Last updated: 7/29/2022
(Emergency) Motion Extend-Impose Automatic Stay With Affidavit In Support {4001}
Start Your Free Trial $ 6.00What you get:
- Instant access to fillable Microsoft Word or PDF forms.
- Minimize the risk of using outdated forms and eliminate rejected fillings.
- Largest forms database in the USA with more than 80,000 federal, state and agency forms.
- Download, edit, auto-fill multiple forms at once in MS Word using our Forms Workflow Ribbon
- Trusted by 1,000s of Attorneys and Legal Professionals
Description
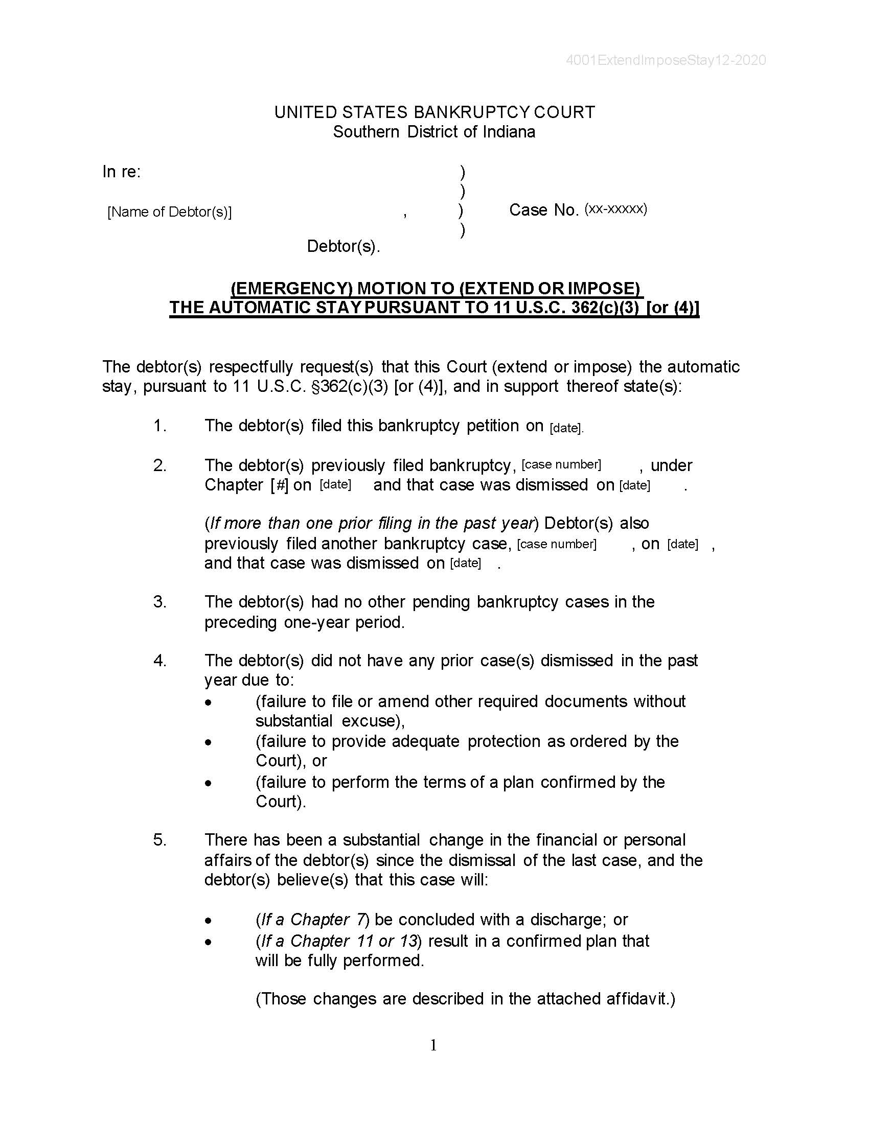
4001 - (EMERGENCY) MOTION TO (EXTEND OR IMPOSE) THE AUTOMATIC STAY PURSUANT TO 11 U.S.C. 362(c)(3) [or (4)]. This form is used in the United States Bankruptcy Court for the Southern District of Indiana to request the court to continue or reinstate the automatic stay under 11 U.S.C. § 362(c)(3) or (4). The automatic stay is a legal protection that halts creditor collection actions, foreclosures, evictions, and other proceedings against the debtor once a bankruptcy case is filed. This motion is typically used when a debtor has filed for bankruptcy multiple times within a one-year period. If a debtor had a prior bankruptcy case dismissed within the last year, the automatic stay only lasts 30 days unless extended by the court. If the debtor had two or more cases dismissed within the past year, no automatic stay goes into effect unless the court imposes one. This motion explains why the debtor believes they deserve continued protection, including demonstrating a substantial change in financial or personal circumstances since the previous dismissal. The debtor must also certify that previous cases were not dismissed due to procedural failures, lack of compliance, or bad faith. If granted, the court extends or imposes the automatic stay, allowing the debtor to proceed with their bankruptcy case without immediate creditor enforcement actions. www.FormsWorkflow.com
Related forms
-
Current Business Income And Expenses
Indiana/Federal/Bankruptcy Court/Southern District/ -
Notice Of Plan Completion (Chapter 13)
Indiana/Federal/Bankruptcy Court/Southern District/ -
Notice Of Motion For Relief From Stay And Or Abandonment
Indiana/Federal/Bankruptcy Court/Southern District/ -
Section 1126 Ballot Report Form
Indiana/Federal/Bankruptcy Court/Southern District/ -
Order On Omnibus Objection To Claims
Indiana/Federal/Bankruptcy Court/Southern District/ -
Notice Of Hearing (General)
Indiana/Federal/Bankruptcy Court/Southern District/ -
Certificate Of Service (General)
Indiana/Federal/Bankruptcy Court/Southern District/ -
Certificate Of Service Notice To Post Petition Creditors
Indiana/Federal/Bankruptcy Court/Southern District/ -
Declaration As To Original Signature(s)
Indiana/Federal/Bankruptcy Court/Southern District/ -
