Last updated: 8/18/2025
Affidavit Of Claim For Tax Deed Sale Surplus Funds
Start Your Free Trial $ 6.00What you get:
- Instant access to fillable Microsoft Word or PDF forms.
- Minimize the risk of using outdated forms and eliminate rejected fillings.
- Largest forms database in the USA with more than 80,000 federal, state and agency forms.
- Download, edit, auto-fill multiple forms at once in MS Word using our Forms Workflow Ribbon
- Trusted by 1,000s of Attorneys and Legal Professionals
Description
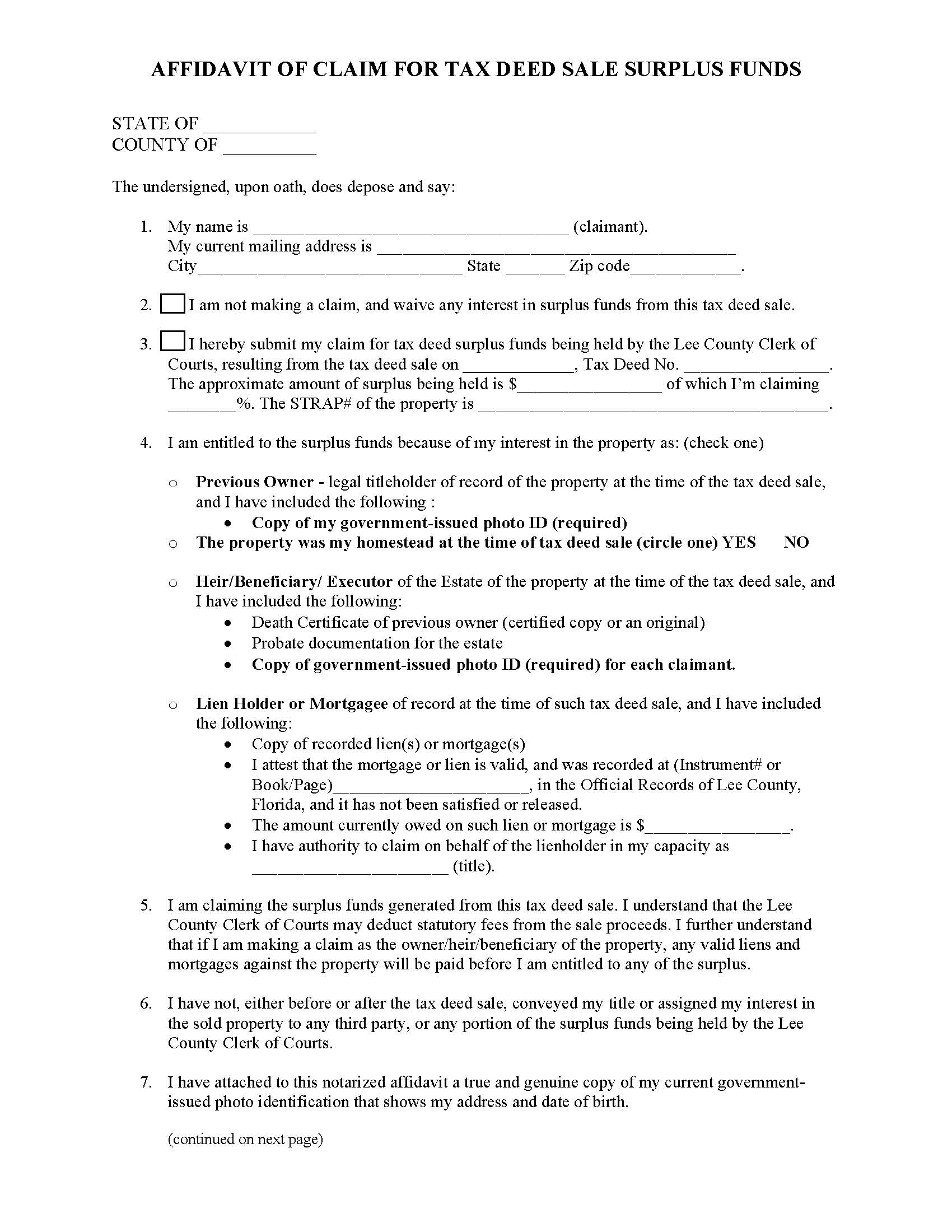
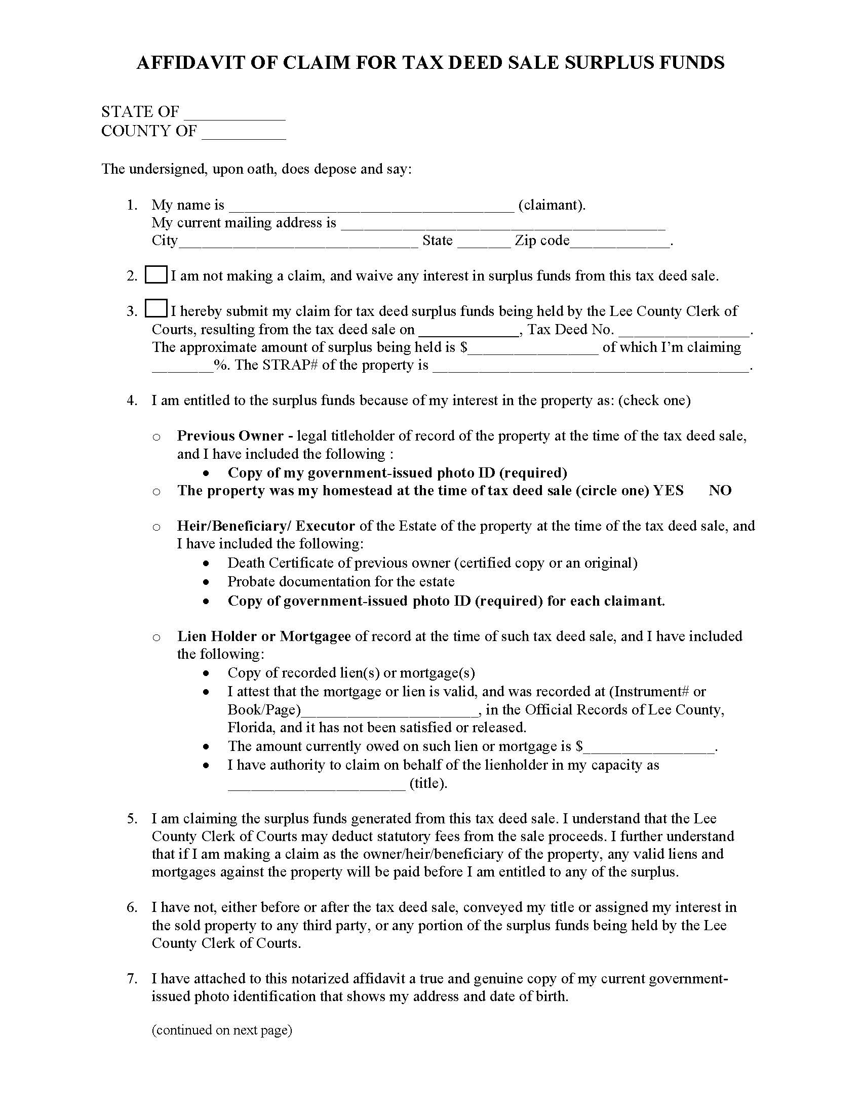
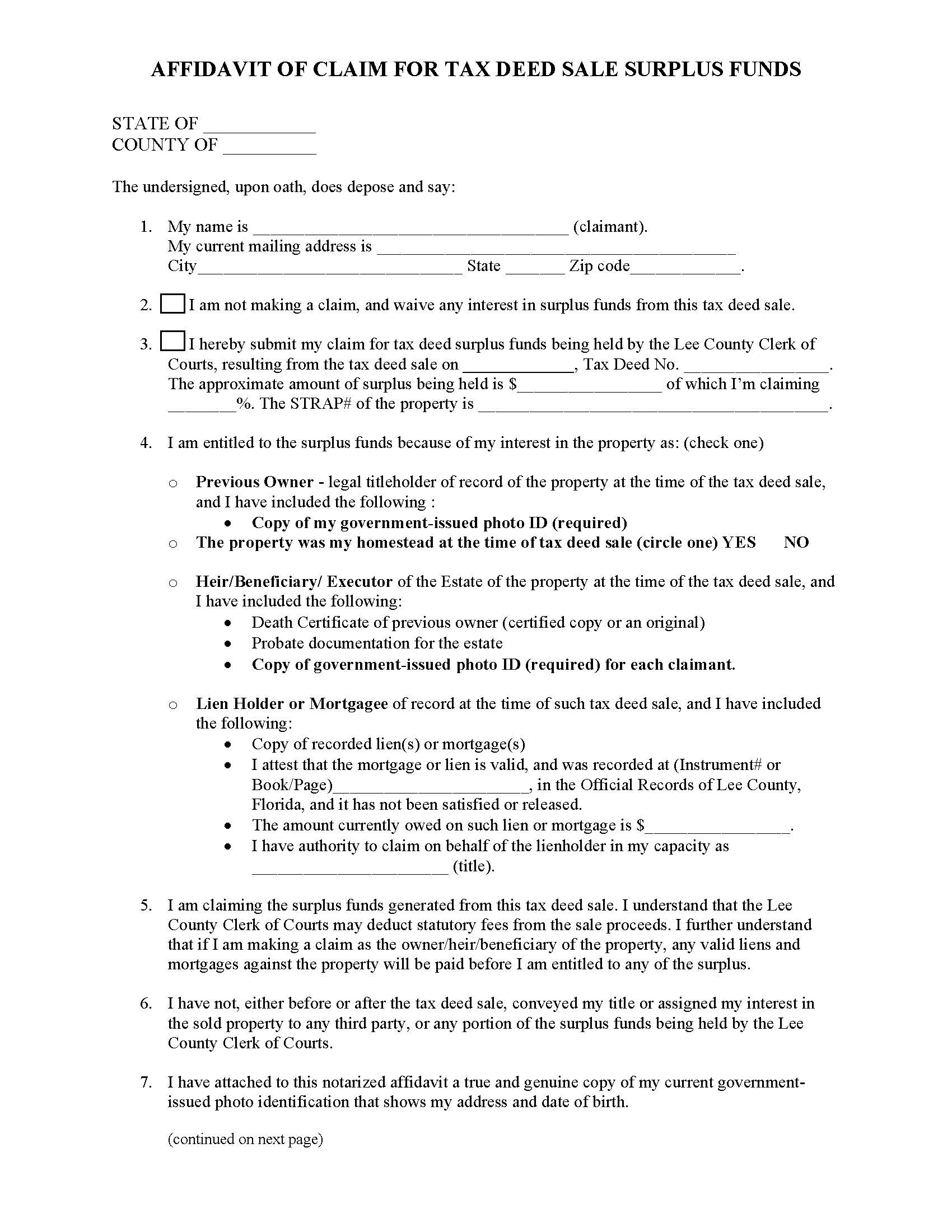
AFFIDAVIT OF CLAIM FOR TAX DEED SALE SURPLUS FUNDS. This form is used by individuals or entities to claim surplus funds that remain after a tax deed sale conducted by the Lee County Clerk of Courts. When a property is sold at a tax deed sale for unpaid property taxes, the sale price may exceed the amount owed in taxes, fees, and costs. Any excess money, called surplus funds, may be claimed by parties with a legal interest in the property. This affidavit allows claimants—such as the previous property owner, heirs or beneficiaries of a deceased owner, or lienholders/mortgagees of record—to formally request the release of those funds. The form requires claimants to provide identifying information, supporting documentation (such as a government-issued photo ID, death certificate, probate records, or lien documents), and to state their legal basis for entitlement. By signing, the claimant affirms under oath that they are legally entitled to the surplus and acknowledges responsibility for repayment if funds are later found to have been disbursed in error. The form must be notarized, witnessed, and accompanied by all required documentation to be valid. www.FormsWorkflow.com
