Last updated: 9/15/2020
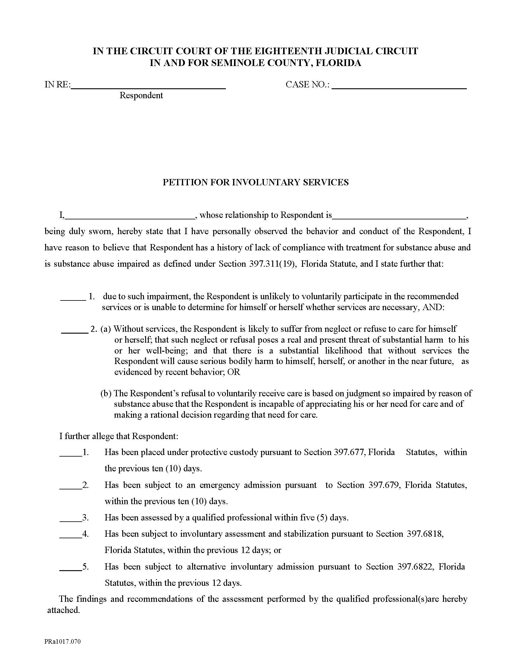
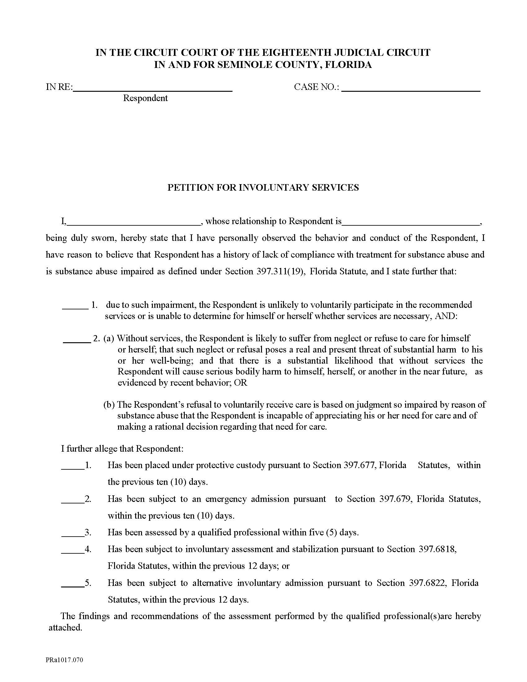
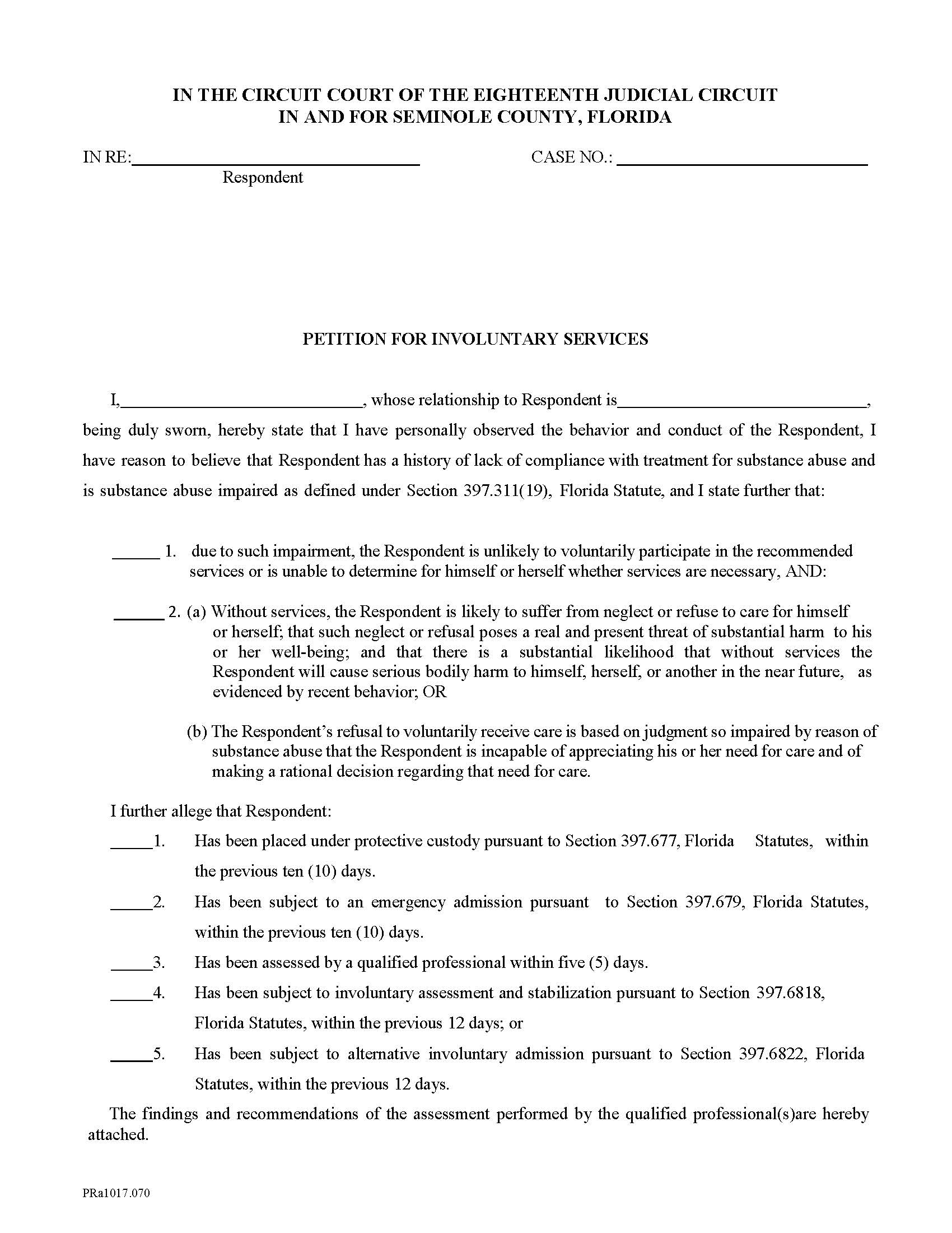
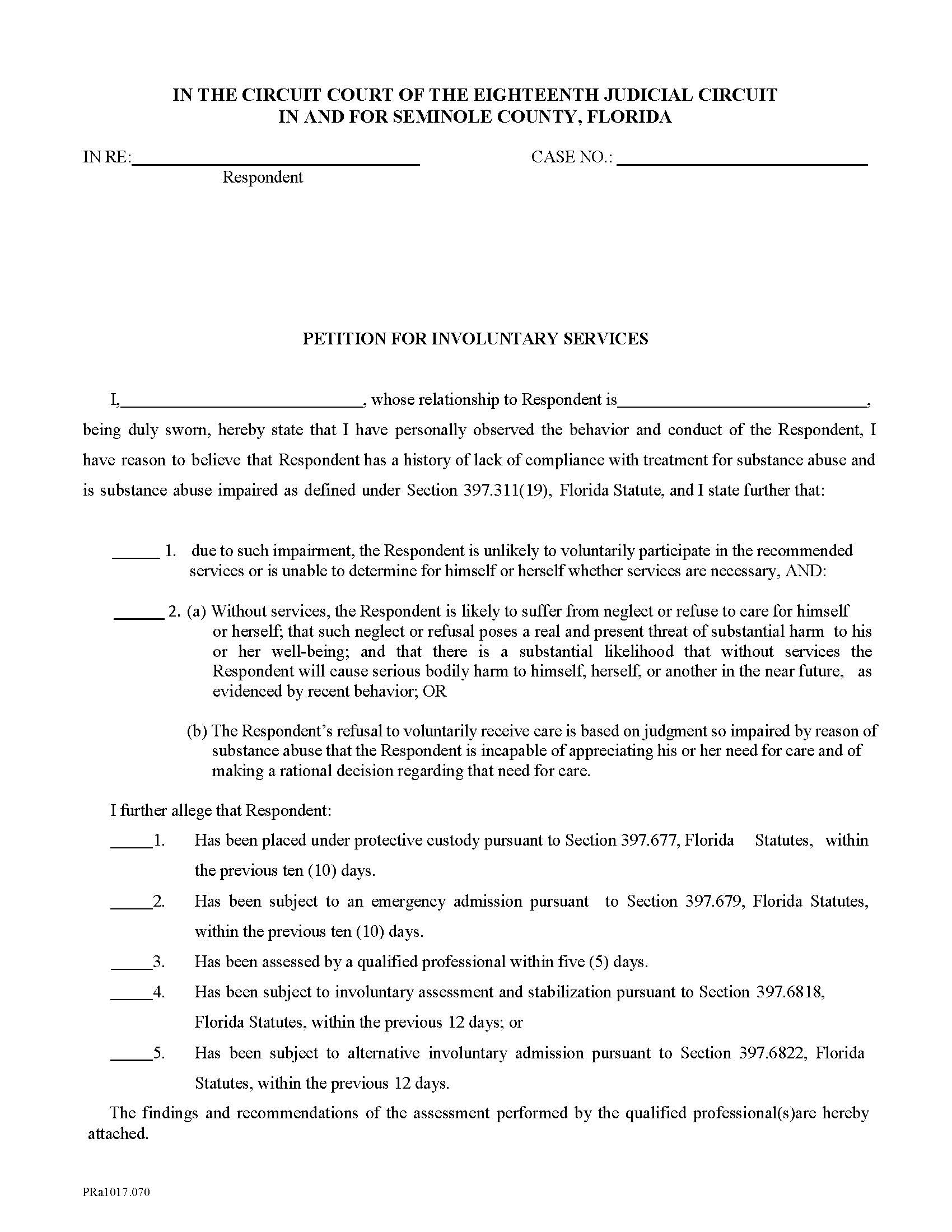
Petition For Involuntary Services
Start Your Free Trial $ 14.00What you get:
- Instant access to fillable Microsoft Word or PDF forms.
- Minimize the risk of using outdated forms and eliminate rejected fillings.
- Largest forms database in the USA with more than 80,000 federal, state and agency forms.
- Download, edit, auto-fill multiple forms at once in MS Word using our Forms Workflow Ribbon
- Trusted by 1,000s of Attorneys and Legal Professionals
Description
PETITION FOR INVOLUNTARY SERVICES. This form is filed in the Eighteenth Judicial Circuit Court of Seminole County, Florida, under Chapter 397, Florida Statutes (The Marchman Act). It is used to request a court order requiring an individual with a substance abuse impairment to receive treatment when they are unwilling or unable to do so voluntarily. The petitioner, often a family member or other concerned person, must attest under oath that the respondent’s behavior poses a substantial risk of harm due to neglect, impaired judgment, or refusal of care. The form references applicable Florida statutes, including Sections 397.311(19), 397.677, 397.6818, and 397.6822, and requires documentation of recent assessments or prior involuntary admissions. www.FormsWorkflow.com