Motion For Relief From Co Debtor Stay And Notice Of Objection Deadline
Indiana/Federal/Bankruptcy Court/Southern District/ -
Motion To Avoid Wholly Unsecured Mortgage
Indiana/Federal/Bankruptcy Court/Southern District/ -
Notice Of Address Unavailability
Indiana/Federal/Bankruptcy Court/Southern District/ -
Statement In Lieu Of Notice
Indiana/Federal/Bankruptcy Court/Southern District/ -
Certificate Of Service Notice Of Hearing
Indiana/Federal/Bankruptcy Court/Southern District/ -
Declaration That Party Was Unable To File In A Timely Manner
Indiana/Federal/Bankruptcy Court/Southern District/ -
Certificate Of Service Notice Of Corrected Name(s) Of Debtor(s)
Indiana/Federal/Bankruptcy Court/Southern District/ -
Certificate Of Service Notice Of Corrected Social Security Number(s)
Indiana/Federal/Bankruptcy Court/Southern District/ -
Order Granting Motion For Consolidation
Indiana/Federal/Bankruptcy Court/Southern District/ -
Order Granting Motion For Joint Administration
Indiana/Federal/Bankruptcy Court/Southern District/ -
Trustees Notice Of Unclaimed Dividends
Indiana/Federal/Bankruptcy Court/Southern District/ -
Corporate Ownership Statement
Indiana/Federal/Bankruptcy Court/Southern District/ -
Certificate Of Service To Added Creditors
Indiana/Federal/Bankruptcy Court/Southern District/ -
Motion For Relief From Judgment-Order
Indiana/Federal/Bankruptcy Court/Southern District/ -
Order On Objection To Claim
Indiana/Federal/Bankruptcy Court/Southern District/ -
Request For Transcript
Indiana/Federal/Bankruptcy Court/Southern District/ -
Corporate Ownership Statement (Adversary Proceeding)
Indiana/Federal/Bankruptcy Court/Southern District/ -
Debtors Electronic Noticing Request (DeBN)
Indiana/Federal/Bankruptcy Court/Southern District/ -
General Power Of Attorney (INSB)
Indiana/Federal/Bankruptcy Court/Southern District/ -
Motion For Relief From Automatic Stay And Abandonment Of Property (Chapter 11)
Indiana/Federal/Bankruptcy Court/Southern District/ -
Motion For Relief From Judgment Order (Adversary Proceeding)
Indiana/Federal/Bankruptcy Court/Southern District/ -
Motion To Extend Or Impose the Automatic Stay
Indiana/Federal/Bankruptcy Court/Southern District/ -
Notice Of Bankruptcy
Indiana/Federal/Bankruptcy Court/Southern District/ -
Verification Of Creditor List
Indiana/Federal/Bankruptcy Court/Southern District/ -
Certificate Of Service Regarding Summons
Indiana/Federal/Bankruptcy Court/Southern District/ -
Complaint To-For
Indiana/4 Federal/Bankruptcy Court/Southern District/ -
Motion To Redact Previously FIled Document
Indiana/4 Federal/Bankruptcy Court/Southern District/ -
Motion To Modify Secured Debt Mortgage (Chapter 13)
Indiana/4 Federal/Bankruptcy Court/Southern District/ -
Certificate Of Service Notice Of Approval Bid Procedures Sale Process