Related forms
-
Notice Of Dropping Party By Plaintiff
Florida/Local County/Lee/Civil/ -
Satisfaction Of Judgment
Florida/2 Local County/Lee/Civil/ -
Notice Of Confidential Information Within Court Filing
Florida/2 Local County/Lee/Civil/ -
Simplified Accounting (Guardianship Report) Of Guardian Of Property
Florida/2 Local County/Lee/Civil/ -
Statement Of Claim (Probate)
Florida/2 Local County/Lee/Civil/ -
Acknowledgment Of Proposed Guardian Of A Minors Property
Florida/2 Local County/Lee/Civil/ -
Acknowledgment Of Counsel For Proposed Guardian Of A Minors Property
Florida/2 Local County/Lee/Civil/ -
Order Granting Leave To Withdraw As Attorney Of Record (Judge Fuller)
Florida/2 Local County/Lee/Civil/ -
Order Rolling Trial To (Date After) Resumption Of Trials (Judge K Kyle)
Florida/2 Local County/Lee/Civil/ -
Order Approving Settlement Dismissal With Prejudice Reserving Jurisdiction (Judge K Kyle)
Florida/2 Local County/Lee/Civil/ -
Stipulation For Pretrial Order And Pretrial Conference Order (Judge Steinbeck)
Florida/2 Local County/Lee/Civil/ -
Civil Pretrial Conference Catalogue (Uniform PC Order) (Judge Steinbeck)
Florida/2 Local County/Lee/Civil/ -
PIP Standard Stipulation Waive Pre-Trial Appearance PC Order (SC) (Judge Gagliardi)
Florida/2 Local County/Lee/Civil/ -
Agreement And Order (Judge Paluck)
Florida/2 Local County/Lee/Civil/ -
PIP Standard Stipulation Waive Pre-Trial Appearance PC Order (SC) (Judge Gill)
Florida/2 Local County/Lee/Civil/ -
Judgment For Possession Unlawful Detainer
Florida/2 Local County/Lee/Civil/ -
Uniform Order Setting Pretrial Conference (Approved Case Management Plan)
Florida/2 Local County/Lee/Civil/ -
Agreed Case Management Plan And Order
Florida/2 Local County/Lee/Civil/ -