Related forms
-
Claim Of Lien
Florida/Local County/Seminole/General/ -
Satisfaction Of Lien Claim
Florida/Local County/Seminole/General/ -
Satisfaction Of Mortgage
Florida/Local County/Seminole/General/ -
Warranty Deed
Florida/Local County/Seminole/General/ -
Patient Information (Probate Division)
Florida/2 Local County/Seminole/General/ -
Petition For Involuntary Services
Florida/2 Local County/Seminole/General/ -
Request For Redaction Of Exempt Personal Information From Public Records
Florida/2 Local County/Seminole/General/ -
Value Of Real Property Or Mortgage Foreclosure Claim
Florida/2 Local County/Seminole/General/ -
Final Disposition Form
Florida/2 Local County/Seminole/General/ -
Standby Guardian Advocate Joinder In Petition
Florida/2 Local County/Seminole/General/ -
Order Appointing Standby Guardian Advocate Of The Person
Florida/2 Local County/Seminole/General/ -
Petition And Affidavit For Involuntary Assessment And Stabilization
Florida/2 Local County/Seminole/General/ -
Petition For Involuntary Services
Florida/2 Local County/Seminole/General/ -
Petition And Affidavit Seeking Ex Parte Order Requiring Involuntary Examination
Florida/2 Local County/Seminole/General/ -
Quit Claim Deed
Florida/Local County/Seminole/General/ -
Power Of Attorney
