Last updated: 11/30/2016
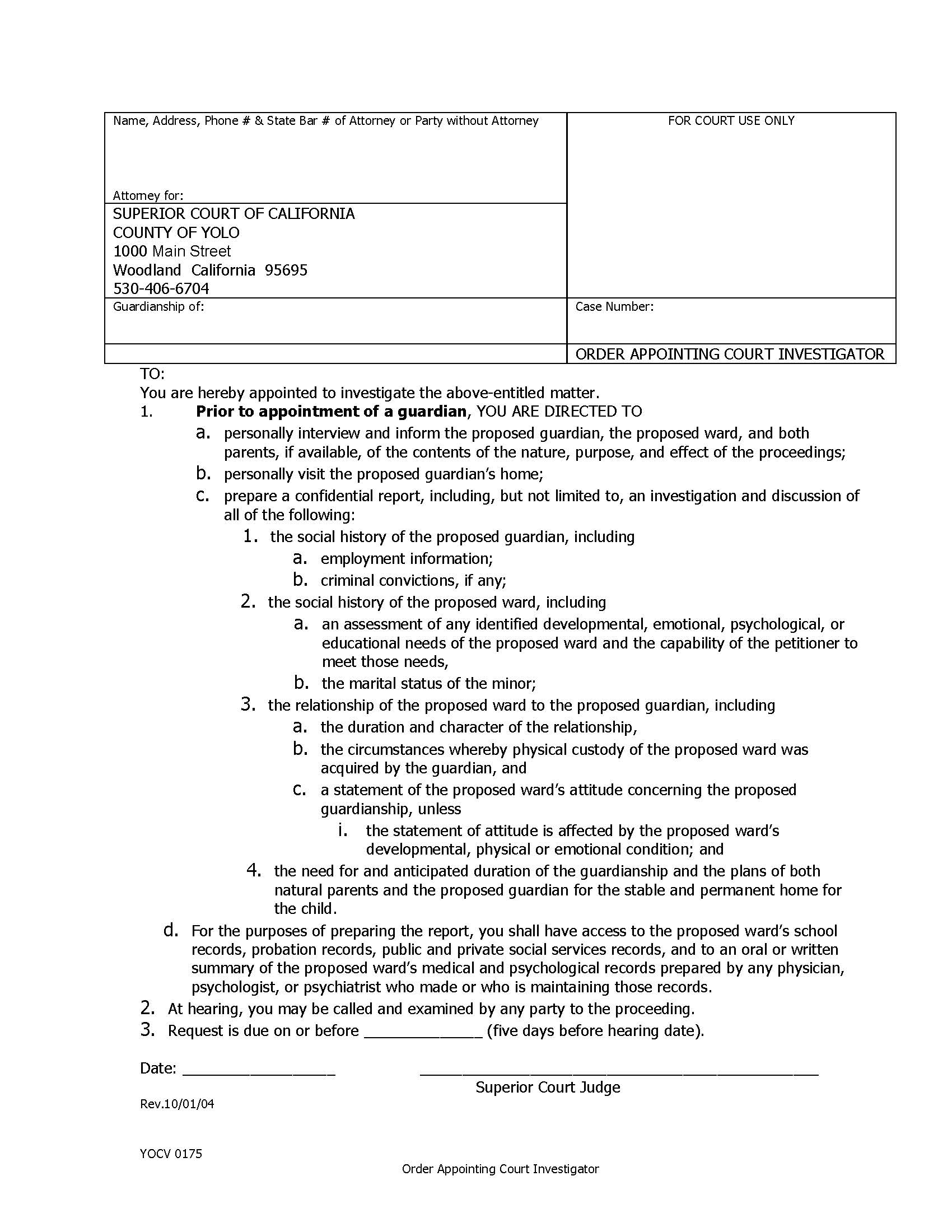
Order Appointing Court Investigator {YOCV 0175}
Start Your Free Trial $ 13.99What you get:
- Instant access to fillable Microsoft Word or PDF forms.
- Minimize the risk of using outdated forms and eliminate rejected fillings.
- Largest forms database in the USA with more than 80,000 federal, state and agency forms.
- Download, edit, auto-fill multiple forms at once in MS Word using our Forms Workflow Ribbon
- Trusted by 1,000s of Attorneys and Legal Professionals
Description
YOCV 0175 - ORDER APPOINTING COURT INVESTIGATOR. This form is used in the Superior Court of California, County of Yolo, to officially appoint a court investigator in a guardianship case. This order directs the investigator to conduct a thorough review before the court decides whether to appoint a guardian. The investigator must interview the proposed guardian, the proposed ward, and both parents (if available), visit the guardian’s home, and prepare a confidential report. The report must cover key details such as the social history of the guardian and ward, the guardian’s ability to meet the ward’s developmental, emotional, psychological, and educational needs, the relationship between the ward and guardian, and the need for and likely duration of the guardianship. The investigator is also granted access to important records, including school, probation, social services, and medical or psychological summaries, to complete their evaluation. The findings are submitted to the court in advance of the hearing, and the investigator may be called to testify. www.FormsWorkflow.com





