work Done And Materials Furnished)
Florida/Local County/Clay/General/ -
Proof Of Indebtedness
Florida/Local County/Clay/General/ -
Default (County - Entry By Clerk)
Florida/Local County/Clay/General/ -
Motion For Default (County)
Florida/Local County/Clay/General/ -
Statement Of Claim (For Goods Sold)
Florida/Local County/Clay/General/ -
Statement Of Claim (Promissory Note)
Florida/Local County/Clay/General/ -
Statement Of Claim (For Return Of Stolen Property From Pawnbroker)
Florida/Local County/Clay/General/ -
Statement Of Claim (For Money Lent)
Florida/Local County/Clay/General/ -
Statement Of Claim (Auto Negligence)
Florida/Local County/Clay/General/ -
Civil Memorandum - Motion Hearings (Division A Judge Whittington)
Florida/Local County/Clay/General/ -
Joint Pretrial Stipulation (Division A Judge Whittington)
Florida/Local County/Clay/General/ -
Trial Set Memorandum (Division A Judge Whittington)
Florida/Local County/Clay/General/ -
Order Of Referral To General Magistrate (Family - Needs GMs)
Florida/Local County/Clay/General/ -
Order Of Referral To General Magistrate (Family - GMs)
Florida/Local County/Clay/General/ -
Notice Of Hearing Before General Magistrate (In Person)
Florida/Local County/Clay/General/ -
Notice Of Video Conferencing Hearing Using Zoom Before General Magistrate
Florida/Local County/Clay/General/ -
Order Of Referral To General Magistrate (Family - Misc GMs)
Florida/Local County/Clay/General/ -
Pretrial Stipulation - Paternity Actions (Judge Wilkinson)
Florida/Local County/Clay/General/ -
Pretrial Stipulation (Dissolution - Judge Wilkinson)
Florida/Local County/Clay/General/ -
Trial Set Memorandum For Magistrates
Florida/Local County/Clay/General/ -
Proposed Exhibit List (Judge Wilkinson)
Florida/Local County/Clay/General/ -
Motion Set Memorandum (Judge Wilkinson)
Florida/Local County/Clay/General/ -
Seven Day Notice For Non-Compliance (With Opportunity To Cure)
Florida/Local County/Clay/General/ -
Seven Day Notice For Non-Compliance (With No Opportunity To Cure)
Florida/Local County/Clay/General/ -
Trial Set Form For Division B - Civil
Florida/Local County/Clay/General/ -
Notice Of Dismissal
Florida/Local County/Clay/General/ -
Plaintiffs Statement
Florida/Local County/Clay/General/ -
Complaint For Unlawful Detainer
Florida/Local County/Clay/General/ -
General Release
Florida/2 Local County/Clay/General/ -
Enhanced Life Estate Deed (Lady Bird Deed)
Florida/Local County/Clay/General/ -
Quit Claim Deed
Florida/Local County/Clay/General/ -
Default
Florida/2 Local County/Clay/General/ -
Request To Release Redacted Information On Recorded Documents Protected Party
Florida/Local County/Clay/General/ -
Request To Release Redacted Information On Recorded Documents Title Search
Florida/Local County/Clay/General/ -
Satisfaction Of Claim Of Lien (Mechanics Lien)
Florida/Local County/Clay/General/ -
Satisfaction Of Mortgage
Florida/Local County/Clay/General/ -
Stipulation (Defendants)
Florida/Local County/Clay/General/ -
Stipulation (Claimants)
Florida/Local County/Clay/General/ -
Contractors Final Payment Affidavit
Florida/Local County/Clay/General/ -
Notice Of Contest Of-Lien (HOA Assessment)
Florida/Local County/Clay/General/ -
Notice Of Termination (Of Notice Of Commencement)
Florida/Local County/Clay/General/ -
Claim Of Lien
Florida/Local County/Clay/General/ -
Notice Of Contest Of Lien (Construction)
Florida/Local County/Clay/General/ -
Notice Of Commencement
Florida/Local County/Clay/General/ -
Complaint To Quiet Title (Forged Deed)
Florida/Local County/Clay/General/ -
Complaint To Quiet Title (Wild Deed)
Florida/Local County/Clay/General/ -
Exhibit List (Division A Judge Whittington)
Florida/Local County/Clay/General/ -
Fact Information Sheet - Individual
Florida/Local County/Clay/General/ -
Small Claims Complaint
Florida/Local County/Clay/General/ -
Notice Of Confidential Information Within Court Filing
Florida/Local County/Clay/General/ -
Trial Set Memorandum (Division F Judge Wilkinson)
Florida/Local County/Clay/General/ -
Warranty Deed
Florida/Local County/Clay/General/
Form Preview
Contact Us
Success: Your message was sent.
Thank you!




