Last updated: 4/14/2017
Subpoena For Deposition (For Issuance By Clerk) {1.912(a)}
Start Your Free Trial $ 13.99What you get:
- Instant access to fillable Microsoft Word or PDF forms.
- Minimize the risk of using outdated forms and eliminate rejected fillings.
- Largest forms database in the USA with more than 80,000 federal, state and agency forms.
- Download, edit, auto-fill multiple forms at once in MS Word using our Forms Workflow Ribbon
- Trusted by 1,000s of Attorneys and Legal Professionals
Description
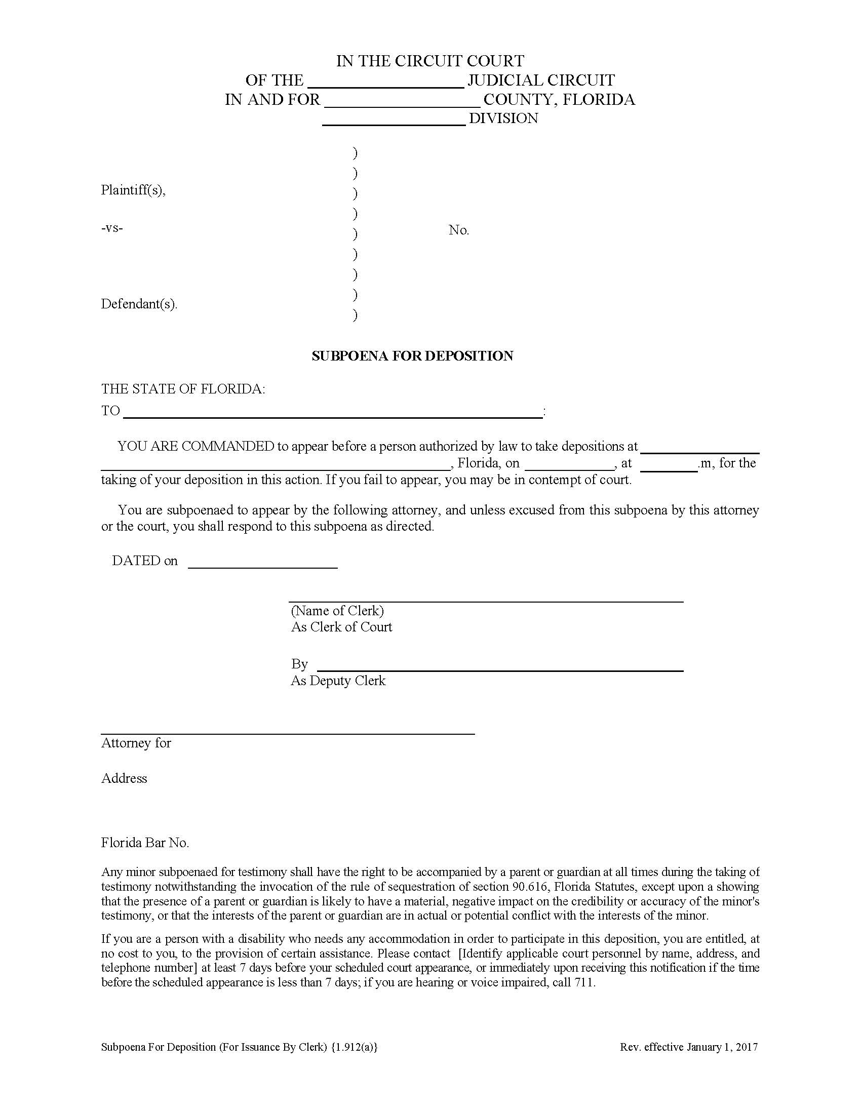
1.912(a) - SUBPOENA FOR DEPOSITION (FOR ISSUANCE BY CLERK). This is a Florida court form used to require a person to appear and give testimony at a deposition in a civil case. Issued by the clerk of court in county or circuit court, this subpoena directs the witness to appear before a person authorized by law to take depositions at a specified date, time, and location. It warns that failure to appear may result in contempt of court and identifies the attorney on whose behalf the subpoena is issued. The form also includes required notices regarding disability accommodations and special protections for minors who are subpoenaed to testify. www.FormsWorkflow.com
Related forms
-
Account Stated Complaint
Florida/Statewide/Civil/ -
Bond General Form
Florida/Statewide/Civil/ -
Check Complaint
Florida/Statewide/Civil/ -
Conversion Complaint
Florida/Statewide/Civil/ -
Crossclaim Summons
Florida/Statewide/Civil/ -
Distress Writ
Florida/Statewide/Civil/ -
Eviction Summons Residential
Florida/Statewide/Civil/ -
Execution {1.914(a)}
Florida/Statewide/Civil/ -
Fall Down Negligence Complaint
Florida/Statewide/Civil/ -
Final Judgment For Defendant Jury Action For Damages
Florida/Statewide/Civil/ -
Final Judgment For Defendent General Form Non-Jury
Florida/Statewide/Civil/ -
Final Judgment For Plaintiff Jury Action For Damages
Florida/Statewide/Civil/ -
Final Judgment For Plantiff General Form Non-Jury
Florida/Statewide/Civil/ -
Goods Sold Complaint
Florida/Statewide/Civil/ -
Implied Warranty Complaint
Florida/Statewide/Civil/ -
Money Lent Complaint
Florida/Statewide/Civil/ -
Motion For Default
Florida/Statewide/Civil/ -
Motor Vehicle Negligence Complaint
Florida/Statewide/Civil/ -
Motor Vehicle Negligence Plantiff Is Unable to Determine Who Is Responsible
Florida/Statewide/Civil/ -
Notice Of Action Constructive Service No Property
Florida/Statewide/Civil/ -
Notice Of Action Constructive Service Property
Florida/Statewide/Civil/ -
Notice Of Lis Pendens
Florida/Statewide/Civil/ -
Notice Of Production From Non Party
Florida/Statewide/Civil/ -
Open Account Complaint
Florida/Statewide/Civil/ -
Promissory Note Complaint
Florida/Statewide/Civil/ -
Replevin Complaint