Indiana/4 Federal/Bankruptcy Court/Southern District/ -
Motion To Reopen Bankruptcy Case
Indiana/4 Federal/Bankruptcy Court/Southern District/ -
Motion For Extension Of Time
Indiana/4 Federal/Bankruptcy Court/Southern District/ -
Notice Of Surrogates Appointment
Indiana/4 Federal/Bankruptcy Court/Southern District/ -
Notice Of Debtors Death (Sample And Form)
Indiana/4 Federal/Bankruptcy Court/Southern District/ -
Notice Of Retention And Compensation Terms [Sale Of Property]
Indiana/4 Federal/Bankruptcy Court/Southern District/ -
Notice Of Retention And Compensation Terms [Causes Of Action]
Indiana/4 Federal/Bankruptcy Court/Southern District/ -
Notice Of Withdrawal Of Claim
Indiana/Federal/Bankruptcy Court/Southern District/ -
Certification Of Eligibility For Chapter 12 Discharge
Indiana/4 Federal/Bankruptcy Court/Southern District/ -
Motion Requesting Permanent Waiver Of Credit Counseling Requirement
Indiana/4 Federal/Bankruptcy Court/Southern District/ -
Motion Requesting Temporary Waiver Of Credit Counseling Requirement
Indiana/4 Federal/Bankruptcy Court/Southern District/ -
Order On Notice Of Surrogates Appointment
Indiana/4 Federal/Bankruptcy Court/Southern District/ -
Notice Of Proposed Expedited Processing Non-Sub V Small Business Case
Indiana/Federal/Bankruptcy Court/Southern District/ -
Notice Of Change Of Address Creditors With New Or Corrected Addresses
Indiana/Federal/Bankruptcy Court/Southern District/ -
Motion For Entry Of Chapter 13 Discharge
Indiana/4 Federal/Bankruptcy Court/Southern District/ -
Notice Of Hearing On (Emergency) Motion To (Extend Or Impose) Automatic Stay
Indiana/Federal/Bankruptcy Court/Southern District/ -
(Emergency) Motion Extend-Impose Automatic Stay With Affidavit In Support
Indiana/4 Federal/Bankruptcy Court/Southern District/ -
Notice Of Motion To Abandon By Creditor
Indiana/Federal/Bankruptcy Court/Southern District/ -
List Of Secured Creditors (Chapter 11)
Indiana/Federal/Bankruptcy Court/Southern District/ -
Affidavit In Support Of Motion To Appear Pro Hac Vice
Indiana/Federal/Bankruptcy Court/Southern District/ -
Motion To Appear Pro Hac Vice
Indiana/Federal/Bankruptcy Court/Southern District/ -
Chapter 7 Uniform Document Production List
Indiana/Federal/Bankruptcy Court/Southern District/ -
Certification Of Balloting Report
Indiana/Federal/Bankruptcy Court/Southern District/ -
Motion To Establish Bar Dates For Filing Proofs Of Claim
Indiana/Federal/Bankruptcy Court/Southern District/ -
Agreed Entry Modifying Plan Post-Confirmation
Indiana/Federal/Bankruptcy Court/Southern District/ -
Certificate Of Service Notice Chapter 11 Creditors (Amount Status Bar Date)
Indiana/Federal/Bankruptcy Court/Southern District/ -
Order On Request For Loss Mitigation
Indiana/4 Federal/Bankruptcy Court/Southern District/ -
Chapter 13 Model Plan
