Last updated: 5/31/2023
Motion To (Extend Or Impose) The Automatic Stay {LF-8}
Start Your Free Trial $ 14.00What you get:
- Instant access to fillable Microsoft Word or PDF forms.
- Minimize the risk of using outdated forms and eliminate rejected fillings.
- Largest forms database in the USA with more than 80,000 federal, state and agency forms.
- Download, edit, auto-fill multiple forms at once in MS Word using our Forms Workflow Ribbon
- Trusted by 1,000s of Attorneys and Legal Professionals
Description
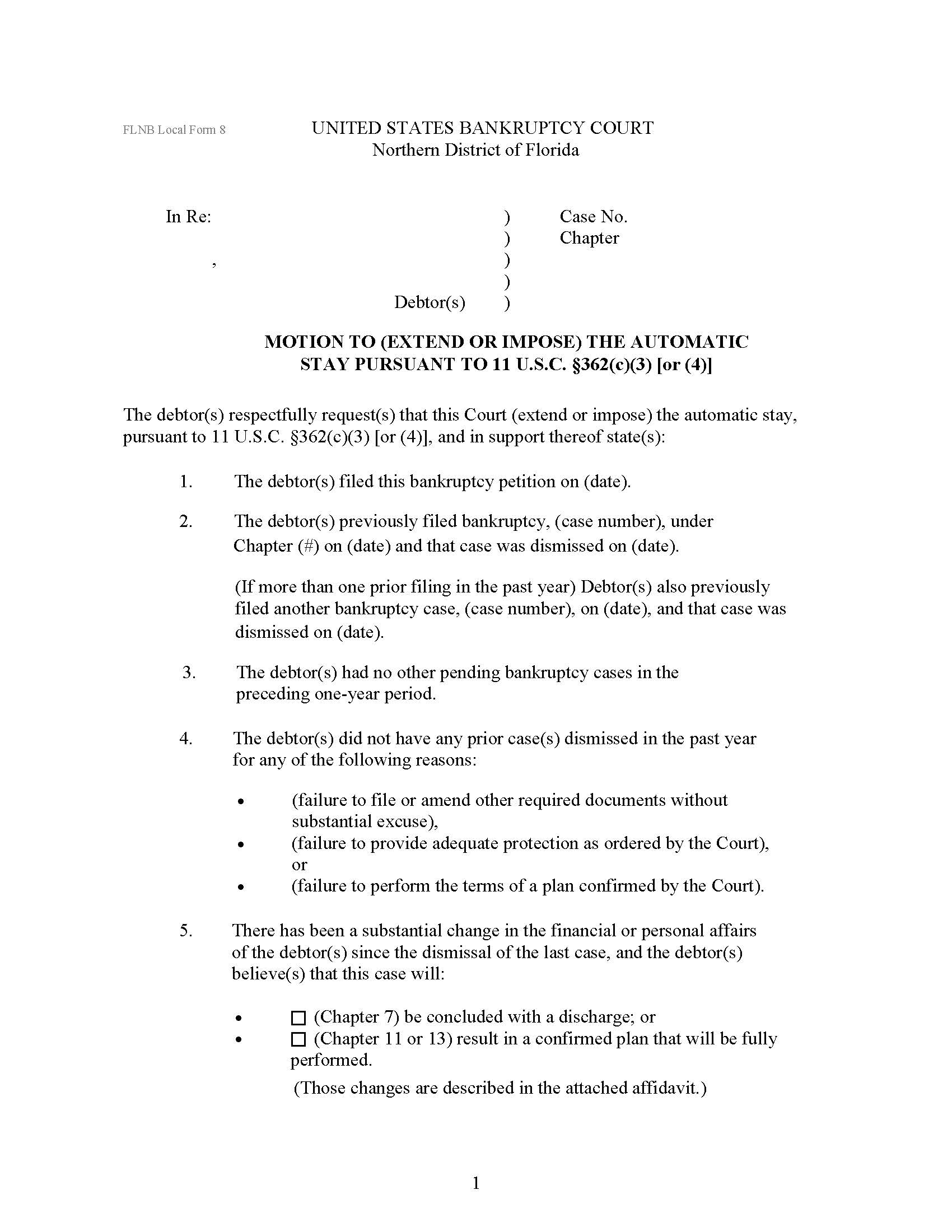
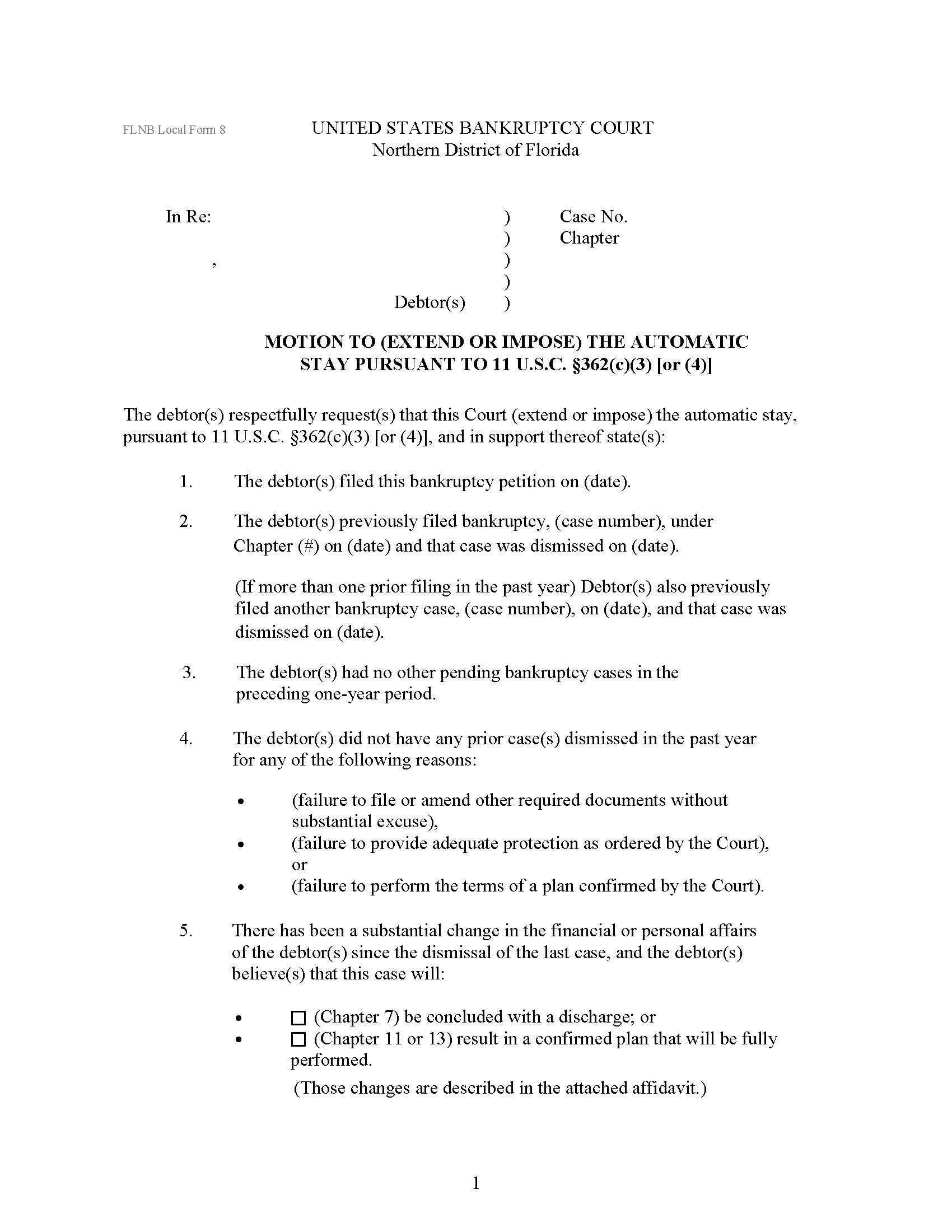
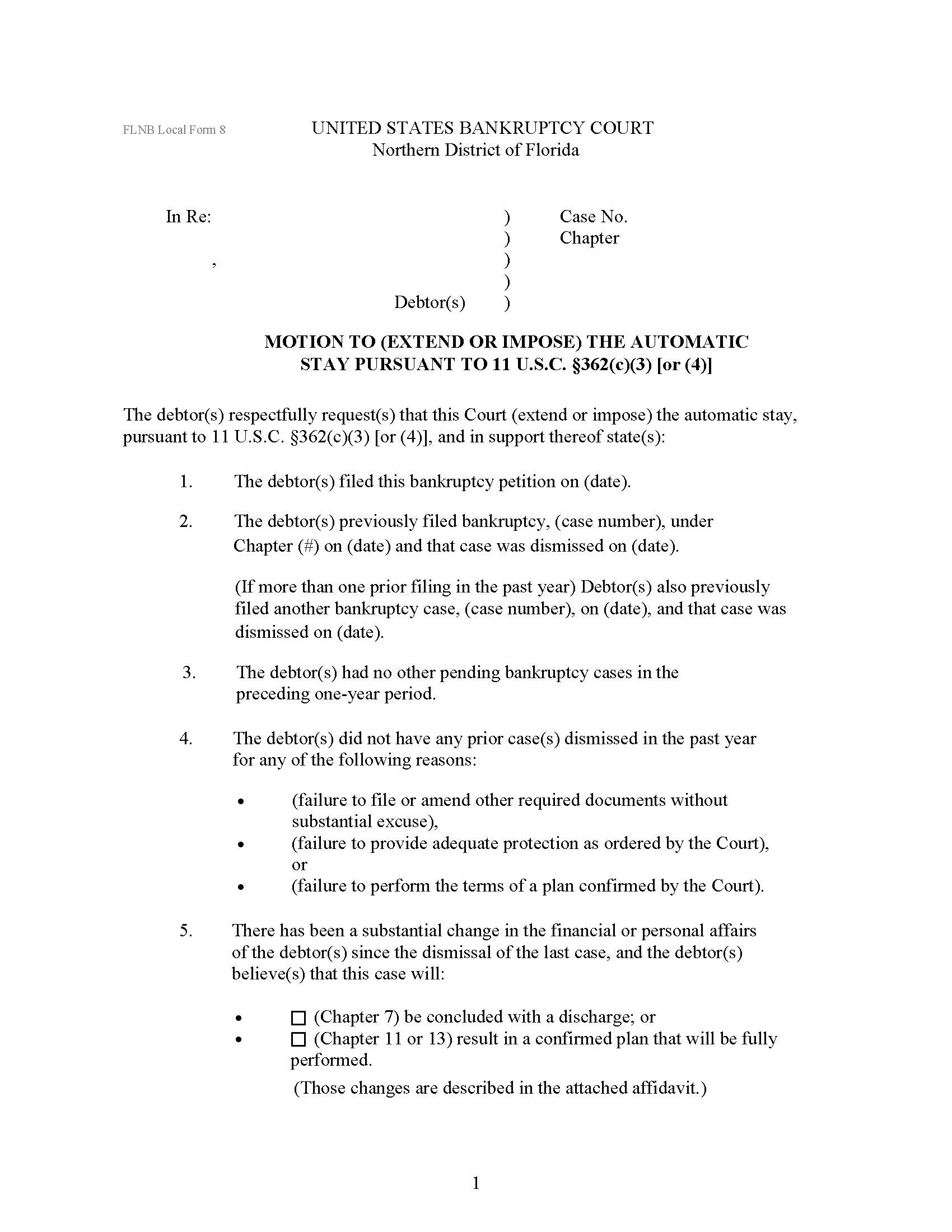
LF-8 - MOTION TO (EXTEND OR IMPOSE) THE AUTOMATIC STAY PURSUANT TO 11 U.S.C. §362(c)(3) [or (4)]. This form is used in the United States Bankruptcy Court, Northern District of Florida, for debtors to request the extension or imposition of the automatic stay under Section 362(c)(3) or (4) of the U.S. Bankruptcy Code. The motion states that the debtors have filed a bankruptcy petition, indicating any prior bankruptcy cases and dismissals. It highlights any substantial changes in the debtors' financial or personal circumstances since the last case dismissal and their belief that the current case will result in a discharge or a fully performed confirmed plan. If applicable, it mentions any pending or resolved motions for relief from stay filed by creditors in the prior case. The motion also provides information on the automatic stay's termination date if seeking an extension and includes a certificate of service. The form references an attached affidavit in support of the motion (FLNB Local Form 9). www.FormsWorkflow.com
Related forms
