Last updated: 5/16/2022
Ex Parte Application For Order Shortening Time For Hearing {SH-030}
Start Your Free Trial $ 15.00What you get:
- Instant access to fillable Microsoft Word or PDF forms.
- Minimize the risk of using outdated forms and eliminate rejected fillings.
- Largest forms database in the USA with more than 80,000 federal, state and agency forms.
- Download, edit, auto-fill multiple forms at once in MS Word using our Forms Workflow Ribbon
- Trusted by 1,000s of Attorneys and Legal Professionals
Description
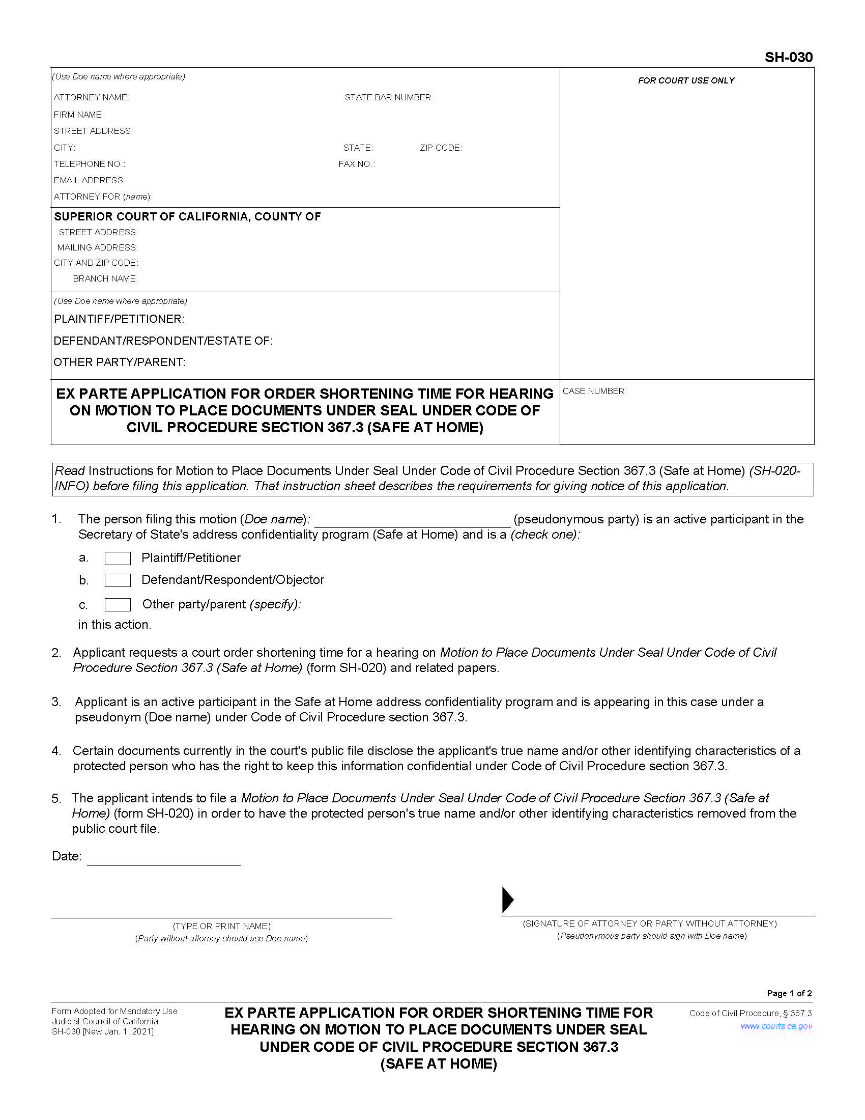
SH-030, EX PARTE APPLICATION FOR ORDER SHORTENING TIME FOR HEARING ON MOTION TO PLACE DOCUMENTS UNDER SEAL UNDER CODE OF CIVIL PROCEDURE SECTION 367.3 (SAFE AT HOME), this form is used to ask the court to shorten the time to have a hearing about sealing documents in your case. Read Instructions for Motion to Place Documents Under Seal Under Code of Civil Procedure Section 367.3 (Safe at Home) (SH-020-INFO) before filing this application. That instruction sheet describes the requirements for giving notice of this application. Form Adopted for Mandatory Use, Judicial Council of California, SH-030 [New Jan. 1, 2021] Code of Civil Procedure, § 367.3. www.FormsWorkflow.com





