2548. Disability Discrimination-Refusal To Make Reasonable Accommodation In Housing | Pdf Docx | Jury Instructions

 California Jury Instructions   25 Fair Employment And Housing Act 
2548. Disability Discrimination-Refusal To Make Reasonable Accommodation In Housing | Pdf Docx | Jury Instructions

Last updated: 12/23/2025

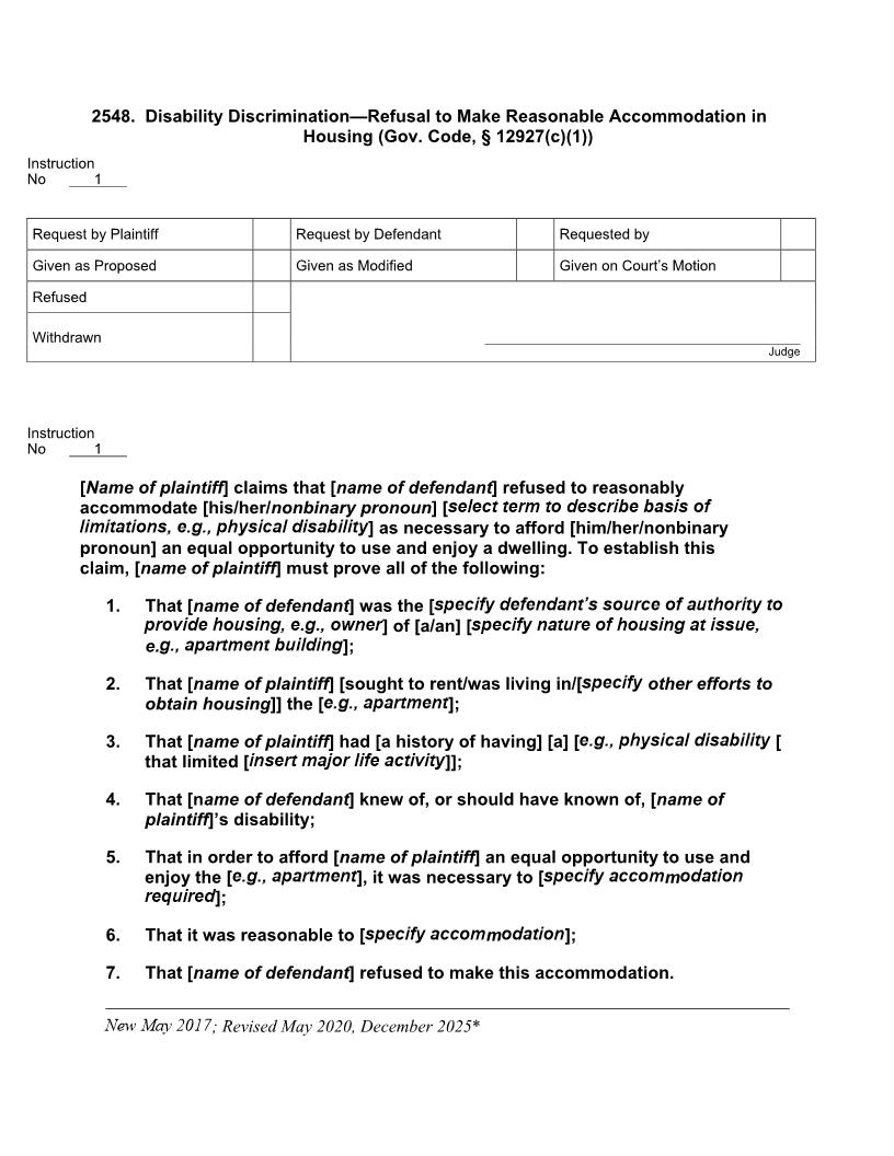
2548. Disability Discrimination-Refusal To Make Reasonable Accommodation In Housing

Start Your Free Trial $ 13.99
200 Ratings
What you get:
  • Instant access to fillable Microsoft Word or PDF forms.
  • Minimize the risk of using outdated forms and eliminate rejected fillings.
  • Largest forms database in the USA with more than 80,000 federal, state and agency forms.
  • Download, edit, auto-fill multiple forms at once in MS Word using our Forms Workflow Ribbon
  • Trusted by 1,000s of Attorneys and Legal Professionals

Description

select term to describe basis of limitations, e.g., physical disability specify defendant222s source of authoritytoprovide housing, e.g., ownerspecify nature of housing atissue,g., apartment buildingspecify e.g., apartmente.g., physicaldisabilityinsert major life activitye.g., apartmentspecify accomodationrequiredspecify accomodationNew May 2017

Related forms

Our Products