Last updated: 9/2/2020
Motion To Enter Guilty Plea Pursuant To North Carolina Vs Alford {491.2}
Start Your Free Trial $ 13.99What you get:
- Instant access to fillable Microsoft Word or PDF forms.
- Minimize the risk of using outdated forms and eliminate rejected fillings.
- Largest forms database in the USA with more than 80,000 federal, state and agency forms.
- Download, edit, auto-fill multiple forms at once in MS Word using our Forms Workflow Ribbon
- Trusted by 1,000s of Attorneys and Legal Professionals
Description
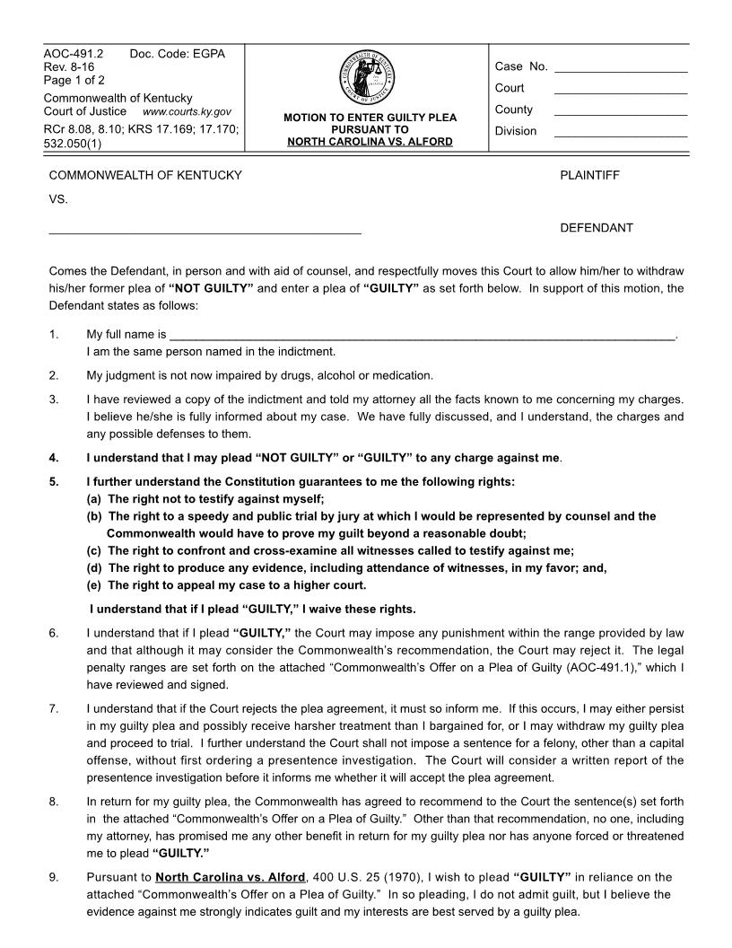
AOC-491.2 Rev. 7-12 Page 1 of 2 COM M Doc. Code: EGPA O NW E A LT H O F K E lex et justitia NT Case No. ____________________ Court _______________________ County ______________________ PLAINTIFF U C KY RT Commonwealth of Kentucky Court of Justice www.courts.ky.gov Rcr 8.08, 8.10; KRS 532.050(1) OF JUS TI MOTION TO ENTER GUILTY PLEA PURSUANT TO NORTH CAROLINA VS. ALFORD COMMONWEALTH OF KENTUCKY VS. _______________________________________________ C Comes the Defendant, in person and with aid of counsel, and respectfully moves this Court to allow him/her to withdraw his/her former plea of "NOT GUILTY" and enter a plea of "GUILTY" as set forth below. In support of this motion, the Defendant states as follows: 1. 2. 3. My full name is ____________________________________________________________________________. I am the same person named in the indictment. My judgment is not now impaired by drugs, alcohol or medication. I have reviewed a copy of the indictment and told my attorney all the facts known to me concerning my charges. I believe he/she is fully informed about my case. We have fully discussed, and I understand, the charges and any possible defenses to them. I understand that I may plead "NOT GUILTY" or "GUILTY" to any charge against me. I further understand the Constitution guarantees to me the following rights: (a) The right not to testify against myself; (b) The right to a speedy and public trial by jury at which I would be represented by counsel and the Commonwealth would have to prove my guilt beyond a reasonable doubt; (c) The right to confront and cross-examine all witnesses called to testify against me; (d) The right to produce any evidence, including attendance of witnesses, in my favor; and, (e) The right to appeal my case to a higher court. I understand that if I plead "GUILTY," I waive these rights. 6. I understand that if I plead "GUILTY," the Court may impose any punishment within the range provided by law and that although it may consider the Commonwealth's recommendation, the Court may reject it. The legal penalty ranges are set forth on the attached "Commonwealth's Offer on a Plea of Guilty (AOC-491.1)," which I have reviewed and signed. I understand that if the Court rejects the plea agreement, it must so inform me. If this occurs, I may either persist in my guilty plea and possibly receive harsher treatment than I bargained for, or I may withdraw my guilty plea and proceed to trial. I further understand the Court shall not impose a sentence for a felony, other than a capital offense, without first ordering a presentence investigation. The Court will consider a written report of the presentence investigation before it informs me whether it will accept the plea agreement. CO U E DEFENDANT 4. 5. 