Uniform Order Setting Pretrial Conference (Notice For Trial)
Florida/2 Local County/Lee/Civil/ -
Motion For Status Conference (Supervised Parenting Time) (Judge Schreiber)
Florida/2 Local County/Lee/Civil/ -
Order For Supervised Parenting Time And Appointing FRC (Judge Schreiber)
Florida/2 Local County/Lee/Civil/ -
Pretrial-Prehearing Order For Evidentiary Hearings-Trials (Judge Schreiber)
Florida/2 Local County/Lee/Civil/ -
Motion To Reopen And For Modification Of Permanency Order (Judge Swift)
Florida/2 Local County/Lee/Civil/ -
Designation Of Current Mailing And E-Mail Address
Florida/2 Local County/Lee/Civil/ -
Notice Regarding Foreclosure Lawsuits (To Be Served With Summons - Lee)
Florida/2 Local County/Lee/Civil/ -
PIP Standard Stipulation Waive Pre-Trial Appearance PC Order (SC) (Judge Paluck)
Florida/2 Local County/Lee/Civil/ -
Order Granting Motion For Telephonic Hearing (Judge Laboda)
Florida/2 Local County/Lee/Civil/ -
Eviction Summons For Possession And Damages
Florida/2 Local County/Lee/Civil/ -
Eviction Summons For Back Rent And Damages
Florida/2 Local County/Lee/Civil/ -
Subpoena Duces Tecum For Trial
Florida/Local County/Lee/Civil/ -
Subpoena For Trial
Florida/Local County/Lee/Civil/ -
Eviction Summons - Residential
Florida/Local County/Lee/Civil/ -
Crossclaim Summons
Florida/Local County/Lee/Civil/ -
Subpoena Duces Tecum For Deposition
Florida/Local County/Lee/Civil/ -
Summons General Form
Florida/Local County/Lee/Civil/ -
Subpoena For Deposition
Florida/Local County/Lee/Civil/ -
Subpoena Duces Tecum Without Deposition
Florida/Local County/Lee/Civil/ -
Order-Referral To Nonbinding Arbitration (Judge K Kyle)
Florida/2 Local County/Lee/Civil/ -
Affidavit Of Non-Military Service (Unlawful Detainer)
Florida/2 Local County/Lee/Civil/ -
Complaint For Unlawful Detainer