Florida/Local County/Seminole/General/ -
Case Management Order (County Court)
Florida/2 Local County/Seminole/General/ -
Case Management Order (County Court Cases Filed 4-30-21 To 5-5-21)
Florida/2 Local County/Seminole/General/ -
Notice Of Termination Of Notice Of Commencement
Florida/Local County/Seminole/General/ -
Request (By Protected Party) To Release Redacted Information On Recorded Documents
Florida/Local County/Seminole/General/ -
Case Managment Plan And Order (General)
Florida/2 Local County/Seminole/General/ -
Application For Appointment As Guardian Advocate
Florida/2 Local County/Seminole/General/ -
Notice Of Petition For Appointment Of Guardian Advocate
Florida/2 Local County/Seminole/General/ -
Petition For Appointment As Guardian Advocate Of The Person
Florida/2 Local County/Seminole/General/ -
Order Appointing Attorney And Elisor For Person With Developmental Disability
Florida/2 Local County/Seminole/General/ -
Oath Of Guardian Advocate Designation Of Resident Agent Acceptance
Florida/2 Local County/Seminole/General/ -
Notice Of Confidential Information Within Court Filing
Florida/2 Local County/Seminole/General/ -
Application For Determination Of Civil Indigent Status
Florida/2 Local County/Seminole/General/ -
Order Appointing Guardian Advocate Of The Person
Florida/2 Local County/Seminole/General/ -
Letters Of Guardian Advocacy Of The Person
