Last updated: 11/22/2022
Declaration Reagarding Electronic Filing (Self-Represented Individual) {G-20}
Start Your Free Trial $ 6.00What you get:
- Instant access to fillable Microsoft Word or PDF forms.
- Minimize the risk of using outdated forms and eliminate rejected fillings.
- Largest forms database in the USA with more than 80,000 federal, state and agency forms.
- Download, edit, auto-fill multiple forms at once in MS Word using our Forms Workflow Ribbon
- Trusted by 1,000s of Attorneys and Legal Professionals
Description
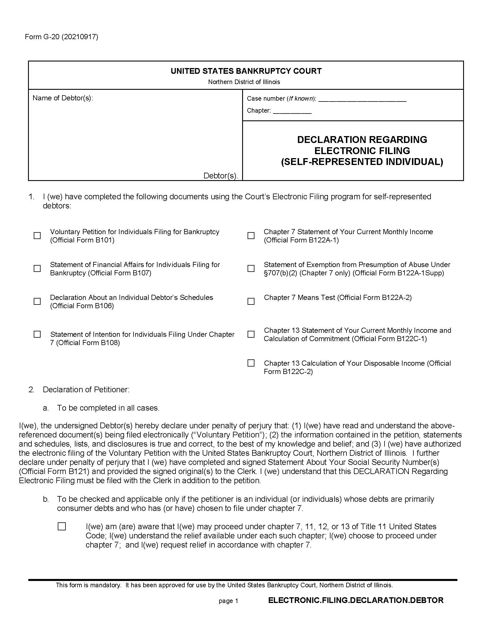
Form G-20 - DECLARATION REGARDING ELECTRONIC FILING (SELF-REPRESENTED INDIVIDUAL). This is a mandatory form approved by the United States Bankruptcy Court for the Northern District of Illinois. It must be filed by self-represented (pro se) debtors who use the court’s Electronic Filing Program to submit bankruptcy documents such as petitions, schedules, and statements. This declaration confirms that the debtor has reviewed and authorized the electronic filing of their bankruptcy petition and that the information provided is true and correct. It also affirms that the debtor has signed and submitted the Statement About Your Social Security Number (Official Form B121). Failure to file this signed declaration may result in case dismissal under 11 U.S.C. §§ 707(a) and 105. www.FormsWorkflow.com
Related forms
-
Scheduling Order (Judge Cox)
Illinois/Federal/USBC Northern/ -
Order Allowing Compensation For Representation Of Chapter 13 Debtor
Illinois/Federal/USBC Northern/ -
Order Permitting The Refinancing Of Real Estate (Judge Cox)
Illinois/Federal/USBC Northern/ -
Order Combined With Notice Of Hearing On Attorneys Fee
Illinois/Federal/USBC Northern/ -
Order Determining Value Of Collateral (Judge Cox)
Illinois/Federal/USBC Northern/ -
Order Permitting The Sale Of Real Estate (Judge Cox)
Illinois/Federal/USBC Northern/ -
Final Pretrial Order (Judge Cassling)
Illinois/Federal/USBC Northern/ -
Order Setting Scheduling Conference (Judge Cox)
Illinois/Federal/USBC Northern/ -
Final Pretrial Order (Judge Cox)
Illinois/Federal/USBC Northern/ -
Zoom Section 341(a) Meeting Of Creditors With Delcaration-Verification
Illinois/Federal/USBC Northern/ -
Summons In An Adversary Proceeding
Illinois/Federal/USBC Northern/ -
Section 1126 Ballot Report
Illinois/Federal/USBC Northern/ -
Order Allowing Re-Opening Of Bankruptcy Case (Judge Cox)
Illinois/Federal/USBC Northern/ -
Rights Responsibilities Agreement Between Ch 13 Debtors And Attorneys (CARA)
Illinois/Federal/USBC Northern/ -
Court-Approved Retention Agreement (CARA Cases Filed On-After 03-15-21)
Illinois/Federal/USBC Northern/ -
Addendum To Court-Approved Retention Agreement For Mortgage Modification Mediation Program
Illinois/Federal/USBC Northern/ -
Itemization Of Services Rendered To Chapter 13 Debtors
Illinois/Federal/USBC Northern/ -
Continuation Sheet - Itemization Of Services Rendered To Chapter 13 Debtors
Illinois/Federal/USBC Northern/ -
Deferral Of Adversary Filing Fee
Illinois/Federal/USBC Northern/ -
Order Setting Date To File Plan And Disclosure Statement
Illinois/Federal/USBC Northern/ -
Order And Notice Of Hearing On Adequacy Of Disclosure Statement
Illinois/Federal/USBC Northern/ -
Summons To Debtor In Involuntary Case
Illinois/Federal/USBC Northern/ -
Order Confirming Consensual Subchapter V Plan
Illinois/Federal/USBC Northern/ -
Order Combined With Notice Of Confirmation
Illinois/Federal/USBC Northern/ -
Order Converting Case Under Chapter 11 To Case Under Chapter 7
Illinois/Federal/USBC Northern/ -
Order Confirming Non-Consensual Subchapter V Plan