-
Exhibit List
Florida/Federal/USBC Northern/ -
Notice Of Address To Be Used In Specific Case
Florida/Federal/USBC Northern/ -
Notice Of Change Of Address Of Debtor
Florida/Federal/USBC Northern/ -
Request For Notice Pursuant To Bankruptcy Rule 2002(g)
Florida/Federal/USBC Northern/ -
Notice Of Appearance (Request For Notices)
Florida/Federal/USBC Northern/ -
Statement Of No Employment Income
Florida/Federal/USBC Northern/ -
Application For Payment Of Unclaimed Funds And Affidavit Of Claimant
Florida/Federal/USBC Northern/ -
Verification Of Creditor Matrix
Florida/Federal/USBC Northern/ -
Annual Statement (Chapter 13)
Florida/Federal/USBC Northern/ -
Agreed Motion To Abate Plan Payments To Address Accrued Delinquency
Florida/Federal/USBC Northern/ -
Certificate And Affidavit For Adding Creditors In Closed Case
Florida/Federal/USBC Northern/ -
Corporate Ownership Statement
Florida/Federal/USBC Northern/ -
Debtor(s) Election To Abate Plan Payments Pursuant To Confirmed Plan Terms
Florida/Federal/USBC Northern/ -
Debtor(s) Election To Use A Portion Of Tax Refund Pursuant To Confirmed Plan Terms
Florida/Federal/USBC Northern/ -
Debtor(s) Notice Of Chapter 13 Plan Payment Change On Debtor(s) Principal Residence (Pursuant To Creditors Notice)
Florida/Federal/USBC Northern/ -
Motion To Modify Chapter 13 Plan
Florida/Federal/USBC Northern/ -
Secured Creditors Notice Of Payment Change
Florida/Federal/USBC Northern/ -
Statement-Certification Regarding Requirements For Discharge In Chapter 13 Case
Florida/Federal/USBC Northern/ -
Supplemental Disclosure To Schedules I And-Or J Regarding Listed Expenses
Florida/Federal/USBC Northern/ -
Statement Of Need For Emergency Hearing
