Last updated: 2/28/2006
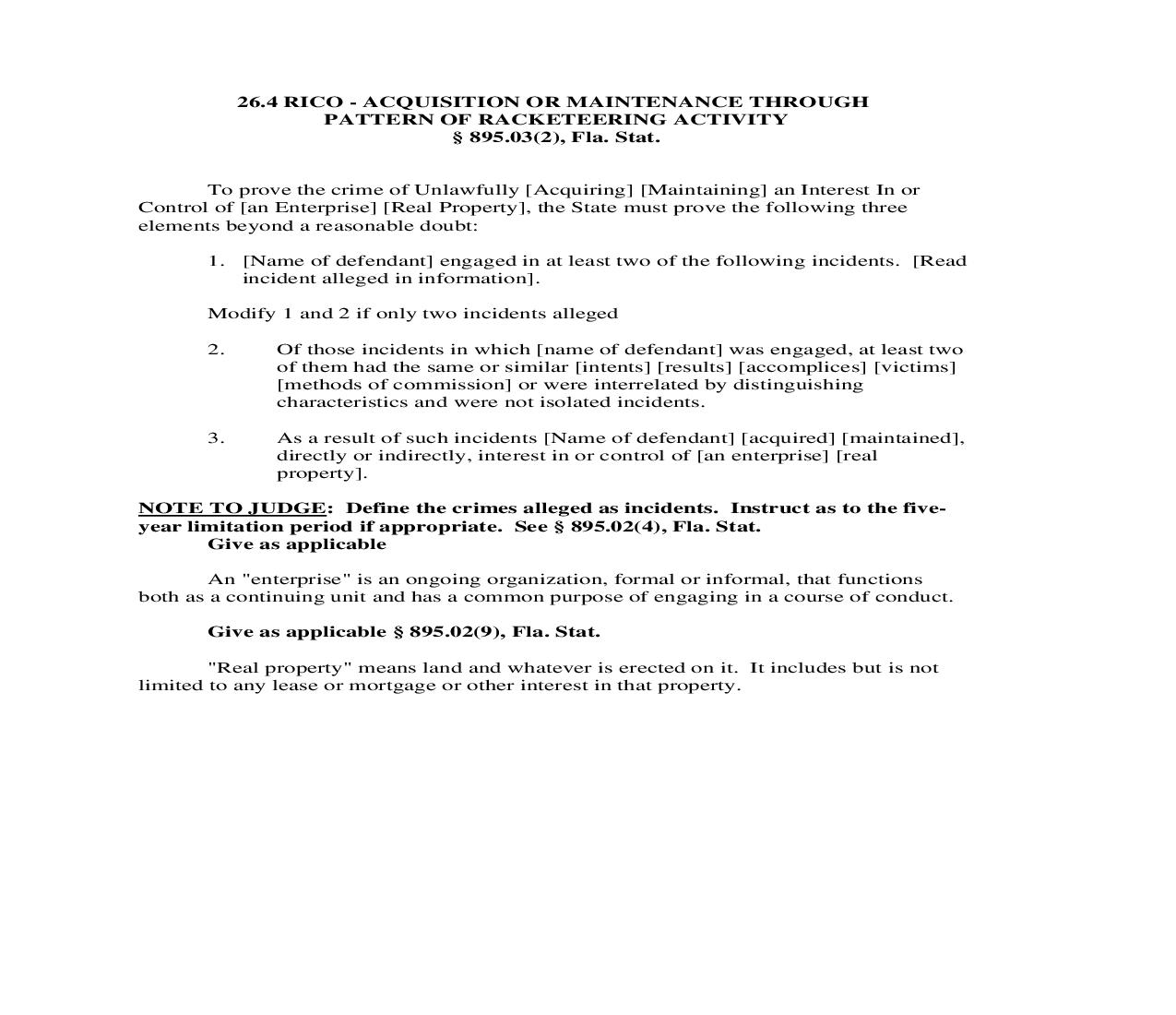
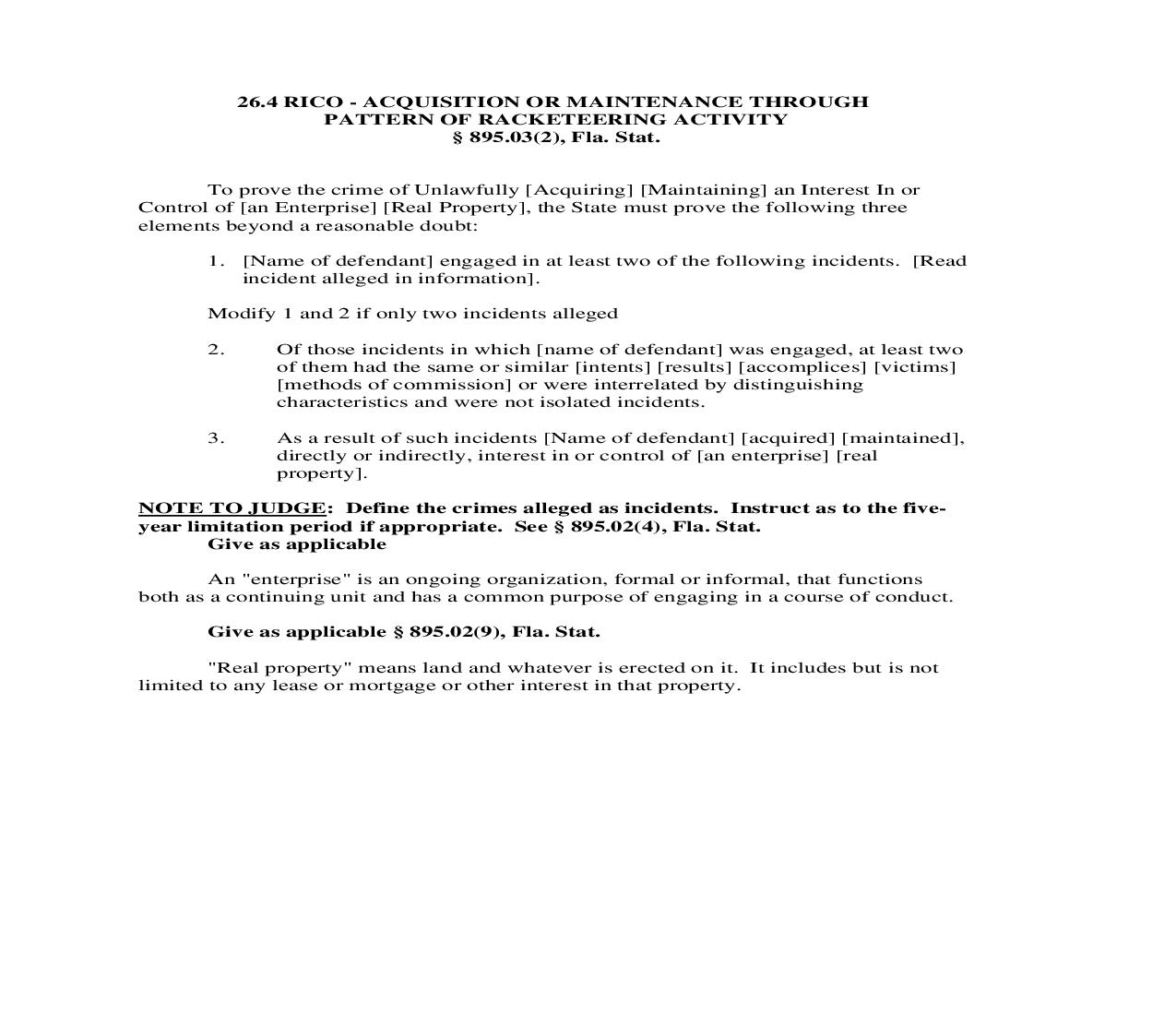
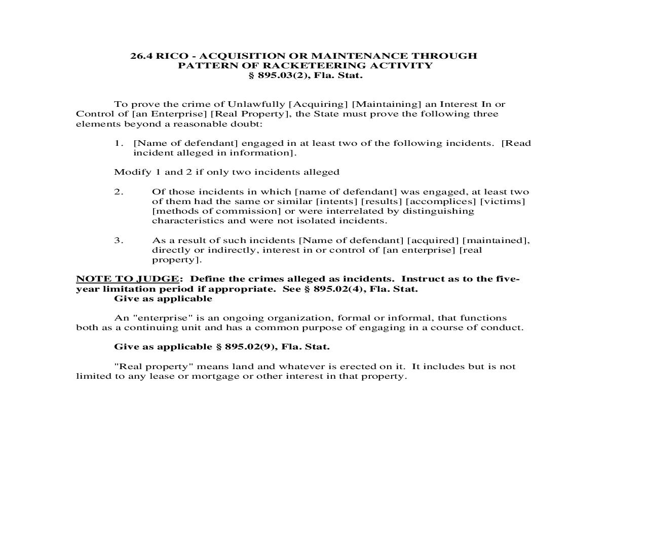
26.4. RICO - Acquisition Or Maintenance Through Pattern Of Racketeering Activity
Start Your Free Trial $ 13.99What you get:
- Instant access to fillable Microsoft Word or PDF forms.
- Minimize the risk of using outdated forms and eliminate rejected fillings.
- Largest forms database in the USA with more than 80,000 federal, state and agency forms.
- Download, edit, auto-fill multiple forms at once in MS Word using our Forms Workflow Ribbon
- Trusted by 1,000s of Attorneys and Legal Professionals
Description
26.4 RICO - ACQUISITION OR MAINTENANCE THROUGH PATTERN OF RACKETEERING ACTIVITY 895.03(2), Fla. Stat. To prove the crime of Unlawfully [Acquiring] [Maintaining] an Interest In or Control of [an Enterprise] [Real Property], the State must prove the following three elements beyond a reasonable doubt: 1. [Name of defendant] engaged in at least two of the following incidents. [Read incident alleged in information]. Modify 1 and 2 if only two incidents alleged 2. Of those incidents in which [name of defendant] was engaged, at least two of them had the same or similar [intents] [results] [accomplices] [victims] [methods of commission] or were interrelated by distinguishing characteristics and were not isolated incidents. 3. As a result of such incidents [Name of defendant] [acquired] [maintained], directly or indirectly, interest in or control of property]. NOTE TO JUDGE: Define the crimes alleged as incidents. Instruct as to the five-year limitation period if appropriate. See 895.02(4), Fla. Stat. Give as applicable An "enterprise" is an ongoing organization, formal or informal, that functions both as a continuing unit and has a common purpose of engaging in a course of conduct. Give as applicable 895.02(9), Fla. Stat. "Real property" means land and whatever is erected on it. It includes but is not limited to any lease or mortgage or other interest in that property.





