Last updated: 9/9/2021
Written Explanation Of Determinate Life Sentence {CR-235}
Start Your Free Trial $ 13.99What you get:
- Instant access to fillable Microsoft Word or PDF forms.
- Minimize the risk of using outdated forms and eliminate rejected fillings.
- Largest forms database in the USA with more than 80,000 federal, state and agency forms.
- Download, edit, auto-fill multiple forms at once in MS Word using our Forms Workflow Ribbon
- Trusted by 1,000s of Attorneys and Legal Professionals
Description
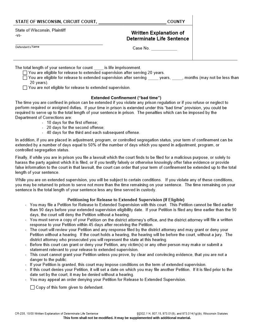
Form Summary Name of Form: Form Number: Statutory Reference: BenchBook Reference Purpose of Form: Who Completes It: Distribution of Form: New Form: Modification: Comments: The statute requires that when a bifurcated sentence is imposed for a felony committed on or after December 31, 1999, the court explain the sentence, orally and in writing, to the defendant. This explanation includes telling the defendant the total length of the sentence, how much time is to be served in prison and how much time will be spent on extended supervision. The committee suggests that if there is more than 1 count that the court orally inform the defendant of the total number of years of incarceration and the total number of years of extended supervision considering both consecutive and concurrent sentences. If there are more than 4 counts use an attached page. The court is also to consider whether the defendant is eligible for the Challenge Incarceration Program (Boot Camp). Under the present statute, there are no criteria for determining eligibility for boot camp. The form also explains how the term of confinement can be extended through the imposition of penalties for violation of DOC rules. About this Form: This form is the product of the Wisconsin Record Management Committee and the Director of State Court's Office and a mandate of the Wisconsin Judicial Conference. If you have additional information that does not change the meaning of the form, attach it as a separate page to this form. The form itself shall not be altered. Provides a written explanation of a determinate life sentence for crimes committed on or after December 31, 1999. Court official. Original to court file, copy to defendant. New form. Written Explanation of Determinate Life Sentence CR-235 §§302.114, 807.15 and 973.01(8), Wisconsin Statutes Date: 10/18/00 2001 © American LegalNet, Inc. For Official Use STATE OF WISCONSIN, CIRCUIT COURT, State of Wisconsin, Plaintiff -vs, Defendant Name COUNTY Written Explanation of Determinate Life Sentence Case No. The total length of your sentence for count is life imprisonment. You are eligible for release to extended supervision after serving 20 years. You are eligible for release to extended supervision after serving years, less than 20 years). You are not eligible for release to extended supervision. , months (may not be Extended Confinement ("bad time") The time you are confined in prison can be extended if you violate any prison regulation or if you refuse or neglect to perform required or assigned duties. If your time in prison is extended under this "bad time" provision, you could be required to serve up to the total length of your sentence in prison. The penalties which can be imposed by the Department of Corrections are: 10 days for the first offense; 20 days for the second offense; 40 days for the third and each subsequent offense. In addition, if you are placed in adjustment, program, or controlled segregation status, your term of confinement can be extended by a number of days equal to 50% of the number of days which you spend in adjustment, program, or controlled segregation status. Finally, if while you are in prison you file a lawsuit which the court finds to be filed for a malicious purpose, or solely to harass the party against which it is filed, or if you testify falsely or otherwise knowingly offer false evidence or provide false information to the court in that lawsuit, the court can order that your term of confinement be extended up to the total length of your sentence. While you are on extended supervision, you will be subject to certain conditions. If you violate any of these conditions, you may be returned to prison to serve not more than the time remaining on your sentence. The time remaining on your sentence is the total length of your sentence less any time served in custody. Petitioning for Release to Extended Supervision (If Eligible) You may file a petition for release to extended supervision with this court. This petition cannot be filed earlier than 90 days before your extended supervision eligibility date. If your petition is filed any time earlier than the 90 days, the court will deny the petition without a hearing. You must serve a copy of your petition on the district attorney's office, and the district attorney will file a written response to your petition within 45 days after receiving the petition. The court will review your petition and any response filed by the district attorney and may grant or deny your petition without a hearing. If the court holds a hearing, the hearing will be before the court, without a jury. The district attorney who prosecuted you will represent the state at this hearing. Before this court can grant or deny your petition, any victim(s) or any other person may make or submit a statement relevant to your release to extended supervision. This court cannot grant your petition unless you prove, by clear and convincing evidence, that you are not a danger to the public. If your petition is granted, this court may impose conditions on the term of extended supervision. If this court denies your petition, it will set a date on which you may file another petition. If it is filed prior to the date set by the court, it may be denied without a hearing. You may appeal an order denying your petition for release to extended supervision. Copy of this form given to defendant. CR-235, 10/00 Written Explanation of Determinate Life Sentence §§302.114, 807.15, 973.01(8), and 973.014(1g)(b), Wisconsin Statutes This form shall not be modified. It may be supplemented with additional material. 2001 © American LegalNet, Inc.





