Last updated: 2/15/2022
Order Rejecting Application For Default Judgment {CV-5097}
Start Your Free Trial $ 16.00What you get:
- Instant access to fillable Microsoft Word or PDF forms.
- Minimize the risk of using outdated forms and eliminate rejected fillings.
- Largest forms database in the USA with more than 80,000 federal, state and agency forms.
- Download, edit, auto-fill multiple forms at once in MS Word using our Forms Workflow Ribbon
- Trusted by 1,000s of Attorneys and Legal Professionals
Description
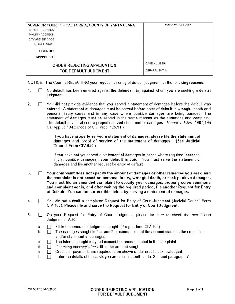
CV-5097 - ORDER REJECTING APPLICATION FOR DEFAULT JUDGMENT. This form is issued by the Superior Court of California, County of Santa Clara, when a request for default judgment does not meet legal or procedural requirements. The form identifies specific deficiencies, such as failure to enter default, improper service of a statement of damages, incomplete Judicial Council forms (e.g., CIV-100 or CIV-105), insufficient evidence, incorrect interest or cost calculations, or noncompliance with California Rules of Court 3.1800. It also addresses special requirements for cases involving debt buyers, retail installment contracts, motor vehicles, subrogation, bad checks, and quiet title actions. www.FormsWorkflow.com





