Last updated: 7/13/2021
Order Appointing Examiners {ME-939}
Start Your Free Trial $ 13.99What you get:
- Instant access to fillable Microsoft Word or PDF forms.
- Minimize the risk of using outdated forms and eliminate rejected fillings.
- Largest forms database in the USA with more than 80,000 federal, state and agency forms.
- Download, edit, auto-fill multiple forms at once in MS Word using our Forms Workflow Ribbon
- Trusted by 1,000s of Attorneys and Legal Professionals
Description
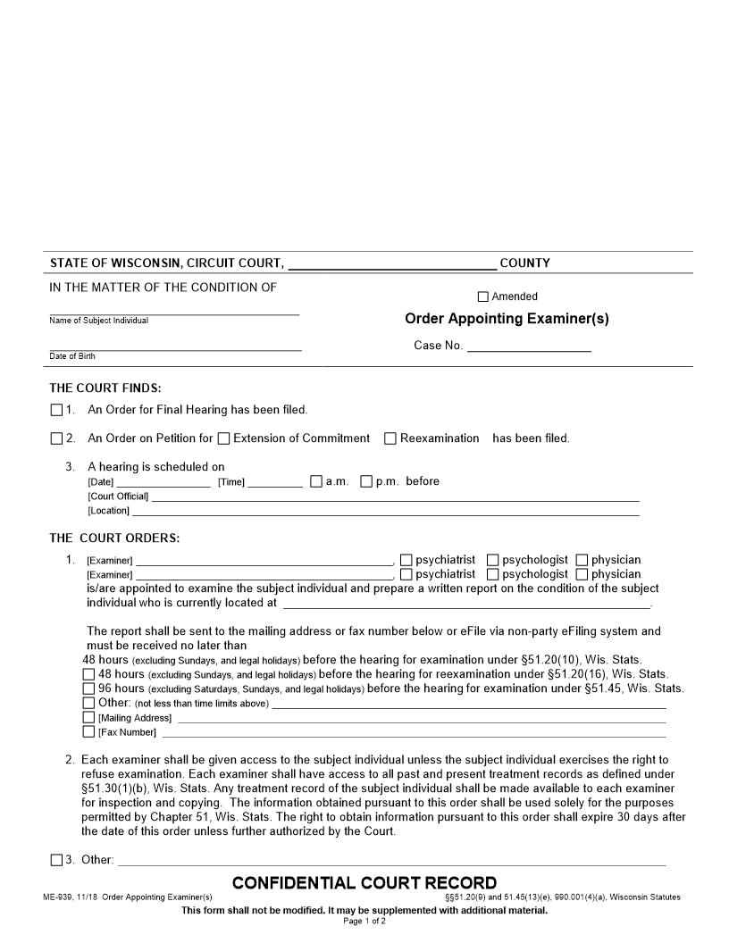
CONFIDENTIAL COURT RECORD ME-939, 11/18 Order Appointing Examiner(s) 24724751.20(9) and 51.45(13)(e), 990.001(4)(a), Wisconsin Statutes This form shall not be modified. It may be supplemented with additional material. Page 1 of 2 THE COURT FINDS: 1. An Order for Final Hearing has been filed. 2. An Order on P etition for Extension of Commitment Reexamination has been filed. 3. A hearing is scheduled on [Date] [Time] a.m. p.m. before [Court Official] . [Location] THE COURT ORDERS: 1. [Examiner] , psychiatrist psychologist physician [Examiner] , psychiatrist psychologist physician is/are appointed to examine the subject individual and prepare a written report on the condition of the subject individual who is currently located at . The report shall be sent to the mailing address or fax number below or eFile via non-party eFiling system and must be received no later than 48 hours (excluding Sundays, and legal holidays) before the hearing for examination under 24751.20(10), Wis. Stats. 48 hours (excluding Sundays, and legal holidays) before the hearing for reexamination under 24751.20(16), Wis. Stats. 96 hours (excluding Saturdays, Sundays, and legal holidays) before the hearing for examination under 24751.45, Wis. Stats. Other: (not less than time limits above) [Mailing Address] [Fax Number] 2. Each examiner shall be given access to the subject individual unless the subject individual exercises the right to refuse examination. Each examiner shall have access to all past and present treatment records as defined under 24751.30(1)(b), Wis. Stats. Any treatment record of the subject individual shall be made available to each examiner for inspection and copying. The information obtained pursuant to this order shall be used solely for the purposes permitted by Chapter 51, Wis. Stats. The right to obtain information pursuant to this order shall expire 30 days after the date of this order unless further authorized by the Court. 3. Other: STATE OF WISCONSIN, CIRCUIT COURT, COUNTY IN THE MATTER OF THE CONDITION OF Name of Subject Individual Date of Birth Amended Order Appointing Examiner(s) Case No. American LegalNet, Inc. www.FormsWorkFlow.com CONFIDENTIAL COURT RECORD ME-939, 11/18 Order Appointing Examiner(s) 24724751.20(9) and 51.45(13)(e), 990.001(4)(a), Wisconsin Statutes This form shall not be modified. It may be supplemented with additional material. Page 2 of 2 DISTRIBUTION: 1. Court 2. Subject Individual 3. 4. Examiner(s) 5. Court Services Officer 6. Corporation Counsel 7. Facility Admissions 8. 9. Othe r interested persons: American LegalNet, Inc. www.FormsWorkFlow.com