Florida/2 Local County/Lee/Civil/ -
Motion For Default
Florida/2 Local County/Lee/Civil/ -
Unlawful Detainer Summons (Claim For Possession Of Premises)
Florida/2 Local County/Lee/Civil/ -
Writ Of Possession
Florida/2 Local County/Lee/Civil/ -
Order (Blank Family)
Florida/Local County/Lee/Civil/ -
Request To Remove Information From Public Inspection
Florida/Local County/Lee/Civil/ -
Motion To Determine Confidentiality Of Court Records
Florida/Local County/Lee/Civil/ -
Notice Of Confidential Crime Victim Information Within Court Filing
Florida/Local County/Lee/Civil/ -
Order Of Referral To Magistrate (Judge Adams)
Florida/Local County/Lee/Civil/ -
Petition And Affidavit Seeking Ex Parte Order Requiring Involuntary Examination
Florida/Local County/Lee/Civil/ -
Summons To Appear For Pretrial Conference-Mediation
Florida/Local County/Lee/Civil/ -
Stipulation To Conduct Non-Binding Arbitration Via Remote Means And Order
Florida/Local County/Lee/Civil/ -
Stipulation To Conduct Mediation Via Remote Means And Order
Florida/Local County/Lee/Civil/ -
Order Setting Evidentiary Hearing (Judge K Kyle)
Florida/2 Local County/Lee/Civil/ -
Pretrial Conference Order (Uniform)
Florida/Local County/Lee/Civil/ -
Pretrial Conference-Trial Order (Judge Kyle)
Florida/Local County/Lee/Civil/ -
Order Scheduling Case Management Conference
Florida/2 Local County/Lee/Civil/ -
Order (Blank Civil)
Florida/2 Local County/Lee/Civil/ -
Bidder Deposit Form
Florida/Local County/Lee/Civil/ -
Claim Of Exemption And Request For Hearing
Florida/Local County/Lee/Civil/ -
Owners Claim For Mortgage Foreclosure Surplus
Florida/Local County/Lee/Civil/ -
Out Of County Service Request Form
Florida/Local County/Lee/Civil/ -
Complaint To Quiet Title (Wild Deed)
Florida/Local County/Lee/Civil/ -