Florida/Statewide/Civil/ -
Replevin Order To Show Cause
Florida/Statewide/Civil/ -
Specific Performance Complaint
Florida/Statewide/Civil/ -
Tenant Eviction Complaint
Florida/Statewide/Civil/ -
Writ Of Attachment Foreclosure
Florida/Statewide/Civil/ -
Writ Of Ne Exeat
Florida/Statewide/Civil/ -
Writ Of Possession
Florida/Statewide/Civil/ -
Writ Of Replevin
Florida/Statewide/Civil/ -
Ejectment
Florida/Statewide/Civil/ -
Forcible Entry And Detention
Florida/Statewide/Civil/ -
Satisfaction Of Judgment
Florida/Statewide/Civil/ -
Writ Of Attachment
Florida/Statewide/Civil/ -
Application For Determination Of Civil Indigent Status
Florida/Statewide/Civil/ -
Continuing Writ Of Garnishment Against Salary Or Wages (After Judgment)
Florida/Statewide/Civil/ -
Fact Information Sheet
Florida/Statewide/Civil/ -
Final Judgment After Default (General)
Florida/Statewide/Civil/ -
Summons (General)
Florida/Statewide/Civil/ -
Third-Party Complaint
Florida/Statewide/Civil/ -
Third-Party Summons
Florida/Statewide/Civil/ -
Final Judgment Of Replevin For Defendant - Defendant Has Possession
Florida/Statewide/Civil/ -
Final Judgment Of Replevin For Defendant - Plaintiff Has Possession
Florida/Statewide/Civil/ -
Final Judgment Of Replevin For Plaintiff - Defendant Has Possession
Florida/Statewide/Civil/ -
Final Judgment Of Replevin For Plaintiff With Possession
Florida/Statewide/Civil/ -
Notice And Order Of Dismissal For Lack Of Prosecution
Florida/Statewide/Civil/ -
Notice Of Commencement Of Action-Waiver Of Service Of Process
Florida/Statewide/Civil/ -
Writ Of Garnishment
Florida/Statewide/Civil/ -
Fact Information Sheet (Corporation-Business Entity)
Florida/Statewide/Civil/ -
Final Judgment After Default (Interest And Fees)
Florida/Statewide/Civil/ -
Summons (Summons-Service-Natural Person)
Florida/Statewide/Civil/ -
Claim of Lien
Florida/Statewide/Civil/ -
Jury Questionnaire (Voir Dire)
Florida/Statewide/Civil/ -
Subpoena For Trial (For Issuance By Clerk)
Florida/Statewide/Civil/ -
Subpoena Duces Tecum For Deposition (For Issuance By Attorney) {1.913(b)}
Florida/Statewide/Civil/ -
Subpoena Duces Tecum For Deposition (For Issuance By Clerk) {1.913(a)}
Florida/Statewide/Civil/ -
Subpoena Duces Tecum For Trial (For Issuance By Attorney) {1.911(b)}
Florida/Statewide/Civil/ -
Subpoena Duces Tecum For Trial (For Issuance By Clerk) {1.911(a)}
Florida/Statewide/Civil/ -
Subpoena Duces Tecum Without Deposition (Appearance Optional - For Issuance By Attorney)
Florida/Statewide/Civil/ -
Subpoena Duces Tecum Without Deposition (For Issuance By Attorney)
Florida/Statewide/Civil/ -
Subpoena Duces Tecum Without Deposition (For Issuance By Clerk)
Florida/Statewide/Civil/ -
Subpoena For Deposition (For Issuance By Attorney)
