Last updated: 9/2/2022
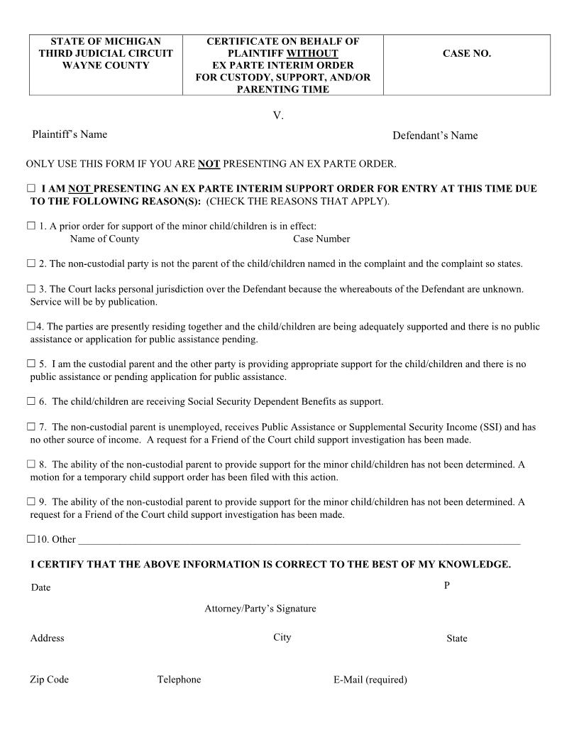
Certificate On Behalf Of Plaintiff Without Ex Parte Interim Order Custody Support Parenting Time
Start Your Free Trial $ 14.00What you get:
- Instant access to fillable Microsoft Word or PDF forms.
- Minimize the risk of using outdated forms and eliminate rejected fillings.
- Largest forms database in the USA with more than 80,000 federal, state and agency forms.
- Download, edit, auto-fill multiple forms at once in MS Word using our Forms Workflow Ribbon
- Trusted by 1,000s of Attorneys and Legal Professionals
Description
Friend of the Court ADDRESS AND DEMOGRAPHIC CHANGE FORM In order for these changes to be entered on your case, you must sign and date the bottom of this form. If you are providing us with address information on the other party, this information will not be valid until it is verified by the Friend of the Court. For name and address changes, you must provide a current driver's license/state ID with the new name, a copy of a marriage license, or a copy of a court order. For social security number changes, you must provide a copy of your driver's license/state ID and the new social security card. YOUR CASE/DOCKET NUMBER YOUR SOCIAL SECURITY NUMBER YOUR NAME PLEASE CHECK WHICH PARTY THIS CHANGE IS FOR: CUSTODIAL PARENT (the person the child lives with by court order) NON-CUSTODIAL PARENT _____________ ___________ _______________ FIRST MIDDLE LAST ADDRESS CHANGE (YOU MUST ATTACH COPY OF DRIVER'S LICENSE OR STATE ID) FORMER STREET ADDRESS NEW STREET ADDRESS CITY PHONE STATE ZIP CITY PHONE STATE ZIP NAME CHANGE (documentation required) FORMER NAME WHAT DOCUMENTATION ARE YOU PROVIDING? NEW NAME SOCIAL SECURITY NUMBER CHANGE (Attach copy of documentation) FORMER NUMBER NEW NUMBER I certify that I am a party to this case and the information I have provided above and in person is true. SIGNATURE (REQUIRED) _____________________________ DATE: ___________________ **************************************************************************************************************************************************** FOC USE ONLY Verified by: _________________________________ Date: _______________________ FD/FOC4041 04/2012 Address and Demographic Change Form American LegalNet, Inc. www.FormsWorkFlow.com





