Last updated: 11/18/2019
Declaration Regarding Compliance With UST Guidelines (Los Angeles Division Cases) {USTLA-3}
Start Your Free Trial $ 21.99What you get:
- Instant access to fillable Microsoft Word or PDF forms.
- Minimize the risk of using outdated forms and eliminate rejected fillings.
- Largest forms database in the USA with more than 80,000 federal, state and agency forms.
- Download, edit, auto-fill multiple forms at once in MS Word using our Forms Workflow Ribbon
- Trusted by 1,000s of Attorneys and Legal Professionals
Description
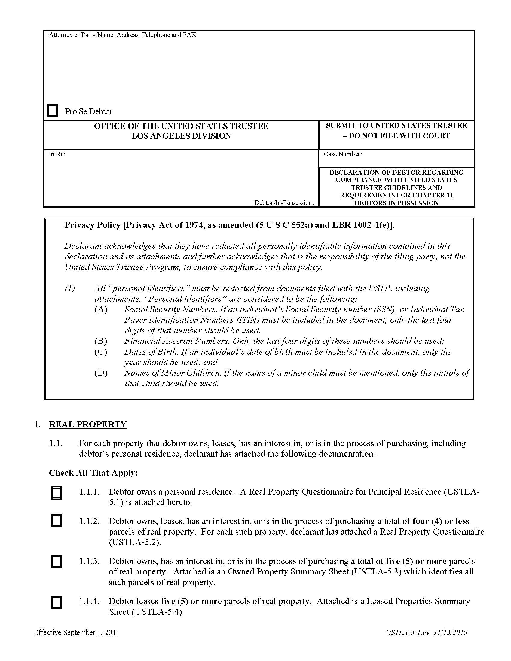
USTLA-3, DECLARATION OF DEBTOR REGARDING COMPLIANCE WITH UNITED STATES TRUSTEE GUIDELINES AND REQUIREMENTS FOR CHAPTER 11 DEBTORS IN POSSESSION, Declarant acknowledges that they have redacted all personally identifiable information contained in this declaration and its attachments and further acknowledges that is the responsibility of the filing party, not the United States Trustee Program, to ensure compliance with this policy. (1) All “personal identifiers” must be redacted from documents filed with the USTP, including attachments. “Personal identifiers” are considered to be the following: (A) Social Security Numbers. If an individual’s Social Security number (SSN), or Individual Tax Payer Identification Numbers (ITIN) must be included in the document, only the last four digits of that number should be used. (B) Financial Account Numbers. Only the last four digits of these numbers should be used; (C) Dates of Birth. If an individual’s date of birth must be included in the document, only the year should be used; and (D) Names of Minor Children. If the name of a minor child must be mentioned, only the initials of that child should be used. www.FormsWorkflow.com