Florida/2 Local County/Seminole/General/ -
Initial Guardian Advocacy Plan Of The Person
Florida/2 Local County/Seminole/General/ -
Order Approving Initial Guardian Advocacy Plan Of The Person
Florida/2 Local County/Seminole/General/ -
Annual Guardian Advocacy Plan With Physicians Report
Florida/2 Local County/Seminole/General/ -
Order Approving Annual Guardian Advocacy Plan
Florida/2 Local County/Seminole/General/ -
Notice Of Designation Of E-Mail And Cellular Phone For E Service
Florida/Local County/Seminole/General/ -
Summary Administration Checklist
Florida/2 Local County/Seminole/General/ -
Complaint Commercial For Tenant Eviction
Florida/Local County/Seminole/General/ -
Eviction Summons Non Residential Commercial
Florida/Local County/Seminole/General/ -
Civil Cover Sheet
Florida/2 Local County/Seminole/General/ -
Claim To Receive Surplus Proceeds Of Tax Deed Sale
Florida/2 Local County/Seminole/General/ -
Declaration Of Domicile
Florida/Local County/Seminole/General/ -
Form Letter To Clerk Of Court
Florida/2 Local County/Seminole/General/ -
Notice Of Commencement
Florida/Local County/Seminole/General/ -
Notice Of Contest Of Lien
Florida/Local County/Seminole/General/ -
Petition For Involuntary Treatment
Florida/2 Local County/Seminole/General/
Form Preview
Contact Us
Success: Your message was sent.
Thank you!




