Last updated: 6/14/2018
Attorney Exemption Certification
Start Your Free Trial $ 13.99What you get:
- Instant access to fillable Microsoft Word or PDF forms.
- Minimize the risk of using outdated forms and eliminate rejected fillings.
- Largest forms database in the USA with more than 80,000 federal, state and agency forms.
- Download, edit, auto-fill multiple forms at once in MS Word using our Forms Workflow Ribbon
- Trusted by 1,000s of Attorneys and Legal Professionals
Description
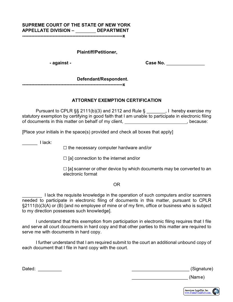
SUPREME COURT OF THE STATE OF NEW YORK APPELLATE DIVISION 226 DEPARTMENT------------------------------------------------------------------xPlaintiff/Petitioner, - against -Case No. Defendant/Respondent.------------------------------------------------------------------xATTORNEY EXEMPTION CERTIFICATION Pursuant to CPLR 247247 2111(b)(3) and 2112 and Rule 247 , I hereby exercise mystatutory exemption by certifying in good faith that I am unable to participate in electronic filing of documents in this matter on behalf of my client, , because: [Place your initials in the space(s) provided and check all boxes that apply] I lack:G the necessary computer hardware and/or G [a] connection to the internet and/orG [a] scanner or other device by which documents may be converted to anelectronic formatOR I lack the requisite knowledge in the operation of such computers and/or scannersneeded to participate in electronic filing of documents in this matter, pursuant to CPLR2472111(b)(3(A) or (B) [and no employee of mine or of my firm, office or business who is subjectto my direction possesses such knowledge].I understand that this exemption from participation in electronic filing requires that I fileand serve all court documents in hard copy and that other parties to this matter are required toserve me with documents in hard copy.I further understand that I am required submit to the court an additional unbound copy ofeach document that I file in hard copy with the court. Dated: (Signature) (Name) American LegalNet, Inc. www.FormsWorkFlow.com (Firm Name) (Address) (Phone) This form must be signed. All contact information must be provided, including the address atwhich hard-copy documents in this matter should be served.This form must be filed with the clerk of the court where the matter is pending and served on allparties. 7/19/17 American LegalNet, Inc. www.FormsWorkFlow.com
Related forms
-
Summons
New York/Statewide/Supreme Court/General/ -
Notice Of Motion
New York/Statewide/Supreme Court/General/ -
Authorization Of Agent For Service
New York/Statewide/Supreme Court/General/ -
Revocation Of Authorization - Agent For Service
New York/Statewide/Supreme Court/General/ -
Notice Of Commencement Of Action Subject To Mandatory Electronic Filing
New York/Statewide/Supreme Court/General/ -
Notice of Opt-Out From Participation In Action Subject To Mandatory Electronic Filing
New York/Statewide/Supreme Court/General/ -
Notice Of Hard Copy Submission - E-Filed Case
New York/Statewide/Supreme Court/General/ -
EF-22 Notice To County Clerk-CPLR 8019(c)
New York/Statewide/Supreme Court/General/ -
Revocation Of Authorization For Electronic Filing - Managing Attorney
New York/Statewide/Supreme Court/General/ -
Revocation Of Authorization For Electronic Filing - Single Attorney
New York/Statewide/Supreme Court/General/ -
Statement Of Authorization For Electronic Filing (Managing Attorney Authorizing Filing Agent Entity)
New York/Statewide/Supreme Court/General/ -
Statement Of Authorization For Electronic Filing (Managing Attorney Authorizing Individual Filing Agent)
New York/Statewide/Supreme Court/General/ -
Statement Of Authorization For Electronic Filing (Single Attorney Authorizing Filing Agent Entity)
New York/Statewide/Supreme Court/General/ -
Statement Of Authorization For Electronic Filing (Single Attorney Authorizing Individual Filing Agent)
New York/Statewide/Supreme Court/General/ -
Certification Of Signature (Judge)
New York/Statewide/Supreme Court/General/ -
Notice To County Clerk Amendment To Caption
New York/Statewide/Supreme Court/General/ -
Attorney Exemption Certification
New York/Statewide/Supreme Court/General/ -
Notification Of Case Number E-Filed Original Proceedings
New York/Statewide/Supreme Court/General/ -
Certification Of Signature (Attorney)
New York/Statewide/Supreme Court/General/ -
Notification Of Case Number E-Filed Appeals Or Transferred Matters
New York/Statewide/Supreme Court/General/ -
Notification Of Order Extending Restriction
New York/Statewide/Supreme Court/General/ -
Request For Restricted Status
New York/Statewide/Supreme Court/General/ -
Notification Of Confidentiality Issue Or Error In Filing And Intent To Seek Judicial Relief
New York/Statewide/Supreme Court/General/ -
Non-Attorneys Representing Themselves Filing Agent PHV NYSCEF Registration
