Last updated: 8/31/2023
Affidavit Of Military Service {Law 456}
Start Your Free Trial $ 13.99What you get:
- Instant access to fillable Microsoft Word or PDF forms.
- Minimize the risk of using outdated forms and eliminate rejected fillings.
- Largest forms database in the USA with more than 80,000 federal, state and agency forms.
- Download, edit, auto-fill multiple forms at once in MS Word using our Forms Workflow Ribbon
- Trusted by 1,000s of Attorneys and Legal Professionals
Description
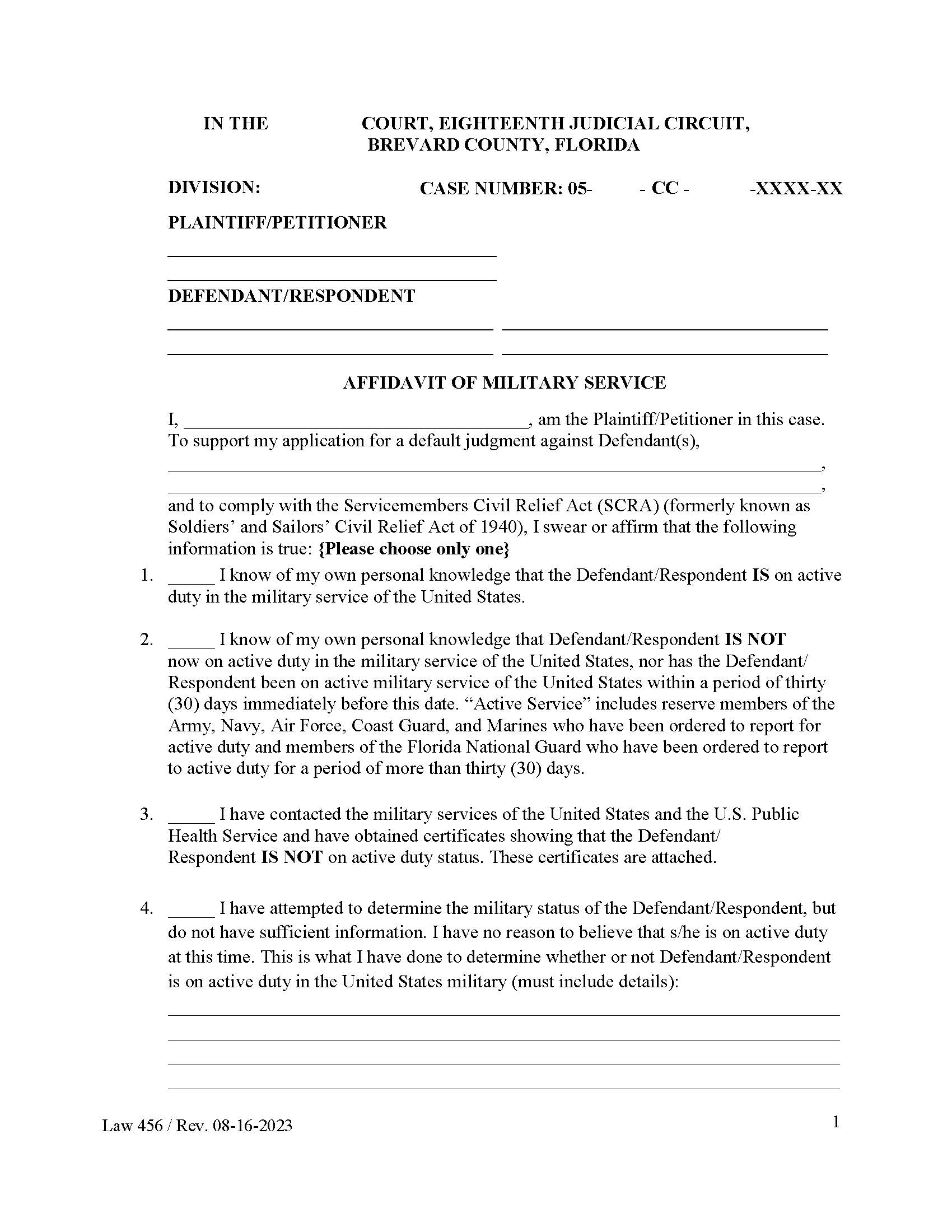
Law 456 - AFFIDAVIT OF MILITARY SERVICE. This form is used in the Eighteenth Judicial Circuit of Brevard County, Florida. It is filed by the Plaintiff/Petitioner in a legal case to provide information regarding the military service status of the Defendant/Respondent. The form is used to comply with the Servicemembers Civil Relief Act (SCRA), which aims to protect the legal rights of military personnel while they are on active duty. The form requires the Plaintiff/Petitioner's signature and relevant contact information. It also includes a notary section where the affidavit is signed and notarized to affirm its authenticity. The form is intended to ensure that the Defendant's rights are protected under the SCRA before any legal action is taken against them. www.FormsWorkflow.com
Related forms
-
Certificate Of Service On Defendant
Florida/Local County/Brevard/General/ -
Fact Information Sheet Small Claims Rules
Florida/Local County/Brevard/General/ -
Motion For Garnishment-Continuing Garnishment (After Judgment)
Florida/Local County/Brevard/General/ -
Motion To Seal Criminal History Record
Florida/Local County/Brevard/General/ -
Notice To Defendant Of Writ Of Garnishment
Florida/Local County/Brevard/General/ -
Order For Continuing Writ Of Garnishment After Judgment
Florida/Local County/Brevard/General/ -
Order To Complete Small Claims Rules
Florida/Local County/Brevard/General/ -
Order To Expunge
Florida/Local County/Brevard/General/ -
Satisfaction Of Mortgage
Florida/Local County/Brevard/General/ -
Statement Of Claim
Florida/Local County/Brevard/General/ -
Subpoena
Florida/Local County/Brevard/General/ -
Writ Of Garnishment
Florida/Local County/Brevard/General/ -
Answer And Waiver
Florida/Local County/Brevard/General/ -
Execution
Florida/Local County/Brevard/General/ -
Head Of Household Affidavit
Florida/Local County/Brevard/General/ -
Affidavit As To Defendants Default In Stipulation Of Payment
Florida/Local County/Brevard/General/ -
Declaration Of Domicile
Florida/Local County/Brevard/General/ -
Default Against Defendant As To Garnishment
Florida/Local County/Brevard/General/ -
Fact Information Sheet Business Entity
Florida/Local County/Brevard/General/ -
Continuing Writ Of Garnishment
Florida/Local County/Brevard/General/ -
Change Of Name And-Or Address
Florida/Local County/Brevard/General/ -
Notice Of Hearing (Sealing-Expungement)
Florida/Local County/Brevard/General/ -
Civil Cover Sheet
Florida/Local County/Brevard/General/ -
Notice Of Confidential Information Within Court Filing
Florida/Local County/Brevard/General/ -
Affidavit For Sealing-Expungement Of Criminal History Record
