Last updated: 8/1/2006
Notification Of Transmittal Of International Preliminary Report On Patentability {PCT-IPEA-416}
Start Your Free Trial $ 13.99What you get:
- Instant access to fillable Microsoft Word or PDF forms.
- Minimize the risk of using outdated forms and eliminate rejected fillings.
- Largest forms database in the USA with more than 80,000 federal, state and agency forms.
- Download, edit, auto-fill multiple forms at once in MS Word using our Forms Workflow Ribbon
- Trusted by 1,000s of Attorneys and Legal Professionals
Description
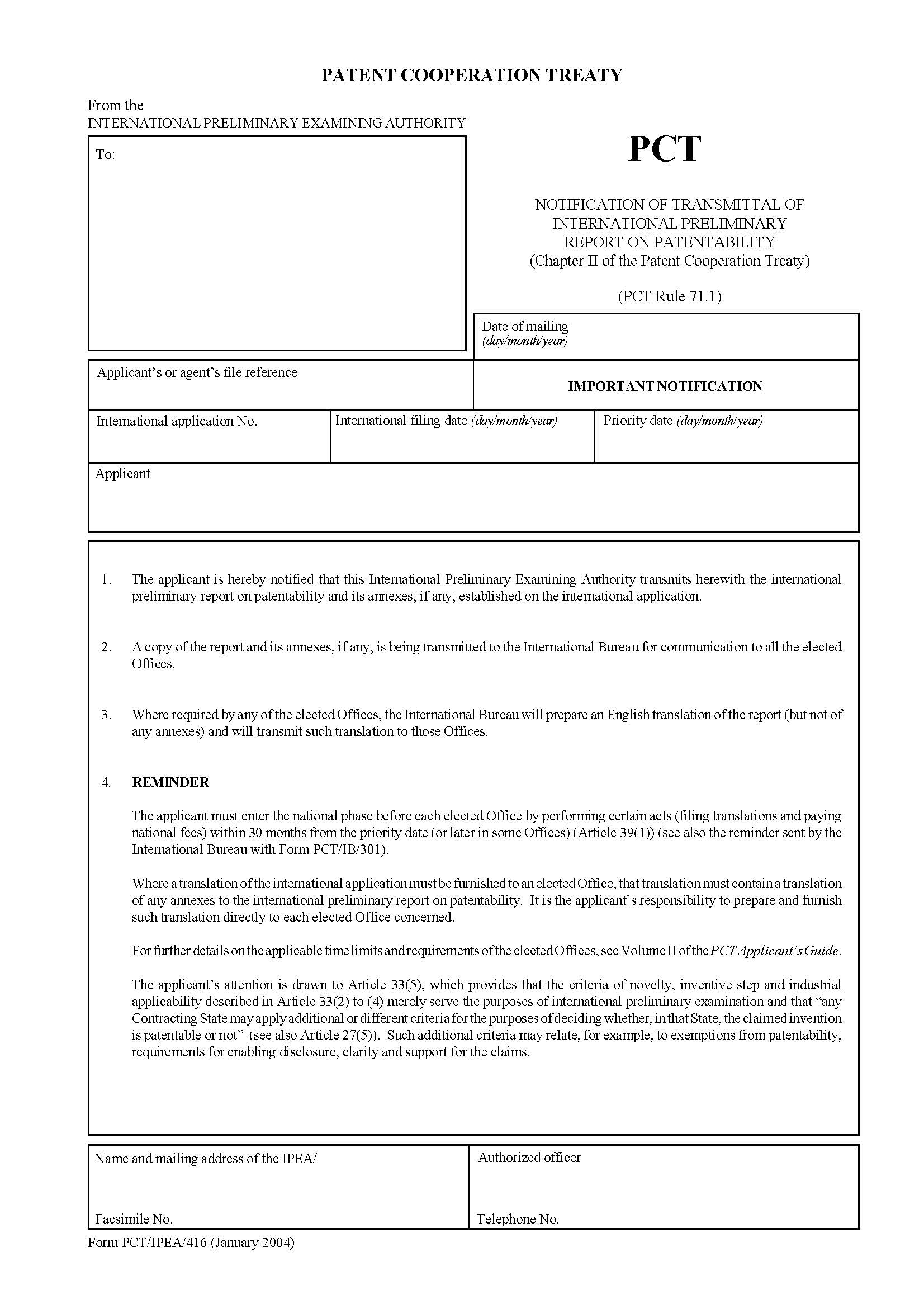
PATENT COOPERATION TREATY From the INTERNATIONAL PRELIMINARY EXAMINING AUTHORITY To: PCT NOTIFICATION OF TRANSMITTAL OF INTERNATIONAL PRELIMINARY REPORT ON PATENTABILITY (Chapter II of the Patent Cooperation Treaty) (PCT Rule 71.1) Date of mailing (day/month/year) Applicant's or agent's file reference IMPORTANT NOTIFICATION International application No. International filing date (day/month/year) Priority date (day/month/year) Applicant 1. The applicant is hereby notified that this International Preliminary Examining Authority transmits herewith the international preliminary report on patentability and its annexes, if any, established on the international application. 2. A copy of the report and its annexes, if any, is being transmitted to the International Bureau for communication to all the elected Offices. 3. Where required by any of the elected Offices, the International Bureau will prepare an English translation of the report (but not of any annexes) and will transmit such translation to those Offices. 4. REMINDER The applicant must enter the national phase before each elected Office by performing certain acts (filing translations and paying national fees) within 30 months from the priority date (or later in some Offices) (Article 39(1)) (see also the reminder sent by the International Bureau with Form PCT/IB/301). Where a translation of the international application must be furnished to an elected Office, that translation must contain a translation of any annexes to the international preliminary report on patentability. It is the applicant's responsibility to prepare and furnish such translation directly to each elected Office concerned. For further details on the applicable time limits and requirements of the elected Offices, see Volume II of the PCT Applicant's Guide. The applicant's attention is drawn to Article 33(5), which provides that the criteria of novelty, inventive step and industrial applicability described in Article 33(2) to (4) merely serve the purposes of international preliminary examination and that "any Contracting State may apply additional or different criteria for the purposes of deciding whether, in that State, the claimed invention is patentable or not" (see also Article 27(5)). Such additional criteria may relate, for example, to exemptions from patentability, requirements for enabling disclosure, clarity and support for the claims. Name and mailing address of the IPEA/ Authorized officer Facsimile No. Form PCT/IPEA/416 (January 2004) Telephone No. American LegalNet, Inc. www.USCourtForms.com





