Last updated: 7/12/2021
Annual Declaration Of Child Custody Evaluator Qualifications {RI-FL007}
Start Your Free Trial $ 13.99What you get:
- Instant access to fillable Microsoft Word or PDF forms.
- Minimize the risk of using outdated forms and eliminate rejected fillings.
- Largest forms database in the USA with more than 80,000 federal, state and agency forms.
- Download, edit, auto-fill multiple forms at once in MS Word using our Forms Workflow Ribbon
- Trusted by 1,000s of Attorneys and Legal Professionals
Description
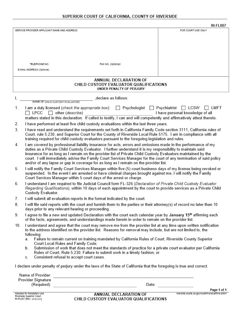
SUPERIOR COURT OF CALIFORNIA, COUNTY OF RIVERSIDE CHILD CUSTODY EVALUATOR (Name and Address) FOR COURT USE ONLY Telephone No.: E-mail Address: Address: City and Zip Code: Branch: Fax No.: SUPERIOR COURT OF CALIFORNIA, COUNTY OF RIVERSIDE ANNUAL DECLARATION OF CHILD CUSTODY EVALUATOR QUALIFICATIONS UNDER PENALTY OF PERJURY , (Name of Child Custody Evaluator) declare as follows: 1. I am a duly licensed (check the appropriate box) social worker psychiatrist therapist other (describe) __________________________________________. I have personal knowledge of all matters stated in this declaration. If called to testify, I can and will competently and affirmatively attest thereto. 2. I have performed at least five child custody evaluations within the last three years. 3. I have read and understand the requirements set forth in California Family Code section 3111, California rules of Court, rule 5.230, and Su perior Court for the Co unty of Rive rside ("the cou rt") Local Rule s, rule 5175. I am in compliance with all training required for child custody evaluators pursuant to the foregoing legislation and rules. 4. I am covered by profe ssional liability in surance for acts, errors and omissions made in the performance of my services as a Private Child Custody Ev aluator. I further understand it is my responsibility to main tain said insurance for as long as I remain on the referral list of Private Child Custody Evaluators ("referral list") maintained by the court. I will immediately advise the Mediation Services Manager ("MSM") for the court of any termination of said policy and/or of any lapse or gap in coverage for as long as I remain on the referral list. 5. I will notify the MSM within five (5) court business days of my license being revoked or suspended. In the event I am arrested or have criminal charges brought against me, I will notify the Mediation Services Manager within 5 court days of the arrest or charge. 6. I understand I am required to file Judicial Council form FL-326 (Declaration of Child Custody Evaluator Regarding Qualifications), within 10 days of each appointment by the court to provide services as a Private Child Custody Evaluator. 7. I will submit all evaluation reports in the format indicated by the court. 8. I will file said reports with the court and furnish them to the parties or their attorney(s) of record no later than 10 days prior to any relevant hearing or proceeding. 9. I agree to file a new and updated Declaration with the court each calendar year by January 15th affirming each of the facts, agreements, and understandings made herein in order to remain on the referral list. 10. I understand and agree that the court may remove me from the referral list at any time upon written notification to the address identified on the referral list. Reasons for removal may include, but are not limited to, the following: (a) Failure to remain current on training mandated by California Rules of Court, Riverside County Superior Court Local Rules and Family Code; (b) Submission of work that that does not meet the sta ndards of practice for a p rivate court evaluator per California Rules of Court, Rule 5.230; Failure to submit work in a timely fashion; or (c) Consistent refusal to accept court cases. I declare under penalty of perjury under the laws of the State of California that the foregoing is true and correct: Name of Evaluator: Signature of Evaluator: Page 1 of 1 $GRSWHG IRU 0DQGDWRU\ 8VH 5LYHUVLGH 6XSHULRU &RXUW 5,)/ >5HY @ ANNUAL DECLARATION OF CHILD CUSTODY EVALUATOR QUALIFICATIONS )DPLO\ &RGH &DO 5XOHV RI &RXUW UXOH /RFDO 5XOH ULYHUVLGHFRXUWVFDJRYORFDOIUPVORFDOIUPVVKWPO American LegalNet, Inc. www.FormsWorkFlow.com
Related forms
-
Notice Of Hearing Re Petition To Determine Parental Right Of Alleged Natural Father
California/Local County/Riverside/Family/ -
Spousal-Partner Support Declaration
California/Local County/Riverside/Family/ -
Attachment Page
California/Local County/Riverside/Family/ -
Request-Stipulation And Order For Continuance Of Hearing
California/Local County/Riverside/Family/ -
Supervised Visitation Provider Annual Declaration
California/Local County/Riverside/Family/ -
Stepparent Adoption By Parent In Our Outside Of California
California/Local County/Riverside/Family/ -
Minor Marriage Child Custody Counseling Questionnaire
California/2 Local County/Riverside/Family/ -
Court Report Of Adoption
California/Local County/Riverside/Family/ -
Child Custody Recommending Counseling Questionnaire
California/Local County/Riverside/Family/ -
Annual Declaration Of Child Custody Evaluator Qualifications
