Last updated: 7/3/2023
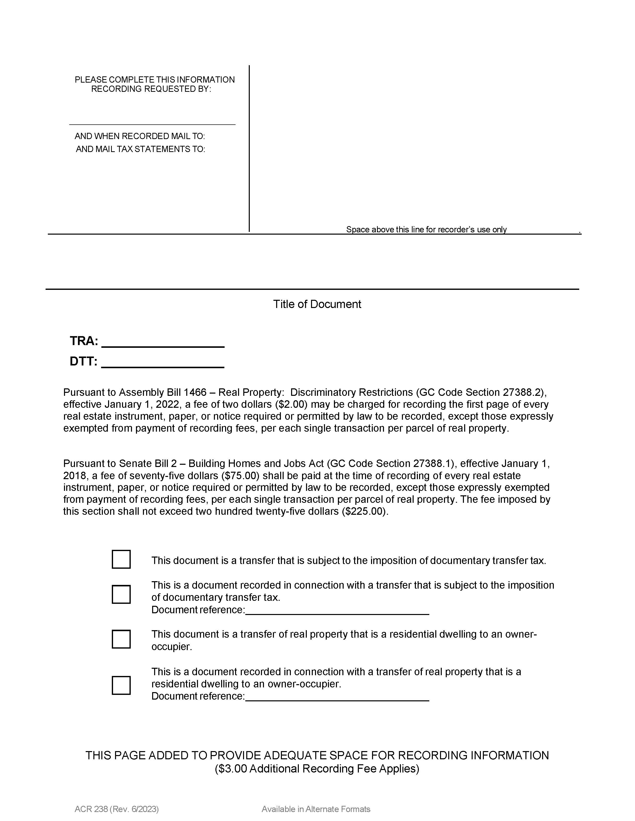
Recorder Coversheet {ACR 238}
Start Your Free Trial $ 13.99What you get:
- Instant access to fillable Microsoft Word or PDF forms.
- Minimize the risk of using outdated forms and eliminate rejected fillings.
- Largest forms database in the USA with more than 80,000 federal, state and agency forms.
- Download, edit, auto-fill multiple forms at once in MS Word using our Forms Workflow Ribbon
- Trusted by 1,000s of Attorneys and Legal Professionals
Description
ACR 238 - RECORDER COVERSHEET. This form is used for recording requests in relation to real estate documents. The form includes sections for the title of the document and references to certain legal provisions regarding recording fees and documentary transfer tax. The form highlights the fees that may be charged for recording real estate instruments, papers, or notices, as well as the exemption criteria for payment of recording fees. It also mentions the imposition of documentary transfer tax for certain types of transfers involving real property, particularly residential dwellings. The document references provide additional information about the nature of the transfer and its connection to residential dwellings or owner-occupiers. www.FormsWorkflow.com





