Last updated: 3/29/2013
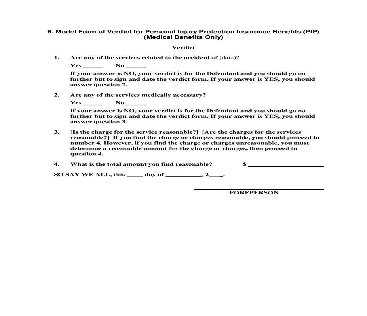
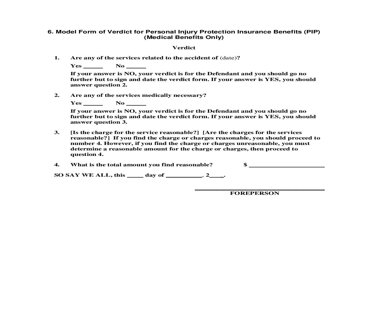
6. Model Form of Verdict for Personal Injury Protection Insurance Benefits (PIP) (Medical Benefits Only)
Start Your Free Trial $ 5.99What you get:
- Instant access to fillable Microsoft Word or PDF forms.
- Minimize the risk of using outdated forms and eliminate rejected fillings.
- Largest forms database in the USA with more than 80,000 federal, state and agency forms.
- Download, edit, auto-fill multiple forms at once in MS Word using our Forms Workflow Ribbon
- Trusted by 1,000s of Attorneys and Legal Professionals
Description
6. Model Form of Verdict for Personal Injury Protection Insurance Benefits (PIP) (Medical Benefits Only) Verdict 1. Are any of the services related to the accident of (date)? Yes No If your answer is NO, your verdict is for the Defendant and you should go no further but to sign and date the verdict form. If your answer is YES, you should answer question 2. 2. Are any of the services medically necessary? Yes No If your answer is NO, your verdict is for the Defendant and you should go no further but to sign and date the verdict form. If your answer is YES, you should answer question 3. 3. [Is the charge for the service reasonable?] [Are the charges for the services reasonable?] If you find the charge or charges reasonable, you should proceed to number 4. However, if you find the charge or charges unreasonable, you must determine a reasonable amount for the charge or charges, then proceed to question 4. What is the total amount you find reasonable? day of __________, 2 _. $ 4. SO SAY WE ALL, this ____________________________________ FOREPERSON