Florida/Federal/USBC Northern/ -
Verified Ex Parte Motion For Mortgage Modification Mediation Attorney
Florida/Federal/USBC Northern/ -
Pre-Confirmation Statement Regarding Individual Debtors Domestic Support Obligations
Florida/Federal/USBC Northern/ -
Order Granting Deposit And Investment (Sample And Form)
Florida/Federal/USBC Northern/ -
Order Sustaining Debtors Objection To Claim (Sample And Form)
Florida/4 Federal/USBC Northern/ -
Order Granting Motion To Determine Secured Status (Sample And Form)
Florida/4 Federal/USBC Northern/ -
Order Granting Consent Motion To Extend Deadlines (Sample And Form)
Florida/4 Federal/USBC Northern/ -
Order For Motion Granting Final Decree (Sample And Form)
Florida/4 Federal/USBC Northern/ -
Order Granting Motion To Administratively Close Case (CH11) (Sample - Form)
Florida/4 Federal/USBC Northern/ -
Order Granting Motion To Change Venue (Panama City Only) (Sample - Form)
Florida/4 Federal/USBC Northern/ -
Order Granting Motion To Sell Property (Sample And Form)
Florida/4 Federal/USBC Northern/ -
Order Granting Motion To Avoid Lien Exempt Property (Sample - Form)
Florida/4 Federal/USBC Northern/ -
Order Granting Motion For Entry Of Chapter 11 Discharge
Florida/4 Federal/USBC Northern/ -
Debtors Statement Of Assistance Received In Filing This Case
Florida/4 Federal/USBC Northern/ -
Verified Ex Parte Motion For Mortgage Modification Mediation Pro Se
Florida/4 Federal/USBC Northern/ -
Exhibit Tag - Cover Sheet
Florida/4 Federal/USBC Northern/ -
Affidavit In Support Motion To (Extend Or Impose) Automatic Stay
Florida/4 Federal/USBC Northern/ -
Motion To Change Hearing Venue Of Panama City Division Case Pro Se
