Last updated: 5/2/2006
Invitation To Authorize Transmittal Of Purported International Application {PCT-RO-152}
Start Your Free Trial $ 13.99What you get:
- Instant access to fillable Microsoft Word or PDF forms.
- Minimize the risk of using outdated forms and eliminate rejected fillings.
- Largest forms database in the USA with more than 80,000 federal, state and agency forms.
- Download, edit, auto-fill multiple forms at once in MS Word using our Forms Workflow Ribbon
- Trusted by 1,000s of Attorneys and Legal Professionals
Description
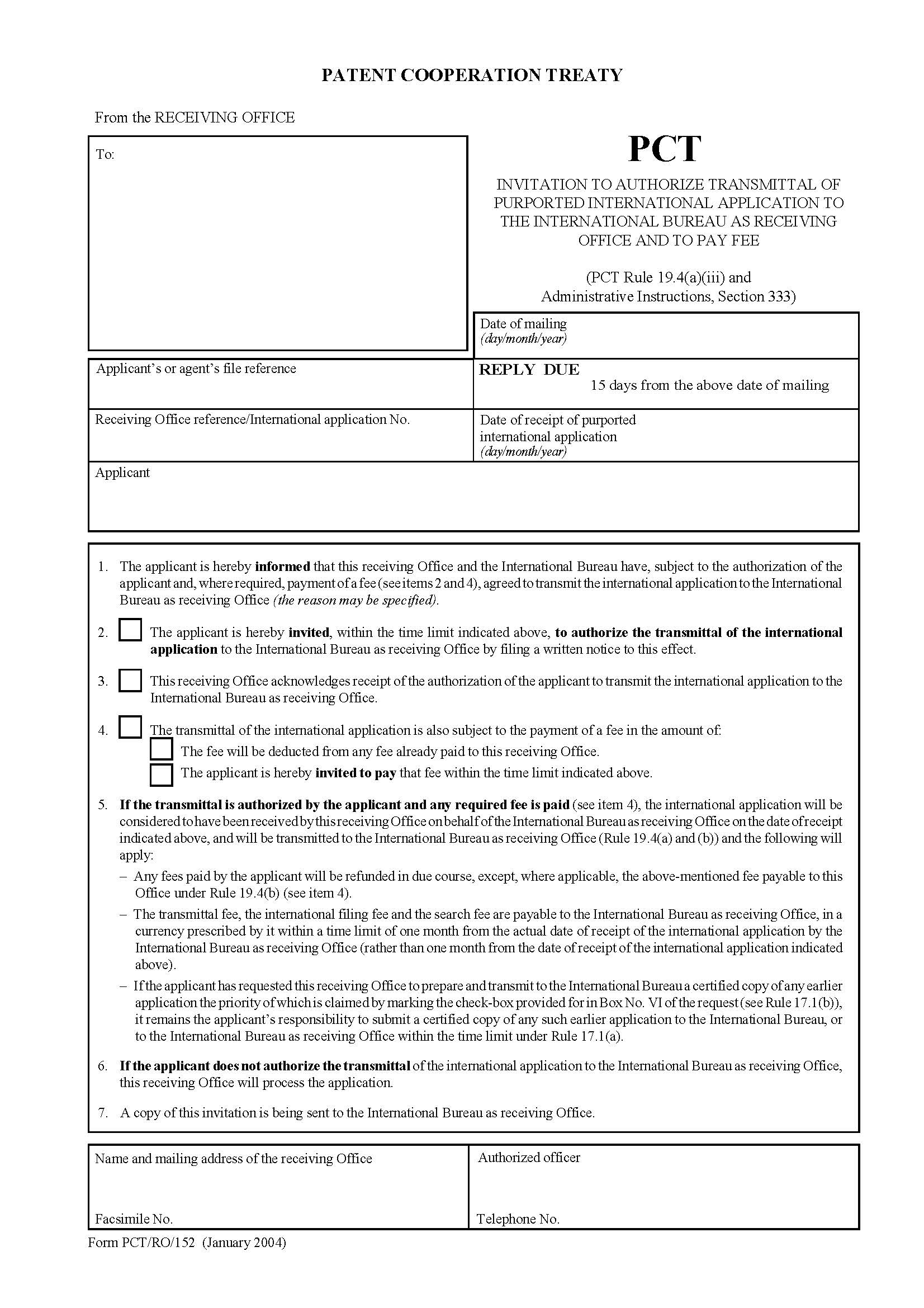
PATENT COOPERATION TREATY From the RECEIVING OFFICE To: PCT INVITATION TO AUTHORIZE TRANSMITTAL OF PURPORTED INTERNATIONAL APPLICATION TO THE INTERNATIONAL BUREAU AS RECEIVING OFFICE AND TO PAY FEE (PCT Rule 19.4(a)(iii) and Administrative Instructions, Section 333) Date of mailing (day/month/year) Applicants or agents file reference REPLY DUE 15 days from the above date of mailing Receiving Office reference/International application No. Date of receipt of purported international application (day/month/year) Applicant 1. The applicant is hereby informed that this receiving Office and the International Bureau have, subject t o the authorization of the applicant and, where required, payment of a fee (see items 2 and 4), a greed to transmit the international application to the International Bureau as receiving Office (the reason may be specified). 2. The applicant is hereby invited, within the time limit indicated above, to authorize the transmittal of the international application to the International Bureau as receiving Office by filing a written not ice to this effect. 3. This receiving Office acknowledges receipt of the authorization of the a pplicant to transmit the international application to the International Bureau as receiving Office. 4. The transmittal of the international application is also subject to the payment of a fee in the amount of: The fee will be deducted from any fee already paid to this ng viiecreOffice. The applicant is hereby invited to pay that fee within the time limit indicated above. 5. If the transmittal is authorized by the applicant and any required fee i s paid (see item 4), the international application will be considered to have been received by this receiving Office on behalf of t he International Bureau as receiving Office on the date of receipt indicated above, and will be transmitted to the International Bureau as receiving Office (Rule 19.4(a) and (b)) and the following will apply: Any fees paid by the applicant will be refunded in due course, except, w here applicable, the above-mentioned fee payable to this Office under Rule 19.4(b) (see item 4). The transmittal fee, the international filing fee and the search fee are payable to the International Bureau as receiving Office, in a currency prescribed by it within a time limit of one month from the actu al date of receipt of the international application by the International Bureau as receiving Office (rather than one month from th e date of receipt of the international application indicated above). If the applicant has requested this receiving Office to prepare and tran smit to the International Bureau a certified copy of any earlier application the priority of which is claimed by marking the check-box pr ovided for in Box No. VI of the request (see Rule 17.1(b)), it remains the applicants responsibility to submit a certified copy of any such earlier application to the International Bureau, or to the International Bureau as receiving Office within the time limit un der Rule 17.1(a). 6. If the applicant does not authorize the transmittal of the international application to the International Bureau as receivi ng Office, this receiving Office will process the application. 7. A copy of this invitation is being sent to the International Bureau as r eceiving Office. Name and mailing address of the receiving Office Authorized officer Facsimile No. Telephone No. Form PCT/RO/152(January 2004)