Florida/Statewide/Civil/ -
Subpoena For Deposition (For Issuance By Clerk)
Florida/Statewide/Civil/ -
Subpoena For Trial (For Issuance By Attorney)
Florida/Statewide/Civil/ -
Satisfaction Of Judgment By Clerk
Florida/Statewide/Civil/ -
Contempt Notice - Motion And Notice Of Hearing
Florida/Statewide/Civil/ -
Subpoena Duces Tecum Without Deposition (Appearance Optional - To Be Issued By Clerk)
Florida/Statewide/Civil/ -
Final Disposition Form
Florida/Statewide/Civil/ -
Affidavit Of Diligent Search And Inquiry
Florida/Statewide/Civil/ -
Motion To Cancel And Reschedule Foreclosure Sale
Florida/Statewide/Civil/ -
Durable Power Of Attorney (Model)
Florida/Statewide/Civil/ -
Affidavit Of Agent (Model)
Florida/Statewide/Civil/ -
Affidavit Of Claimant In Response To Notice To Appear {1.914(c)}
Florida/Statewide/Civil/ -
Notice To Appear (Execution) {1.914(b)}
Florida/Statewide/Civil/ -
Declaration Of Domicile
Florida/1 Statewide/Civil/ -
Affidavit Of Plaintiff Regarding CDC Order Of September 1 2020
Florida/1 Statewide/Civil/ -
Motor Vehicle Vessel And Mobile Home Records Request
Florida/1 Statewide/Civil/ -
Driver License Records Request
Florida/1 Statewide/Civil/ -
General Personal Injury Negligence - Interrogatories To Plaintiff
Florida/1 Statewide/Civil/ -
General Personal Injury Negligence - Interrogatories To Defendant
Florida/1 Statewide/Civil/ -
Medical Malpractice - Interrogatories To Plaintiff (Add To General PI Negligence)
Florida/1 Statewide/Civil/ -
Medical Malpractice - Interrogatories To Defendant (Add To General PI Negligence)
Florida/1 Statewide/Civil/ -
Autommobile Negligence - Interrogatories To Plaintiff (Add To General PI Negligence)
Florida/1 Statewide/Civil/ -
Autommobile Negligence - Interrogatories To Defendant (Add To General PI Negligence)
Florida/1 Statewide/Civil/ -
Civil Cover Sheet
Florida/Statewide/Civil/ -
Order Designating Case A Complex Case
Florida/Statewide/Civil/ -
Request To Be Excused From E-Mail Service Party Not Represented
Florida/Statewide/Civil/ -
Designation Of E-Mail Address By Party Not Represented By Attorney
Florida/Statewide/Civil/ -
Certificate Of Service (Attorney)
Florida/Statewide/Civil/ -
Notice Of Change Of Mailing Address Or Designated E-Mail Address
Florida/Statewide/Civil/ -
Verified Motion For Admission To Appear Pro Hac Vice
Florida/Statewide/Civil/ -
Final Judgment Of Foreclosure
Florida/Statewide/Civil/ -
Final Judgment Of Foreclosure For Re-Establishment Of Lost Note
Florida/Statewide/Civil/ -
Notice Of Confidential Information Within Court Filings {2.420(d)(2)}
Florida/Statewide/Civil/ -
Questionnaire For Prospective Jurors
Florida/Statewide/Civil/
Form Preview
Contact Us
Success: Your message was sent.
Thank you!