Florida/4 Federal/USBC Northern/ -
Pro Se Debtors Statement Regarding Conversion To Chapter 7 (No Change)
Florida/4 Federal/USBC Northern/ -
Notice Of Change Of Address For Creditor
Florida/4 Federal/USBC Northern/ -
Cover Sheet For Compensation For Services And Reimbursment As Counsel
Florida/4 Federal/USBC Northern/ -
Pre-Confirmation Statement Individual Debtors Support Obligations (Chapter 12)
Florida/4 Federal/USBC Northern/ -
Optional Plan Language (Chapter 13)
Florida/4 Federal/USBC Northern/ -
Notice Of Scheduled Mortgage Mediation
Florida/4 Federal/USBC Northern/ -
Order Granting Motion to Modify Plan Under CARES Act
Florida/4 Federal/USBC Northern/ -
Motion For Entry Of Chapter 11 Discharge (Individual)
Florida/Federal/USBC Northern/ -
Motion To Administratively Close Individual Chapter 11 Case
Florida/4 Federal/USBC Northern/ -
Statement-Certification Regarding Requirements For Discharge In Chapter 12 Case
Florida/4 Federal/USBC Northern/ -
Chapter 12 Case Summary Of Operations - Family Farmer
Florida/4 Federal/USBC Northern/ -
Chapter 12 Case Monthly Cash Receipts And Disbursements
Florida/4 Federal/USBC Northern/ -
Pre-Confirmation Statement Regarding Individual Debtors Domestic Support Obligations
Florida/4 Federal/USBC Northern/ -
Report And Notice Of Trustees Intention To Sell Property
Florida/4 Federal/USBC Northern/ -
Matrix - List Of Creditors
Florida/4 Federal/USBC Northern/ -
Motion For Determination And Waiver To Comply With Credit Counseling
Florida/4 Federal/USBC Northern/ -
Application For Admission To Registry Of Mediators (MMM Qualified)
Florida/4 Federal/USBC Northern/ -
Notice Of Hearing Motion To Sell Property Report And Notice
