California Jury Instructions
18 Right Of Privacy
200 Ratings
Last updated: 8/28/2025
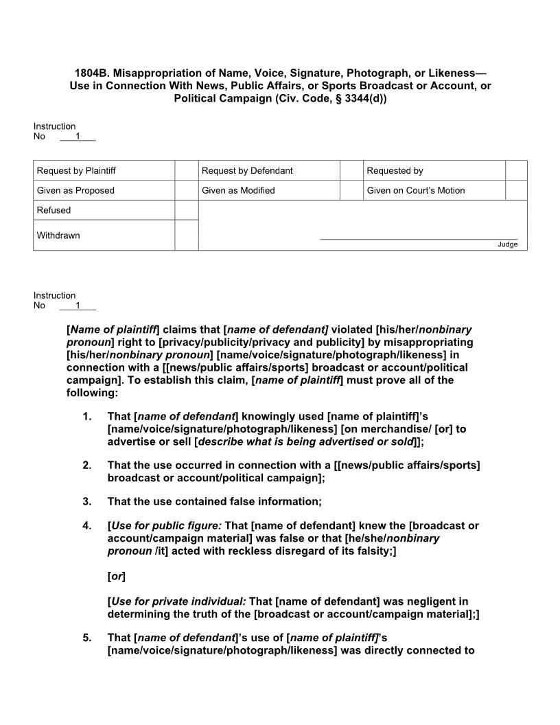
1804B. Misappropriation Of Name Voice Signature Photograph Likeness Broadcast Account Campaign
Start Your Free Trial $ 6.00What you get:
- Instant access to fillable Microsoft Word or PDF forms.
- Minimize the risk of using outdated forms and eliminate rejected fillings.
- Largest forms database in the USA with more than 80,000 federal, state and agency forms.
- Download, edit, auto-fill multiple forms at once in MS Word using our Forms Workflow Ribbon
- Trusted by 1,000s of Attorneys and Legal Professionals
Description
Related forms
-
1820. Damages
California Jury Instructions/18 Right Of Privacy/ -
1821. Damages For Use Of Name Or Likeness (Civ. Code 3344(a))
California Jury Instructions/18 Right Of Privacy/ -
1813. Definition Of Access (Pen. Code, § 502(b)(1))
California Jury Instructions/18 Right Of Privacy/ -
1812. Comprehensive Computer Data Access Fraud Act Essential Factual Els (Pen. Code, § 502)
California Jury Instructions/18 Right Of Privacy/ -
1814. Damages For Investigating Violations Comprehensive Computer Data Access Fraud Act
California Jury Instructions/18 Right Of Privacy/ -
1801. Public Disclosure of Private Facts
California Jury Instructions/18 Right Of Privacy/ -
1802. False Light
California Jury Instructions/18 Right Of Privacy/ -
1806. Affirmative Defense to Invasion of Privacy First Amendment Balancing Test Public Interest
California Jury Instructions/18 Right Of Privacy/ -
1807. Affirmative Defense Invasion of Privacy Justified
California Jury Instructions/18 Right Of Privacy/ -
1809. Recording of Confidential Information (Pen. Code, 632, 637.2)
California Jury Instructions/18 Right Of Privacy/ -
1800. Intrusion Into Private Affairs
California Jury Instructions/18 Right Of Privacy/ -
1810. Distribution of Private Sexually Explicit Materials Essential Factual Elements
California Jury Instructions/18 Right Of Privacy/ -
VF 1800. Privacy Intrusion Into Private Affairs
California Jury Instructions/18 Right Of Privacy/ -
VF 1801. Privacy Public Disclosure of Private Facts
California Jury Instructions/18 Right Of Privacy/ -
VF 1802. Privacy False Light
California Jury Instructions/18 Right Of Privacy/ -
VF 1807. Privacy Recording of Confidential Information (Pen. Code, 632, 637.2)
California Jury Instructions/18 Right Of Privacy/ -
1803. Misappropriation Of Name Likeness Or Identity Essential Factual Elements
California Jury Instructions/18 Right Of Privacy/ -
1804B. Misappropriation Of Name Voice Signature Photograph Likeness Broadcast Account Campaign
California Jury Instructions/18 Right Of Privacy/ -
1804A. Misappropriation Of Name Voice Signature Photograph Or Likeness
California Jury Instructions/18 Right Of Privacy/ -
1805. Affirmative Defense To Misappropriation Of Name Voice Signature Photograph Or Likeness First Amendment (Comedy III)
California Jury Instructions/18 Right Of Privacy/ -
VF 1803. Privacy Misappropriation Of Name Likeness Or Identity
California Jury Instructions/18 Right Of Privacy/ -
VF 1804. Privacy Misappropriation Of Name Voice Signature Photograph Or Likeness
California Jury Instructions/18 Right Of Privacy/
Form Preview
Sorry, we couldn't download the pdf file.
Our Products
Contact Us
Success: Your message was sent.
Thank you!




