Last updated: 5/2/2006
Notification That Demand Considered Not To Have Been Submitted {PCT-IB-369}
Start Your Free Trial $ 13.99What you get:
- Instant access to fillable Microsoft Word or PDF forms.
- Minimize the risk of using outdated forms and eliminate rejected fillings.
- Largest forms database in the USA with more than 80,000 federal, state and agency forms.
- Download, edit, auto-fill multiple forms at once in MS Word using our Forms Workflow Ribbon
- Trusted by 1,000s of Attorneys and Legal Professionals
Description
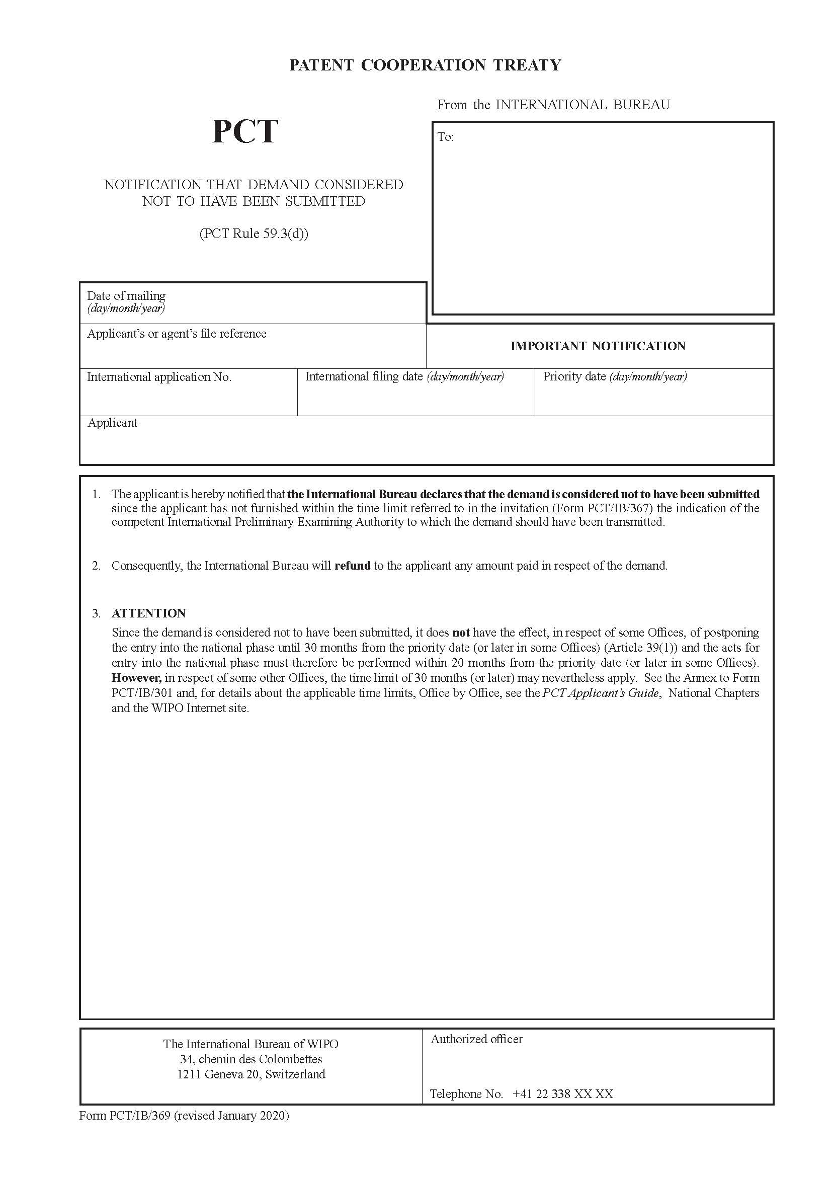
PATENT COOPERATION TREATY From the INTERNATIONAL BUREAU To: PCT NOTIFICATION THAT DEMAND CONSIDERED NOT TO HAVE BEEN SUBMITTED (PCT Rule 59.3(d)) Date of mailing (day/month/year) Applicants or agents file reference IMPORTANT NOTIFICATION International application No. International filing date (day/month/year) Priority date (day/month/year) Applicant 1. The applicant is hereby notified that the International Bureau declares that the demand is considered not to have been submitted since the applicant has not furnished within the time limit referred to in the invitation (Form PCT/IB/367) the indication of the competent International Preliminary Examining Authority to which the demand should have been transmitted. 2. Consequently, the International Bureau will refund to the applicant any amount paid in respect of the demand. 3. ATTENTION Since the demand is considered not to have been submitted, it does not have the effect, in respect of some Offices, of postponing the entry into the national phase until 30 months from the priority date (or later in some Offices) (Article 39(1)) and the acts for entry into the national phase must therefore be performed within 20 months from the priority date (or later in some Offices). However, in respect of some other Offices, the time limit of 30 months (or later) may nevertheless apply. See the Annex to Form PCT/IB/301 and, for details about the applicable time limits, Office by Office, see the PCT Applicants Guide, Volume II, National Chapters and the WIPO Internet site. The International Bureau of WIPO Authorized officer 34, chemin des Colombettes, 1211 Geneva 20, Switzerland Facsimile No. +41 22 740 14 35 Telephone No. +41 22 338 XX XXForm PCT/IB/369 (April 2002; reprint January 2004)
Related forms
-
Communication In Cases For Which No Other Form Is Applicable
Cooley IP Forms/US Patent Office/PCT/International Bureau/ -
Communication Of International Applications
Cooley IP Forms/US Patent Office/PCT/International Bureau/ -
First Notice Informing The Applicant Of The Communication Of The International Application
Cooley IP Forms/US Patent Office/PCT/International Bureau/ -
Furnishing Of Copies Of Priority Documents
Cooley IP Forms/US Patent Office/PCT/International Bureau/ -
International Application Status Form (IASF)
Cooley IP Forms/US Patent Office/PCT/International Bureau/ -
International Preliminary Report On Patentability
Cooley IP Forms/US Patent Office/PCT/International Bureau/ -
Invitation To Correct Declarations Made In The Request Under PCT Rule 4.17
Cooley IP Forms/US Patent Office/PCT/International Bureau/ -
Invitation To Correct Priority Claim
Cooley IP Forms/US Patent Office/PCT/International Bureau/ -
Invitation To Furnish Original Of Document Transmitted By Telegraph Teleprinter Facsimile