Florida/4 Federal/USBC Northern/ -
Report And Notice Trustees Intention To Abandon Property Of Estate
Florida/Federal/USBC Northern/ -
Motion To (Extend Or Impose) The Automatic Stay
Florida/4 Federal/USBC Northern/ -
Request For Review Of Decision (Appeal - Employment Dispute Resolution)
Florida/Federal/USBC Northern/ -
Request For Assisted Resolution (Employment Dispute Resolution)
Florida/Federal/USBC Northern/ -
Order Granting Motion For Referral To Mortgage Modification Mediation (Template)
Florida/Federal/USBC Northern/ -
Statement-Certification Regarding Requirements For Discharge In Chapter 11 Case
Florida/Federal/USBC Northern/ -
Chapter 13 Plan
Florida/Federal/USBC Northern/ -
Order Establishing Duties Debtor And Trustee Claims Expenses Procedures (Template)
Florida/Federal/USBC Northern/ -
Audio File Request Form
Florida/Federal/USBC Northern/ -
Copy Request
Florida/Federal/USBC Northern/ -
Certificate Of Service
Florida/4 Federal/USBC Northern/ -
Chapter 11 Ballot Tabulation
Florida/Federal/USBC Northern/ -
Motion To Deem Mortgage Current
Florida/Federal/USBC Northern/ -
Notice Of Hearing Motion To Sell Property Report-Notice Of Intent
Florida/4 Federal/USBC Northern/ -
Notice Of Appearance As Supervising Attorney
Florida/Federal/USBC Northern/ -
Application To Approve Students As Student Lawyer
Florida/Federal/USBC Northern/ -
Order Granting Motion For Relief From Stay (Sample And Form)
Florida/4 Federal/USBC Northern/ -
Affidavit In Support Of Motion For Waiver Of Requirement
Florida/Federal/USBC Northern/ -
Transcript Order Form
Florida/Federal/USBC Northern/
Form Preview
Contact Us
Success: Your message was sent.
Thank you!




