Last updated: 7/14/2020
30 Day Notice With Proof Of Service
Start Your Free Trial $ 14.00What you get:
- Instant access to fillable Microsoft Word or PDF forms.
- Minimize the risk of using outdated forms and eliminate rejected fillings.
- Largest forms database in the USA with more than 80,000 federal, state and agency forms.
- Download, edit, auto-fill multiple forms at once in MS Word using our Forms Workflow Ribbon
- Trusted by 1,000s of Attorneys and Legal Professionals
Description
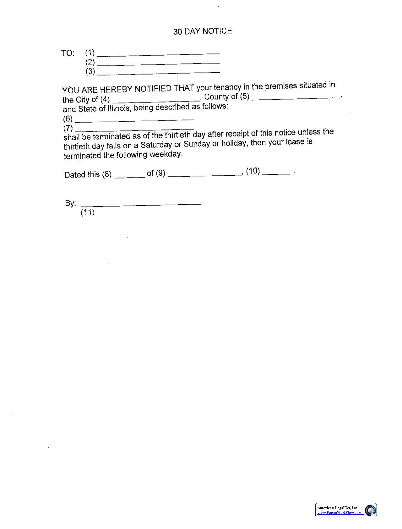
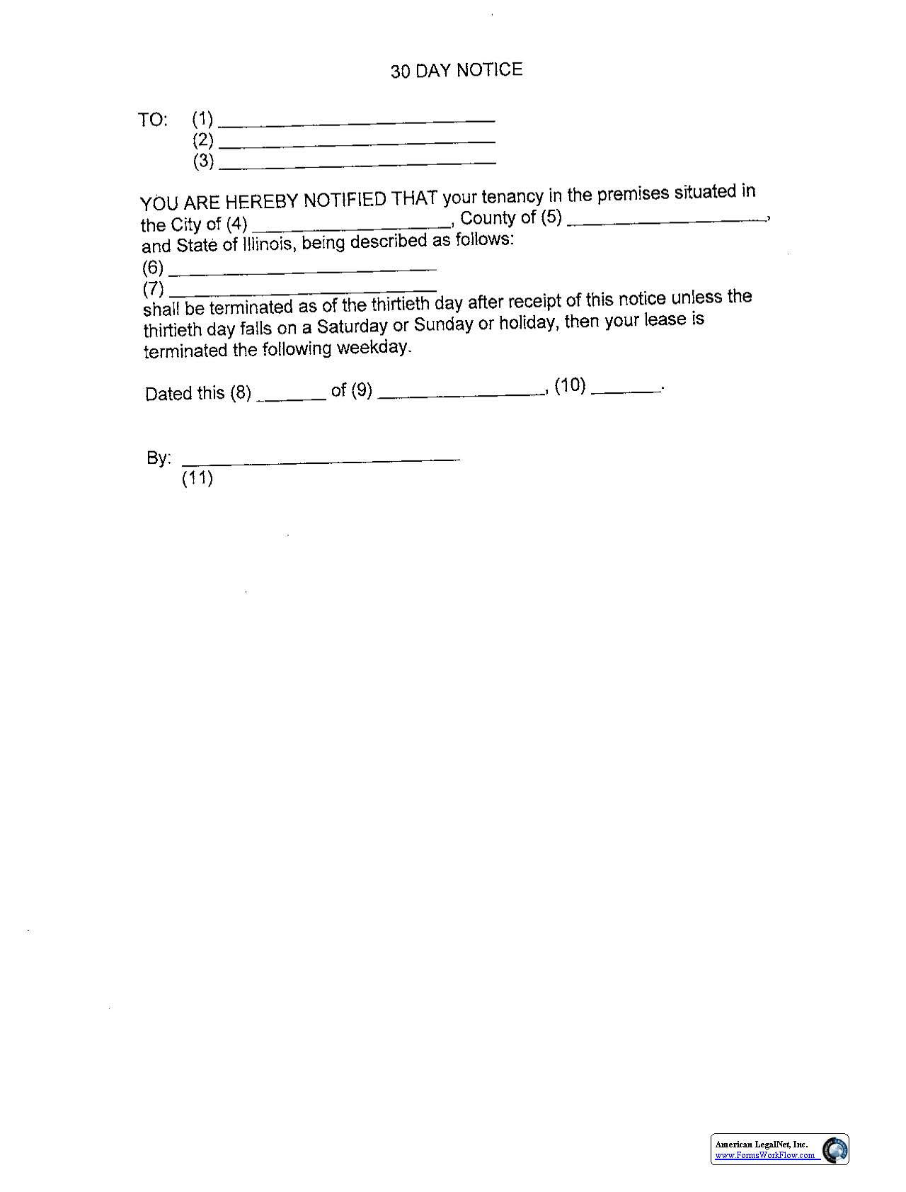
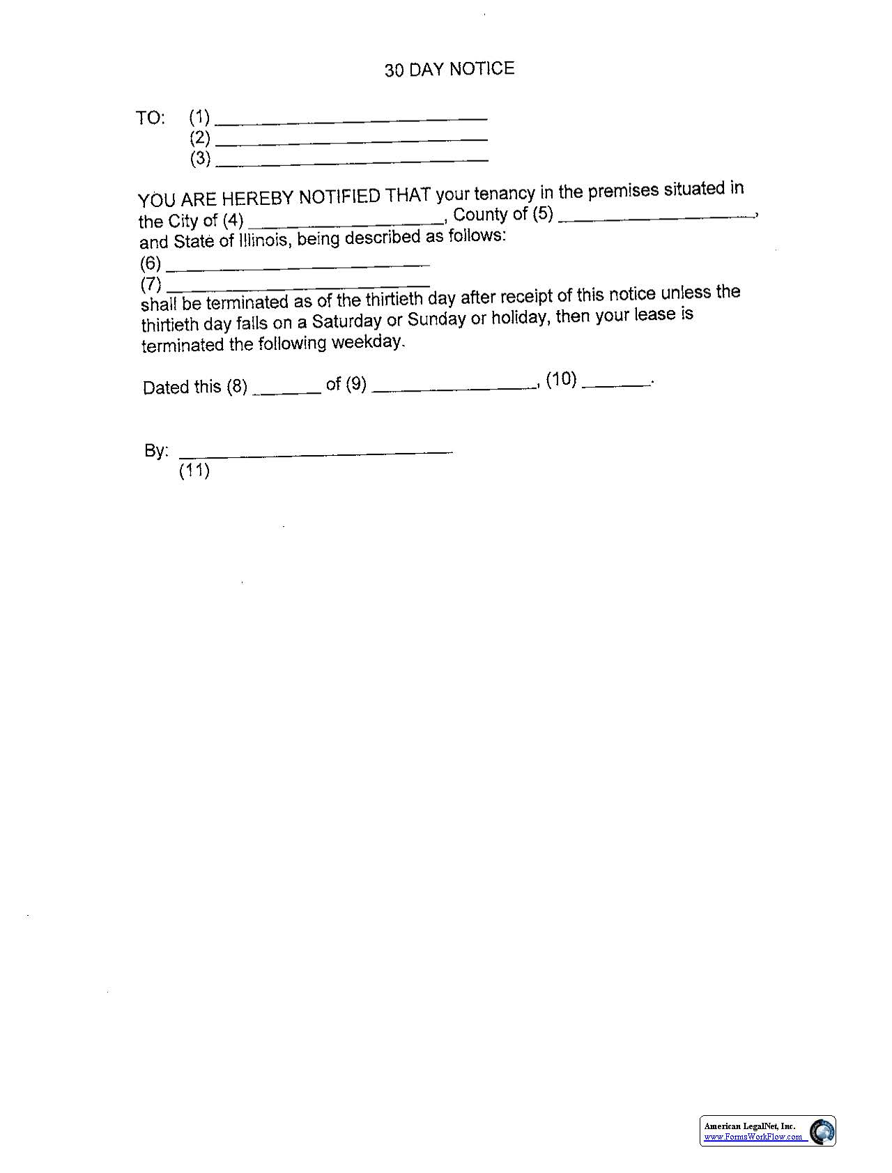
30 DAY NOTICE. This form is used in Illinois to notify a tenant that their tenancy in a rental property will be terminated within 30 days of receiving the notice. It specifies the address and description of the premises, the termination date, and informs the tenant that if the 30th day falls on a weekend or holiday, the lease will end on the following business day. This form is commonly used by landlords when they intend to end a month-to-month tenancy or otherwise lawfully terminate a rental agreement. It also includes a Proof of Service section, which must be completed to confirm how the notice was delivered—whether by hand delivery to the tenant, delivery to someone over 13 at the premises, certified mail with return receipt, or posting on the main door if no one is present. www.FormsWorkflow.com
Related forms
-
Affidavit As To Military Service
Illinois/Local County/Christian/General/ -
Affidavit For Service By Publication
Illinois/Local County/Christian/General/ -
Affidavit Of Service Of Summons Outside Illinois
Illinois/Local County/Christian/General/ -