Florida/Local County/Brevard/General/ -
Motion To Expunge Criminal History Record
Florida/Local County/Brevard/General/ -
Satisfaction Of Judgment
Florida/Local County/Brevard/General/ -
Court Disposition Form
Florida/Local County/Brevard/General/ -
Summons
Florida/Local County/Brevard/General/ -
Motion (Blank)
Florida/Local County/Brevard/General/ -
Petition For Disposition Of Personal Property Without Admininistration (Packet)
Florida/Local County/Brevard/General/ -
Complaint For Unlawful Detainer
Florida/Local County/Brevard/General/ -
Final Judgment For Unlawful Detainer
Florida/Local County/Brevard/General/ -
Motion For Clerks Default (Unlawful Detainer)
Florida/Local County/Brevard/General/ -
Motion For Default Final Judgment (Unlawful Detainer)
Florida/Local County/Brevard/General/ -
Notice Of Voluntary Dismissal
Florida/Local County/Brevard/General/ -
Answer
Florida/Local County/Brevard/General/ -
Notice Of Hearing
Florida/Local County/Brevard/General/ -
Home Solicitation Permit Application
Florida/Local County/Brevard/General/ -
ACH-Debit Payment Request Form
Florida/2 Local County/Brevard/General/ -
Notice Of Contest Of Lien
Florida/Local County/Brevard/General/ -
Prepaid Escrow Account Agreement
Florida/2 Local County/Brevard/General/ -
Case Management Order (County Court Cases Filed 4-30-21 To 5-5-21)
Florida/2 Local County/Brevard/General/ -
Case Management Order (County Court)
Florida/2 Local County/Brevard/General/ -
Request To Approve Deferred Payment Non-Indigent Party Civil Family Probate
Florida/2 Local County/Brevard/General/ -
Motion For Entry Of Default By Clerk
Florida/Local County/Brevard/General/ -
Affidavit Of Military Service
Florida/Local County/Brevard/General/ -
Default Final Judgment Of Eviction
Florida/Local County/Brevard/General/ -
Writ Of Possession (Removal Of Tenant)
Florida/Local County/Brevard/General/ -
Summons For Unlawful Detainer (5 Day-Claim For Possession)
Florida/Local County/Brevard/General/ -
3 Day Notice To Tenant (Pursuant To Chapter 83.56(3) F.S.
Florida/Local County/Brevard/General/ -
Complaint For Removal Of Tenant Nonpayment Of Rent
Florida/Local County/Brevard/General/ -
Eviction Summons - Residential
Florida/Local County/Brevard/General/ -
Final Disposition Form
Florida/Local County/Brevard/General/ -
Final Judgment For Eviction
Florida/Local County/Brevard/General/ -
Garnishment Judgment-Default Garnishment Judgment-Continuing Garnishment Judgment
Florida/Local County/Brevard/General/ -
Claim Of Exemption And Request For Hearing
Florida/Local County/Brevard/General/ -
Statement Of Claim
Florida/Local County/Brevard/General/ -
Summons-Notice To Appear For A Pre-Trial Conference
Florida/Local County/Brevard/General/ -
Claim Of Lien
Florida/Local County/Brevard/General/ -
Notice Of Commencement
Florida/Local County/Brevard/General/ -
Quit Claim Deed
Florida/Local County/Brevard/General/ -
Formal Probate Administration Checklist
Florida/2 Local County/Brevard/General/ -
Summary Administration Checklist
Florida/2 Local County/Brevard/General/
Form Preview
Contact Us
Success: Your message was sent.
Thank you!