New York/1 Statewide/Supreme Court/General/ -
Notice Of Filing During The COVID-19 Public Health Emergency
New York/1 Statewide/Supreme Court/General/ -
Defect Checklist CPLR 3215(a) Default Judgments For Credit Card Debt
New York/1 Statewide/Supreme Court/General/ -
Stipulation And Consent To E-Filing
New York/Statewide/Supreme Court/General/ -
Notice Of Conversion To Electronic Filing (Converted Action To E-Filing)
New York/1 Statewide/Supreme Court/General/ -
Foreclosure Settlement Conference Additional Information
New York/1 Statewide/Supreme Court/General/ -
Order Confirming Referee Report And Judgment Of Foreclosure And Sale
New York/1 Statewide/Supreme Court/General/ -
Default Judgment And Judgment Of Foreclosure And Sale
New York/1 Statewide/Supreme Court/General/ -
Foreclosure Settlement Conference Intake Form
New York/1 Statewide/Supreme Court/General/ -
Order Of Reference And Default Judgment (Foreclosure)
New York/1 Statewide/Supreme Court/General/ -
Foreclosure Settlement Conference Status Form
New York/1 Statewide/Supreme Court/General/ -
Foreclosure Action Referees Report Of Sale
New York/1 Statewide/Supreme Court/General/ -
Notice Of Motion For Default Judgment And Order Of Reference (Foreclosure)
New York/1 Statewide/Supreme Court/General/ -
(Attorney) Affirmation And Affidavit (Foreclosure)
New York/1 Statewide/Supreme Court/General/ -
Affidavit Of Service
New York/1 Statewide/Supreme Court/General/ -
Foreclosure Action Surplus Monies Form
New York/1 Statewide/Supreme Court/General/ -
Notice Of Motion Confirm Referee Report And Judgment Of Foreclosure
New York/1 Statewide/Supreme Court/General/ -
Notice Of Motion Default Judgment Order Of Reference Judgment Of Foreclosure
New York/1 Statewide/Supreme Court/General/ -
Affirmation (COVID-19)
New York/1 Statewide/Supreme Court/General/ -
Certificate Of Merit Pursuant To CPLR 3012-b (Foreclosure)
New York/1 Statewide/Supreme Court/General/ -
Notice Of Limited Appearance
New York/1 Statewide/Supreme Court/General/ -
Letter Application For Order Directing Anonymous Caption Publicly Viewable Listings
New York/1 Statewide/Supreme Court/General/ -
Notice Of Electronic Filing (Mandatory Commencement) (Uniform Rule 202.5-bb(a)(2)(v) And (vi))
New York/Statewide/Supreme Court/General/ -
Letter Application To Convert Pending Action To E-Filing
New York/1 Statewide/Supreme Court/General/ -
Notice To Mortgagor - Mortgagors Declaration Of COVID-19 Related Hardship
New York/1 Statewide/Supreme Court/General/ -
Verified Pro Se Answer To Foreclosure Complaint (And Counterclaims)
New York/1 Statewide/Supreme Court/General/ -
Tax Lien Foreclosure Conference Form
New York/1 Statewide/Supreme Court/General/ -
Notification For Sealing In Electronically-Filed Case
New York/1 Statewide/Supreme Court/General/ -
Notice Of Electronic Filing (Consensual Case) (Uniform Rule 202.5-b)
New York/Statewide/Supreme Court/General/ -
Notice Of Electronic Filing (Mandatory Case) (Uniform Rule 202.5-bb)
New York/Statewide/Supreme Court/General/ -
Stipulation And Order For Production And Exchange Of Confidential Information
New York/1 Statewide/Supreme Court/General/ -
Request To Remove From Further Consent-Representation (New York City Corporation Counsel)
New York/Statewide/Supreme Court/General/ -
Out Of State Subpoena-Subpoena Duces Tecum (Template)
New York/Statewide/Supreme Court/General/ -
Application To Waive Extreme Risk Protection Order FIling Fees
New York/Statewide/Supreme Court/General/ -
Alternative Dispute Resolution (ADR) Attorney Certification (Commercial Division)
New York/Statewide/Supreme Court/General/ -
Terms Of Sale Remote Bidding Authorized (Foreclosure)
New York/Statewide/Supreme Court/General/ -
Consent To Cancel Notice Of Pendency
New York/Statewide/Supreme Court/General/ -
Guardian Ad Litem Designation And Consent
New York/Statewide/Supreme Court/General/ -
Order Authorizing Substituted Service And Appointing Guardian Ad Litem
New York/Statewide/Supreme Court/General/ -
Guardian Ad Litem (Foreclosure) Qualifying Affirmation
New York/Statewide/Supreme Court/General/ -
Order Denying Leave To Serve By Publication And To Appoint Guardian Ad Litem
New York/Statewide/Supreme Court/General/ -
Application To Amend Or Vacate Extreme Risk Protection Order
New York/Statewide/Supreme Court/General/ -
Application For Renewal Of An Extreme Risk Protection Order
New York/Statewide/Supreme Court/General/ -
Application To Return Firearms Rifles Or Shotguns To Lawful Owner
New York/Statewide/Supreme Court/General/ -
Application To Return Firearms Rifles Or Shotguns Respondent
New York/Statewide/Supreme Court/General/ -
Application For A Temporary Extreme Risk Protection Order
New York/Statewide/Supreme Court/General/
Form Preview
Contact Us
Success: Your message was sent.
Thank you!