Attachment for Contempt
Illinois/Local County/Christian/General/ -
Certificate Of Mailing Notice By Publication
Illinois/Local County/Christian/General/ -
Complaint In Forcible Entry And Detainer
Illinois/Local County/Christian/General/ -
Complaint In Replevin
Illinois/Local County/Christian/General/ -
Entry Of Appearance
Illinois/Local County/Christian/General/ -
Lis Pendens Certificate And Notice
Illinois/Local County/Christian/General/ -
Memorandum Of Judgment
Illinois/Local County/Christian/General/ -
Motion
Illinois/Local County/Christian/General/ -
Notice By Publication
Illinois/Local County/Christian/General/ -
Notice Of Entry Of Default Order Or Dismissal
Illinois/Local County/Christian/General/ -
Notice Of Hearing On Issuance Of Writ Of Replevin
Illinois/Local County/Christian/General/ -
Order Issuance Of Writ Of Habeas Corpus Ad Testificandum
Illinois/Local County/Christian/General/ -
Order To Show Cause Indirect Civil Contempt
Illinois/Local County/Christian/General/ -
Petition To Allow And Fix Attorneys Fees
Illinois/Local County/Christian/General/ -
Recognizance Of Defendant For Appearance
Illinois/Local County/Christian/General/ -
Record Sheet
Illinois/Local County/Christian/General/ -
Request For Summons
Illinois/Local County/Christian/General/ -
Scheduling Order
Illinois/Local County/Christian/General/ -
Subpoena For Deposition
Illinois/Local County/Christian/General/ -
Subpoena
Illinois/Local County/Christian/General/ -
Summons Circuit Court
Illinois/Local County/Christian/General/ -
Waiver Of Jury
Illinois/Local County/Christian/General/ -
Warrant Of Arrest
Illinois/Local County/Christian/General/ -
Writ Of Restitution And Execution