Related forms
-
Invitation To Furnish Translation Of International Application And To Pay Where Applicable
Cooley IP Forms/US Patent Office/PCT/Receiving Office/ -
Communication In Cases For Which No Other Form Is Applicable
Cooley IP Forms/US Patent Office/PCT/Receiving Office/ -
Communication Regarding Extension Of Time Limit
Cooley IP Forms/US Patent Office/PCT/Receiving Office/ -
Communication Regarding The Right To Practice Before The Receiving Office
Cooley IP Forms/US Patent Office/PCT/Receiving Office/ -
Indication Relating To A Deposited Microorganism
Cooley IP Forms/US Patent Office/PCT/Receiving Office/ -
Invitation To Authorize Transmittal Of Purported International Application
Cooley IP Forms/US Patent Office/PCT/Receiving Office/ -
Invitation To Correct Declarations Made In The Request Under PCT Rule 4.17
Cooley IP Forms/US Patent Office/PCT/Receiving Office/ -
Invitation To Correct Defects In The International Application
Cooley IP Forms/US Patent Office/PCT/Receiving Office/ -
Invitation To Correct Priority Claim
Cooley IP Forms/US Patent Office/PCT/Receiving Office/ -
Invitation To Correct The Purported International Application
Cooley IP Forms/US Patent Office/PCT/Receiving Office/ -
Invitation To Furnish Original Of Document Transmitted By Telegraph Teleprinter Facsimile
Cooley IP Forms/US Patent Office/PCT/Receiving Office/ -
Invitation To Furnish Translation Of International Application And To Pay Where Applicable
Cooley IP Forms/US Patent Office/PCT/Receiving Office/ -
Invitation To Indicate Competent International Preliminary Examining Authority
Cooley IP Forms/US Patent Office/PCT/Receiving Office/ -
Invitation To Pay Fee For Preparation Of Copies
Cooley IP Forms/US Patent Office/PCT/Receiving Office/ -
Invitation To Pay Prescribed Fees Together With Late Payment Fee
Cooley IP Forms/US Patent Office/PCT/Receiving Office/ -
Invitation To Request Rectification
Cooley IP Forms/US Patent Office/PCT/Receiving Office/ -
Notification Concerning Documents Transmitted
Cooley IP Forms/US Patent Office/PCT/Receiving Office/ -
Notification Concerning Expressions Ect Not To Be Used In The International Application
Cooley IP Forms/US Patent Office/PCT/Receiving Office/ -
Notification Concerning Failure To Forward Record Copy And Search Copy
Cooley IP Forms/US Patent Office/PCT/Receiving Office/ -
Notification Concerning Later Submitted Sheets Or Drawings
Cooley IP Forms/US Patent Office/PCT/Receiving Office/ -
Notification Concerning Paper Being Disregarded Or Document
Cooley IP Forms/US Patent Office/PCT/Receiving Office/ -
Notification Concerning Payment Of Prescribed Fees
Cooley IP Forms/US Patent Office/PCT/Receiving Office/ -
Notification Concerning Representation
Cooley IP Forms/US Patent Office/PCT/Receiving Office/ -
Notification Of Date Of Receipt Of Priority Document Or Of Priority Application Number
Cooley IP Forms/US Patent Office/PCT/Receiving Office/ -
Notification Of Decision Concerning Request For Rectification
Cooley IP Forms/US Patent Office/PCT/Receiving Office/ -
