Last updated: 7/16/2018
Application For Reinstatement Of Domestic Limited Liability Company
Start Your Free Trial $ 13.99What you get:
- Instant access to fillable Microsoft Word or PDF forms.
- Minimize the risk of using outdated forms and eliminate rejected fillings.
- Largest forms database in the USA with more than 80,000 federal, state and agency forms.
- Download, edit, auto-fill multiple forms at once in MS Word using our Forms Workflow Ribbon
- Trusted by 1,000s of Attorneys and Legal Professionals
Description
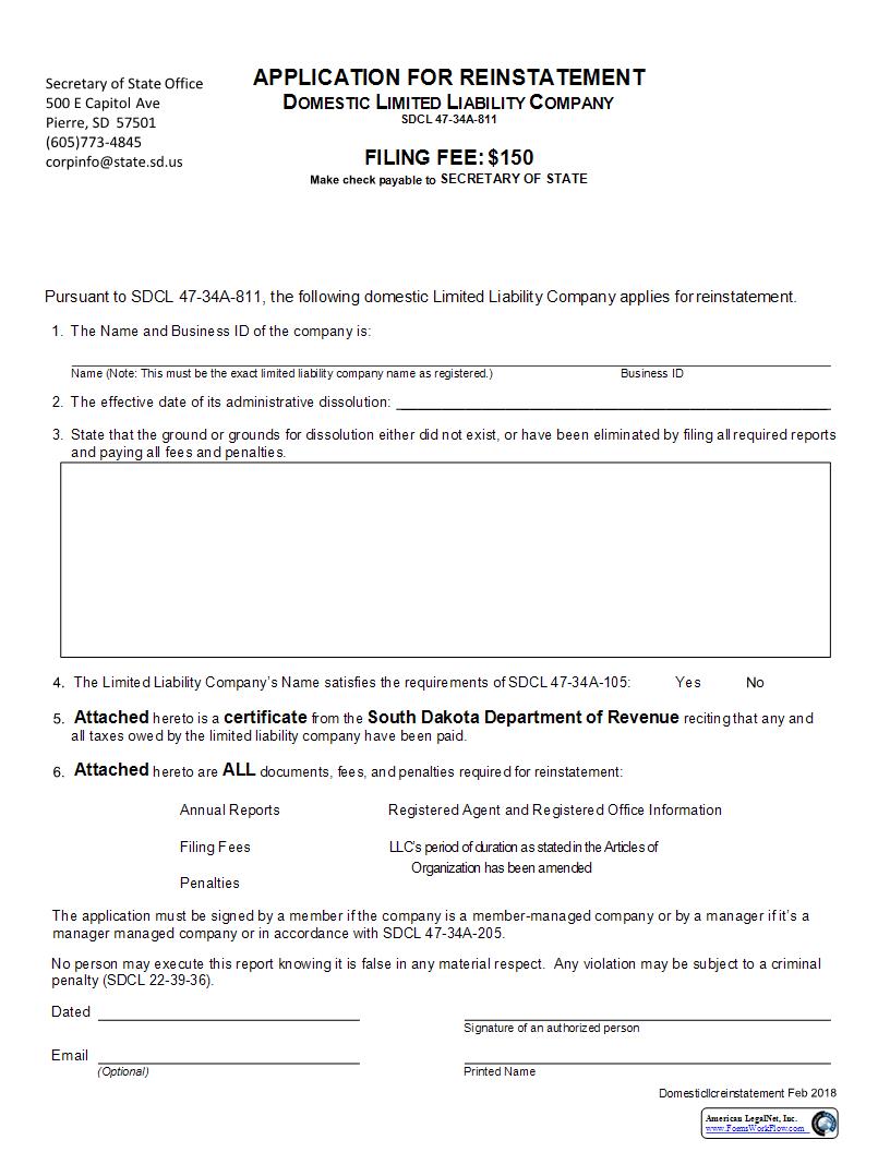
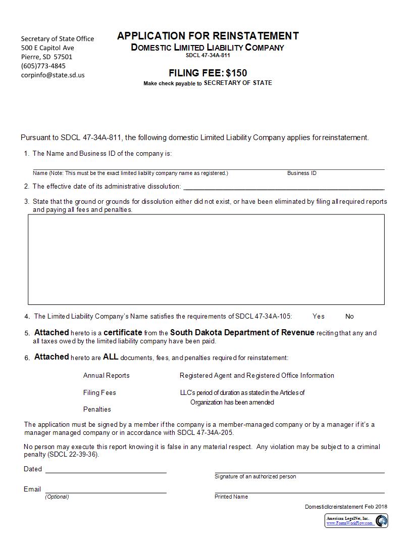
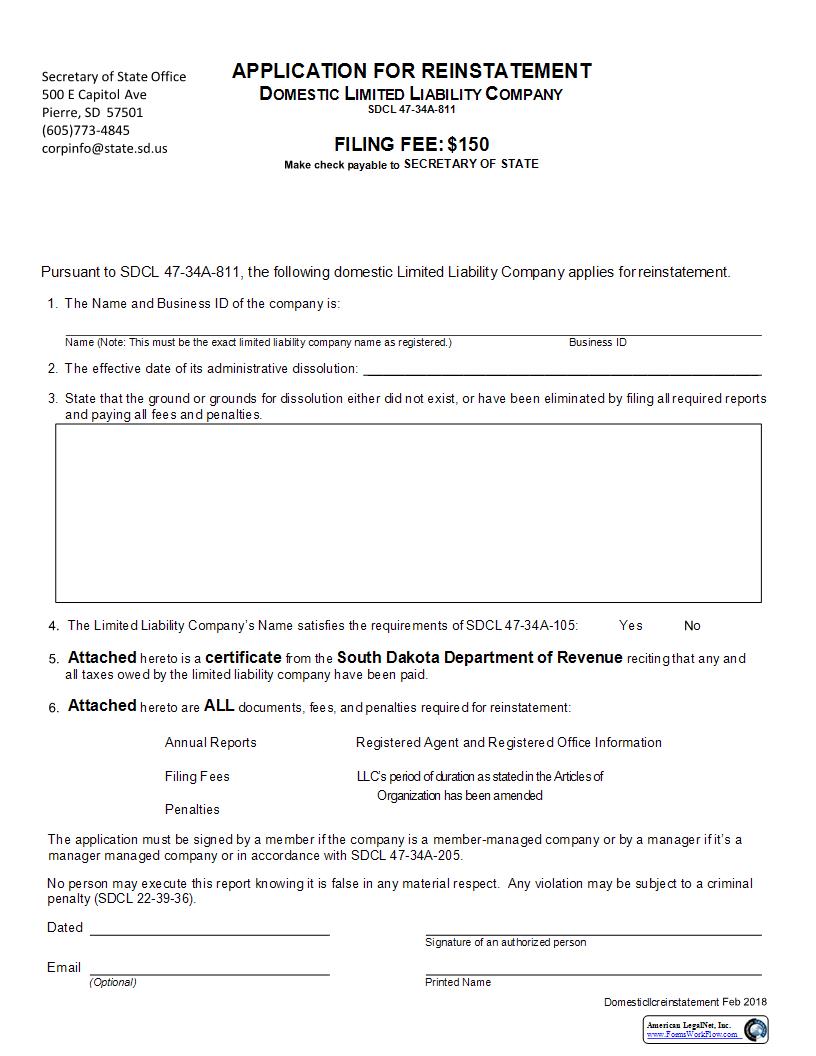
Domesticllcreinstatement Secretary of State Office 500 E Capitol Ave Pierre, SD 57501 (605)773-4845 Pursuant to SDCL 47-34A-811, the following domestic Limited Liability Company applies for reinstatement. 1.The Name and Business ID of the company is: Name (Note: This must be the exact limited liability company name as registered.) Business ID 2.The effective date of its administrative dissolution: 3.State that the ground or grounds for dissolution either did not exist, or have been eliminated by filing all required reportsand paying all fees and penalties. The Limited Liability Company222s Name satisfies the requirements of SDCL 47-34A-105:Yes oAttached hereto is a certificate from the South Dakota Department of Revenue reciting that any andall taxes owed by the limited liability company have been paid.Attached hereto are ALL documents, fees, and penalties required for reinstatement: Annual Reports Registered Agent and Registered Office Information Filing Fees LLC222s period of duration as stated in the Articles of Penalties Organization has been amended The application must be signed by a member if the company is a member-managed company or by a manager if it222s a manager managed company or in accordance with SDCL 47-34A-205. No person may execute this report knowing it is false in any material respect. Any violation may be subject to a criminal penalty (SDCL 22-39-36). Dated Signature of an authorized person Email (Optional) Printed Name APPLICATION FOR REINSTATEMENT DOMESTIC LIMITED LIABILITY COMPANY SDCL 47-34A-811 FILING FEE: $150 ayable to SECRETARY OF STATE American LegalNet, Inc. www.FormsWorkFlow.com