7. American LegalNet, Inc. www.FormsWorkFlow.com AOC-491.2 Rev. 7-12 Page 2 of 2 8. 9. 10. 11. 12. In return for my guilty plea, the Commonwealth has agreed to recommend to the Court the sentence(s) set forth in the attached "Commonwealth's Offer on a Plea of Guilty." Other than that recommendation, no one, including myattorney,haspromisedmeanyotherbenefitinreturnformyguiltypleanorhasanyoneforcedorthreatened me to plead "GUILTY." Pursuant to North Carolina vs. Alford, 400 U.S. 25 (1970), I wish to plead "GUILTY" in reliance on the attached "Commonwealth's Offer on a Plea of Guilty." In so pleading, I do not admit guilt, but I believe the evidence against me strongly indicates guilt and my interests are best served by a guilty plea. I understand that if I am convicted of a methamphetamine related offense or offense related to anhydrous ammonia found in KRS Chapter 218A, 250 or 514, it shall be unlawful for me to possess ephedrine, pseudoephedrine, phenylpropanolamine,theirsaltsoropticalisomers,orsaltsofopticalisomersuntilfiveyearsfollowingmy conviction, discharge from incarceration or release from probation, shock probation, parole, or other form of conditional discharge, whichever is later. KRS 218A.1446. I declare my plea of "GUILTY" is freely, knowingly, intelligently and voluntarily made; that I have been represented by counsel; that my attorney has fully explained my constitutional rights to me, as well as the charges against me and any defenses to them; and that I understand the nature of this proceeding and all matters contained in this document. I understand that, because of my conviction here today, I may be subject to greater/enhanced penalties if found guilty and/or convicted of any future criminal offenses. I understand that, if I am not a United States citizen, I may be subject to deportation pursuant to the laws and regulations governing the United States Immigration and Naturalization Service. I understand the complete terms of this plea and all the obligations imposed upon me by its terms. Signed in open court in the presence of my attorney this ________ day of _____________________, 2_____. _____________________________________ Defendant's Signature CERTIFICATE OF COUNSEL 1. To the best of my knowledge and belief, the defendant understands the allegations contained in the indictment and/or any amendments thereto. I have fully discussed with the defendant the charges any any possible defenses to them and I believe he/she fully understands the charges and possible defenses. I have reviewed with the defendant the attached "Commonwealth's Offer on a Plea of Guilty" and the forgoing "Motion to Enter a Plea of Guilty," and I believe he/she understands these documents. To the best of my knowledge and belief, his/her plea of "GUILTY" is made freely, knowingly intelligently and voluntarily. I have fully explained the defendant's constitutional rights to him/her and I believe that he/she understands them. The plea of "GUILTY" as offered by the defendant is consistent with my advice to him/her, and I recommend to the Court that his/her plea be accepted. 2. 3. Signed by me in open court in the presence of the defendant this _______ day of _________________, 2_____. _______________________________________ Attorney for Defendant American LegalNet, Inc. www.FormsWorkFlow.com