Cooley IP Forms/US Patent Office/PCT/International Bureau/ -
Invitation To Indicate Competent International Preliminary Examing Authority
Cooley IP Forms/US Patent Office/PCT/International Bureau/ -
Invitation To Request Rectification
Cooley IP Forms/US Patent Office/PCT/International Bureau/ -
Notice Of Withdrawal
Cooley IP Forms/US Patent Office/PCT/International Bureau/ -
Notification Concerning Copies Of Documents In The File
Cooley IP Forms/US Patent Office/PCT/International Bureau/ -
Notification Concerning Documents Transmitted
Cooley IP Forms/US Patent Office/PCT/International Bureau/ -
Notification Concerning Transmittal Of Copy Of International Preliminary Report
Cooley IP Forms/US Patent Office/PCT/International Bureau/ -
Notification Concerning Written Opinion Of International Searching Authority
Cooley IP Forms/US Patent Office/PCT/International Bureau/ -
Notification Of Defective Power Of Attorney Or Defective Revocation Of Power Of Attorney
Cooley IP Forms/US Patent Office/PCT/International Bureau/ -
Notification Of Transmittal Of Demand To The Competent International Preliminary
Cooley IP Forms/US Patent Office/PCT/International Bureau/ -
Notification That Demand Considered Not To Have Been Submitted
Cooley IP Forms/US Patent Office/PCT/International Bureau/ -
Notification That Demand Is Considered Not To Have Been Submitted Or Made
Cooley IP Forms/US Patent Office/PCT/International Bureau/ -
Request For The Production Of Proof
Cooley IP Forms/US Patent Office/PCT/International Bureau/ -
Notifcation Of Decision Concerning Request For Rectification
Cooley IP Forms/US Patent Office/PCT/International Bureau/ -
Notifcation Of Defects In The International Application
Cooley IP Forms/US Patent Office/PCT/International Bureau/ -
Notification Concerning Copies Of Documents In The File
Cooley IP Forms/US Patent Office/PCT/International Bureau/ -
Notification Concerning Paper Being Disregarded Or Document Considered
Cooley IP Forms/US Patent Office/PCT/International Bureau/ -
Notification Concerning Submission Or Transmittal Of Priority Document
Cooley IP Forms/US Patent Office/PCT/International Bureau/ -
Notification Concerning The Filing Of Amendments Of The Claims
Cooley IP Forms/US Patent Office/PCT/International Bureau/ -
Notification Of Cancellation Of Designation Or Elections
Cooley IP Forms/US Patent Office/PCT/International Bureau/ -
Notification Of Defects In Demand
Cooley IP Forms/US Patent Office/PCT/International Bureau/ -
Notification Of Defects With Regard To Correspondence Submitted By Applicant
Cooley IP Forms/US Patent Office/PCT/International Bureau/ -
Notification Of Election
Cooley IP Forms/US Patent Office/PCT/International Bureau/ -
Notification Of Facts Which Should Have Precluded The According Of An International Filing
Cooley IP Forms/US Patent Office/PCT/International Bureau/ -
Notification Of Late Submission Of Application Number Of Earlier Application
Cooley IP Forms/US Patent Office/PCT/International Bureau/ -
Notification Of Receipt Of Record Copy
Cooley IP Forms/US Patent Office/PCT/International Bureau/ -
Notification Of The Recording Of A Change
Cooley IP Forms/US Patent Office/PCT/International Bureau/ -
Notification Of Transmittal Of Copies Of Translation Of The International Preliminary Report
Cooley IP Forms/US Patent Office/PCT/International Bureau/ -