Indiana/Federal/Bankruptcy Court/Southern District/ -
Notice Of Proposed Abandonment By Trustee Or Debtor-In-Possession
Indiana/Federal/Bankruptcy Court/Southern District/ -
Motion To Compromise (Or Settle) And Notice Of Objection Deadline
Indiana/4 Federal/Bankruptcy Court/Southern District/ -
Motion For Relief From Co-Debtor Stay Notice Of Objection Deadline
Indiana/Federal/Bankruptcy Court/Southern District/ -
Motion To Set Budget Interim Property Use - Notice Of Objection Deadline
Indiana/4 Federal/Bankruptcy Court/Southern District/ -
Trustees-Debtors Objection To Claim And Notice Of Response Deadline
Indiana/Federal/Bankruptcy Court/Southern District/ -
Subchapter V Status Report
Indiana/4 Federal/Bankruptcy Court/Southern District/ -
Trustees-Debtors Omnibus Objection To Claims Notice Of Response Deadline
Indiana/Federal/Bankruptcy Court/Southern District/ -
Motion To Redeem Property And Notice Of Objection Deadline
Indiana/Federal/Bankruptcy Court/Southern District/ -
Motion To Withdraw Claim And Notice Of Objection Deadline
Indiana/Federal/Bankruptcy Court/Southern District/ -
Motion To Modify Chapter 13 Plan Notice Of Objection Deadline
Indiana/Federal/Bankruptcy Court/Southern District/ -
Notice To Holder Of Domestic Support Obligation Of Objection Deadline
Indiana/Federal/Bankruptcy Court/Southern District/ -
Motion For Turnover And Notice Of Objection Deadline
Indiana/Federal/Bankruptcy Court/Southern District/ -
Motion To Assume-Assign-Reject Executory Contracts-Unexpired Leases
Indiana/Federal/Bankruptcy Court/Southern District/ -
Motion To Deem Mortgage Current Notice Of Objection Deadline
Indiana/4 Federal/Bankruptcy Court/Southern District/ -
Motion To Sell Approve Bid Procedures Notice Of Objection Deadline
Indiana/4 Federal/Bankruptcy Court/Southern District/ -
Electronic Case Filing System Limited Participant Registration Form
Indiana/Federal/Bankruptcy Court/Southern District/ -
Motion For Relief From Automatic Stay And Abandonment Of Property (Chapter 7 Or 13)
Indiana/Federal/Bankruptcy Court/Southern District/ -
Motion To Avoid (Judicial) Lien (Household Goods) Notice Objection Deadline
Indiana/Federal/Bankruptcy Court/Southern District/ -
Payment Advice Cover Sheet-Statement In Lieu Of Payment Advice
Indiana/4 Federal/Bankruptcy Court/Southern District/ -
Request For Loss Mitigation Notice Of Objection Deadline
Indiana/4 Federal/Bankruptcy Court/Southern District/ -
Rights And Responsibilities Of Chapter 13 Debtors And Their Attorneys
Indiana/Federal/Bankruptcy Court/Southern District/ -
Application For Payment Of Unclaimed Funds
Indiana/4 Federal/Bankruptcy Court/Southern District/ -
Certification Of Eligibility For Chapter 13 Discharge
Indiana/4 Federal/Bankruptcy Court/Southern District/
Form Preview
Contact Us
Success: Your message was sent.
Thank you!