Illinois/Federal/USBC Northern/ -
Deferral Of Adversary Filing Fee (Chapter 7)
Illinois/Federal/USBC Northern/ -
Order For Relief
Illinois/Federal/USBC Northern/ -
Summons To Debtor In Involuntary Case (Ch7) Certificate Of Service
Illinois/Federal/USBC Northern/ -
Certification Of Relatedness
Illinois/Federal/USBC Northern/ -
Attorney Appearance Form (DC Form Required To File ILNB Appearance)
Illinois/Federal/USBC Northern/ -
Transcript Information Sheet
Illinois/Federal/USBC Northern/ -
Cover Sheet For Application For Professional Compensation
Illinois/Federal/USBC Northern/ -
Federal Records Center Request
Illinois/Federal/USBC Northern/ -
Consent For Electronic Notice And Service In A Bankruptcy Case
Illinois/Federal/USBC Northern/ -
Third-Party Summons
Illinois/Federal/USBC Northern/ -
Declaration Reagarding Electronic Filing (Self-Represented Individual)
Illinois/Federal/USBC Northern/ -
Consent For Electronic Notice And Service In An Adversary Proceeding
Illinois/Federal/USBC Northern/ -
Change Of Mailing Address For Debtor(s)
Illinois/Federal/USBC Northern/ -
Required Statement To Accompany All Motions For Relief From Stay
Illinois/Federal/USBC Northern/ -
Pretrial Order (Contested Matter Form - Short Form - Judge Lynch)
Illinois/4 Federal/USBC Northern/ -
Application For Payment Of Unclaimed Funds
Illinois/Federal/USBC Northern/ -
Change Of Address - Creditor
Illinois/Federal/USBC Northern/ -
Exemplification Certificate
Illinois/Federal/USBC Northern/ -
Order Allowing Ch 13 Compensation CARA (Cases On Or After 4-20-15)
Illinois/Federal/USBC Northern/ -
Order Valuing Claim Of (Creditor)
Illinois/Federal/USBC Northern/ -
Order (Blank - Adversary)
Illinois/Federal/USBC Northern/ -
Default Judgment Valuing Claim Of Defendant
Illinois/Federal/USBC Northern/ -
Order And Notice Setting Bar Date For Proofs Of Claim
Illinois/Federal/USBC Northern/ -
Order Allowing Ch 13 Compensation Non-CARA (Cases On-After 4-20-15)
Illinois/Federal/USBC Northern/ -
Adversary Proceeding Cover Sheet
Illinois/Federal/USBC Northern/ -
Order Granting Application For Payment Of Unclaimed Funds
Illinois/Federal/USBC Northern/ -
Notice Of Motion (Unclaimed Funds)
Illinois/Federal/USBC Northern/ -
Motion Of Debtors For Entry Of Discharge Certification Of Plan Completion
Illinois/Federal/USBC Northern/ -
Order To Employer To Pay Trustee
Illinois/Federal/USBC Northern/ -
Notice Of Emergency Motion
Illinois/Federal/USBC Northern/ -
Notice Of Motion
Illinois/Federal/USBC Northern/ -
Final Pretrial Order (Standard Form - Judge Lynch)
Illinois/Federal/USBC Northern/ -
Attorneys Application Ch 13 Compensation Non-CARA (Cases On-After 4-20-15)
Illinois/Federal/USBC Northern/ -
Attorneys Application Ch 13 Compensation CARA (Cases On Or After 4-20-15)
Illinois/Federal/USBC Northern/ -
Order (Blank)
Illinois/Federal/USBC Northern/ -
Pretrial Order (Judge Cleary)
Illinois/Federal/USBC Northern/ -
Order Granting Motion To Disburse Funds From The Courts Registry
Illinois/Federal/USBC Northern/ -
Order Granting Motion To Deposit Funds Into The Courts Registry
Illinois/Federal/USBC Northern/ -
Trustees Report Of Deposit Of Unclaimed Funds
Illinois/Federal/USBC Northern/ -
Debtors Certifications Regarding Domestic Support Obligations And Section 522(q)
Illinois/Federal/USBC Northern/ -
Exhibit To Trustees Report Of Deposit Of Unclaimed Funds
Illinois/Federal/USBC Northern/ -
Order Granting Motion For Relief From Stay
Illinois/Federal/USBC Northern/ -
Order Granting Motion For Relief From Stay And Codebtor Stay
Illinois/Federal/USBC Northern/
Form Preview
Contact Us
Success: Your message was sent.
Thank you!




