Mississippi
Workers Compensation
Last updated: 11/7/2023
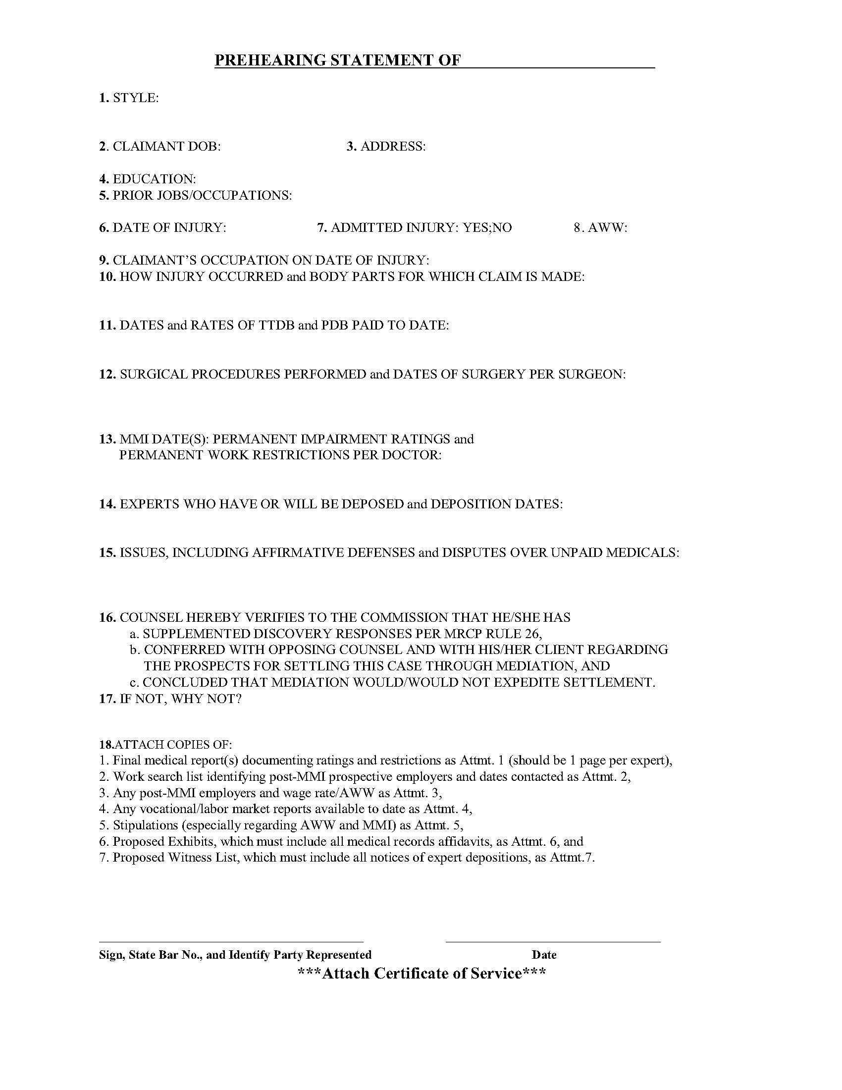
Prehearing Statement Of
Start Your Free Trial $ 17.99What you get:
- Instant access to fillable Microsoft Word or PDF forms.
- Minimize the risk of using outdated forms and eliminate rejected fillings.
- Largest forms database in the USA with more than 80,000 federal, state and agency forms.
- Download, edit, auto-fill multiple forms at once in MS Word using our Forms Workflow Ribbon
- Trusted by 1,000s of Attorneys and Legal Professionals
Description
PREHEARING STATEMENT OF. This form is used to provide details about a workers' compensation claim before a hearing. It includes information on the claimant, injury details, treatment, work status, and compensation history. It outlines any surgical procedures, permanent impairments, work restrictions, and expert witnesses involved. The form also covers issues in dispute, any efforts toward mediation, and necessary attachments, such as medical reports, work search records, vocational assessments, and proposed exhibits. www.FormsWorkflow.com
Related forms
Our Products