California/Local County/Riverside/Family/ -
Provider Information Sheet
California/Local County/Riverside/Family/ -
Service Provider Annual Declaration Under Penalty Of Perjury
California/2 Local County/Riverside/Family/ -
Notice Of Petition To Terminate Parental Rights Of Alleged Or Unknown Father
California/Local County/Riverside/Family/ -
Continuing Order Of Garnishment
California/Local County/Riverside/Family/ -
Request To Set Uncontested Matter
California/Local County/Riverside/Family/ -
Declaration And Order For Issuance Of Abstract Writ
California/Local County/Riverside/Family/ -
Stipulation Re Hearing Resolution
California/Local County/Riverside/Family/ -
Confidential Contact Information
California/Local County/Riverside/Family/ -
Declaration Of Residence
California/Local County/Riverside/Family/ -
Gestational Surrogacy Parentage Judgment Checklist
California/Local County/Riverside/Family/ -
Consent Of Parent For Minor To Marry
California/2 Local County/Riverside/Family/ -
Stipulation And Order Re Request For Ruling Without Hearing
California/2 Local County/Riverside/Family/ -
Request To Withdraw Request For Order
California/2 Local County/Riverside/Family/ -
Ex Parte Request And Order To Set Aside Default
California/Local County/Riverside/Family/ -
Child Custody Evaluator Report
California/Local County/Riverside/Family/ -
Request For Settlement Conference And Trial
California/Local County/Riverside/Family/ -
Stipulation And Advisement To Continue Mandatory Settlement Conference (MSC) Order
California/Local County/Riverside/Family/ -
Settlement Conference Statement-Trial Brief
California/Local County/Riverside/Family/ -
Family Court Services Client Complaint-Request For Change
California/Local County/Riverside/Family/ -
Request To Dismiss Domestic Violence Restraining Order
California/Local County/Riverside/Family/ -
Certificate Of No Appeal
California/Local County/Riverside/Family/ -
Joint Statement Of Disputed And Undisputed Facts (Spousal Support)
California/Local County/Riverside/Family/ -
Stipulation And Order On Request For Order
California/Local County/Riverside/Family/ -
Stipulation And Order On Request For Order
California/Local County/Riverside/Family/ -
Certificate Of Assignment (Surrogacy)
California/Local County/Riverside/Family/ -
Declaration Regarding Notice Of Order Shortening Time Request
California/Local County/Riverside/Family/ -
Request To Change Child Custody Recommending Counselor
California/Local County/Riverside/Family/ -
Request To Appear By Telephone For CCRC
California/Local County/Riverside/Family/ -
Order Appointing Expert For Financial Matters
California/Local County/Riverside/Family/ -
Declaration Re Supplemental Information
California/2 Local County/Riverside/Family/ -
Notice Re Extension Of Time To File A Response
California/2 Local County/Riverside/Family/ -
Request To Restore Family Law Matter To Active Status
California/2 Local County/Riverside/Family/ -
Citation (Adoption)
California/Local County/Riverside/Family/ -
Request To Set Adoption Hearing
California/Local County/Riverside/Family/ -
Citation Freedom From Parental Custody And Control
California/Local County/Riverside/Family/ -
Petition-Freedom From Parental Custody And Control
California/Local County/Riverside/Family/ -
Application To Obtain Adoption Information And Order
California/Local County/Riverside/Family/ -
Trial Rules And Procedures
California/Local County/Riverside/Family/ -
Petition For Grandparent Visitation
California/Local County/Riverside/Family/ -
Response To Petition For Grandparent Visitation
California/Local County/Riverside/Family/ -
Transmission Cover Sheet For Registration Of Tribal Court Protective Order
California/Local County/Riverside/Family/ -
Declaration Of Paternity
California/Local County/Riverside/Family/ -
Stipulation To Continue Child Custody Recommending Counseling Appointment
California/Local County/Riverside/Family/ -
Declaration Regarding Notice Of Ex Parte Application (Family Law)
California/Local County/Riverside/Family/ -
Agreement Of Adoption Of Adult
California/Local County/Riverside/Family/ -
Order For Freedom From Parental Custody And Control
California/Local County/Riverside/Family/ -
Petition For Adoption (Adult)
California/Local County/Riverside/Family/ -
Application To Dispense With Notice Of Alleged Father
California/Local County/Riverside/Family/ -
Petition To Terminate The Rights Of Alleged Or Unknown Father
California/Local County/Riverside/Family/ -
Notice Of Hearing To Determine Parental Rights
California/Local County/Riverside/Family/ -
Declaration And Order Dispensing With Notice To Alleged Natural Father
California/Local County/Riverside/Family/ -
Findings And Order Of The Court
California/Local County/Riverside/Family/ -
Consent Of Spouse Of Adopting Adult
California/Local County/Riverside/Family/ -
Consent Of Spouse Of Adult To Be Adopted
California/Local County/Riverside/Family/ -
Decree Of Adoption (Adult)
California/Local County/Riverside/Family/ -
Notice Of Alleged Paternity
California/Local County/Riverside/Family/
Form Preview
Contact Us
Success: Your message was sent.
Thank you!