Notification Of Decision Not To Issue Declaration That International Application Considered
Cooley IP Forms/US Patent Office/PCT/Receiving Office/ -
Notification Of Defective Power Of Attorney Or Defective Revocation Of Power Of Attorney
Cooley IP Forms/US Patent Office/PCT/Receiving Office/ -
Notification Of Defects With Regard To Correspondence Submitted By The Applicant
Cooley IP Forms/US Patent Office/PCT/Receiving Office/ -
Notification Of Intention To Make Declaration That International Application Considered
Cooley IP Forms/US Patent Office/PCT/Receiving Office/ -
Notification Of Non-Inclusion Of Drawings With The International Application
Cooley IP Forms/US Patent Office/PCT/Receiving Office/ -
Notification Of Receipt Of Papers Purporting To Be An International Application
Cooley IP Forms/US Patent Office/PCT/Receiving Office/ -
Notification Of Refund Of Fees
Cooley IP Forms/US Patent Office/PCT/Receiving Office/ -
Notification Of The International Application Number And Of The International Filing Date
Cooley IP Forms/US Patent Office/PCT/Receiving Office/ -
Notification Of Transmittal Of Demand To The International Bureau Or To The Competent
Cooley IP Forms/US Patent Office/PCT/Receiving Office/ -
Notification Of Transmittal Of Purported International Application To The International
Cooley IP Forms/US Patent Office/PCT/Receiving Office/ -
Notification Of Transmittal Of Requested Documents
Cooley IP Forms/US Patent Office/PCT/Receiving Office/ -
Notification Of Withdrawal
Cooley IP Forms/US Patent Office/PCT/Receiving Office/ -
Notification Regarding Attempted Transmission Of Documents Via Telegraph Teleprinter
Cooley IP Forms/US Patent Office/PCT/Receiving Office/ -
Notification Regarding Certain Corrections Made Ex Officio
Cooley IP Forms/US Patent Office/PCT/Receiving Office/ -
Notification Regarding Receipt Of Documents Via Telegraph Teleprinter Facsimile Machine
Cooley IP Forms/US Patent Office/PCT/Receiving Office/ -
Notification Relating To Priority Claim
Cooley IP Forms/US Patent Office/PCT/Receiving Office/ -
Notification Relating To Requested Documents
Cooley IP Forms/US Patent Office/PCT/Receiving Office/ -
Notification That Demand Considered Not To Have Been Submitted
Cooley IP Forms/US Patent Office/PCT/Receiving Office/ -
Notification That International Application Considered To Be Withdrawn
Cooley IP Forms/US Patent Office/PCT/Receiving Office/ -
Notification That International Application Considered To Be Withdrawn
Cooley IP Forms/US Patent Office/PCT/Receiving Office/ -
Notification That The Purported International Application Is Not And Will Not Be Treated
Cooley IP Forms/US Patent Office/PCT/Receiving Office/ -
Request For The Recording Of A Change
Cooley IP Forms/US Patent Office/PCT/Receiving Office/ -
PCT Request
Cooley IP Forms/US Patent Office/PCT/Receiving Office/ -
Notification Of Decision On Request To Restore Right Of Priority
Cooley IP Forms/US Patent Office/PCT/Receiving Office/ -
Notification Of Intended Refusal Of Request To Restore Right
Cooley IP Forms/US Patent Office/PCT/Receiving Office/ -
Notification On Decision Of Confirmation Of Incorporation By Reference
Cooley IP Forms/US Patent Office/PCT/Receiving Office/ -
Additional Continuation Sheets (For 6 Or More Applicants And-Or Inventors)
Cooley IP Forms/US Patent Office/PCT/Receiving Office/ -
Invitation To Request Omission Of Information From International Publication
Cooley IP Forms/US Patent Office/PCT/Receiving Office/
Form Preview
Contact Us
Success: Your message was sent.
Thank you!