Illinois/Local County/Christian/General/ -
Appearance
Illinois/Local County/Christian/General/ -
Entry - Waiver And Consent
Illinois/Local County/Christian/General/ -
Motion To Terminate Order Of Protection
Illinois/Local County/Christian/General/ -
Subpoena Duces Tecum
Illinois/Local County/Christian/General/ -
Court Order (Blank)
Illinois/Local County/Christian/General/ -
Satisfaction Of Judgment
Illinois/2 Local County/Christian/General/ -
5 Day Notice With Proof Of Service
Illinois/2 Local County/Christian/General/ -
30 Day Notice With Proof Of Service
Illinois/2 Local County/Christian/General/ -
10 Day Notice With Proof Of Service
Illinois/2 Local County/Christian/General/ -
Mediation Report
Illinois/2 Local County/Christian/General/ -
Mediation Report (Civil)
Illinois/2 Local County/Christian/General/ -
Mediation Order
Illinois/2 Local County/Christian/General/ -
Citation Notice
Illinois/2 Local County/Christian/General/ -
Citation To Discover Assets With Income And Assets Form
Illinois/2 Local County/Christian/General/ -
Petition For Rule To Show Cause (Indirect Civil Contempt)
Illinois/2 Local County/Christian/General/ -
Notice Of Hearing
Illinois/2 Local County/Christian/General/ -
Stalking No Contact Order
Illinois/Local County/Christian/General/ -
Petition For Stalking No Contact Order
Illinois/Local County/Christian/General/ -
Affidavit For Purpose Of Illinois Plat Act Requirements
Illinois/Local County/Christian/General/ -
Subpoena
Illinois/Local County/Christian/General/ -
Order For Rule To Show Cause (Indirect Civil Contempt)
Illinois/2 Local County/Christian/General/
Form Preview
Contact Us
Success: Your message was sent.
Thank you!