Notification Of Transmittal Of Copies Of Translation Of The Written Opinion
Cooley IP Forms/US Patent Office/PCT/International Bureau/ -
Notification Of Withdrawal Of Demand Or Elections
Cooley IP Forms/US Patent Office/PCT/International Bureau/ -
Notification Of Withdrawal Of International Application Or Designations
Cooley IP Forms/US Patent Office/PCT/International Bureau/ -
Notification Of Withdrawal Of Priority Claim
Cooley IP Forms/US Patent Office/PCT/International Bureau/ -
Notification Regarding Attempted Transmission Of Documents Via Telegraph Teleprinter
Cooley IP Forms/US Patent Office/PCT/International Bureau/ -
Notification Relating To Declaration Made Under Rule 4.17
Cooley IP Forms/US Patent Office/PCT/International Bureau/ -
Notification Relating To Priority Claim
Cooley IP Forms/US Patent Office/PCT/International Bureau/ -
Notification That Copy Of Priority Document Will Not Be Furnished
Cooley IP Forms/US Patent Office/PCT/International Bureau/ -
Notification That International Application Considered To Be Withdrawn
Cooley IP Forms/US Patent Office/PCT/International Bureau/ -
Second And Supplementary Notice Informing The Applicant Of The Communication
Cooley IP Forms/US Patent Office/PCT/International Bureau/ -
Transmittal Of Copies Of Priority Documents
Cooley IP Forms/US Patent Office/PCT/International Bureau/ -
Information Concerning Elected Offices Notified Of Their Election
Cooley IP Forms/US Patent Office/PCT/International Bureau/ -
Notification Concerning Availability Of The Publication Of The International Application
Cooley IP Forms/US Patent Office/PCT/International Bureau/ -
Invitation To Correct Defects In The Supplementary Search Request
Cooley IP Forms/US Patent Office/PCT/International Bureau/ -
Notification Concerning Representation
Cooley IP Forms/US Patent Office/PCT/International Bureau/ -
Invitation To Pay Prescribed Fees Together With Late Payment Fee
Cooley IP Forms/US Patent Office/PCT/International Bureau/ -
Notification Of Receipt Of Supplementary Search Request And Payment
Cooley IP Forms/US Patent Office/PCT/International Bureau/ -
Notification That Supplementary Search Request Is Considered Not To Have Been Submitted
Cooley IP Forms/US Patent Office/PCT/International Bureau/ -
Supplementary Search Request
Cooley IP Forms/US Patent Office/PCT/International Bureau/ -
Notification Of Refund Of Fees Concerning Supplementary International Search
Cooley IP Forms/US Patent Office/PCT/International Bureau/ -
Request For Indication Of Availability For Licensing Purposes
Cooley IP Forms/US Patent Office/PCT/International Bureau/ -
Notification Of Decision Not To Omit Information From International Publication
Cooley IP Forms/US Patent Office/PCT/International Bureau/ -
Notification Of Decision To Omit Information From International Publication
Cooley IP Forms/US Patent Office/PCT/International Bureau/ -
Invitation For Omission Of Information From International Publication
Cooley IP Forms/US Patent Office/PCT/International Bureau/ -
Invitation To Request Omission Of Information From International Publication
Cooley IP Forms/US Patent Office/PCT/International Bureau/ -
Notification Concerning Expressions Etc Not To Be Used In The International Application
Cooley IP Forms/US Patent Office/PCT/International Bureau/
Form Preview
Contact Us
Success: Your message was sent.
Thank you!