Affidavit Of Diligent Search (To Quiet Title Fraudulent Conveyance)
Florida/Local County/Lee/Civil/ -
Complaint To Quiet Title (Forged Deed)
Florida/Local County/Lee/Civil/ -
Notice Of Action (To Quiet Title Based On Fraudulent Conveyance)
Florida/Local County/Lee/Civil/ -
Order To Quiet Title Based On A Fraudulent Conveyance
Florida/Local County/Lee/Civil/ -
Value Of Real Property Or Mortgage Foreclosure Claim
Florida/Local County/Lee/Civil/ -
Motion (Blank - County Civil)
Florida/Local County/Lee/Civil/ -
Complaint For Replevin For Goods Held By A Secondhand Dealer
Florida/Local County/Lee/Civil/ -
Affidavit Of Ownership Notice To Parties Affidavit Of Owner And Consent
Florida/Local County/Lee/Civil/ -
Motion For Default For Failure To Deposit Rent Residential Eviction
Florida/Local County/Lee/Civil/ -
Motion To Disburse Rent
Florida/Local County/Lee/Civil/ -
Order Granting Motion To Disburse Rent
Florida/Local County/Lee/Civil/ -
Notice Of Dismissal By Plaintiff (Eviction)
Florida/Local County/Lee/Civil/ -
Petition For Issuance Of Vehicular Title
Florida/Local County/Lee/Civil/ -
Clerks Certificate Of Mailing (Eviction Summons And Complaint)
Florida/Local County/Lee/Civil/ -
Statement Of Claim For Return Of Property From Pawnbroker
Florida/Local County/Lee/Civil/ -
Summons For Complaint To Quiet Title Fraudulent Conveyance. (Personal Service)pdf
Florida/Local County/Lee/Civil/ -
Affidavit (Balance Due On Stipulation Or CDS Agreement Small Claims)
Florida/Local County/Lee/Civil/ -
Counterclaim (Small Claims)
Florida/Local County/Lee/Civil/ -
Statement Of Claim (Small Claims)
Florida/Local County/Lee/Civil/ -
Order Granting Leave To Withdraw And Setting CMC (Judge K. Kyle)
Florida/Local County/Lee/Civil/ -
Order Directing Zoom Hearing (Judge Laboda)
Florida/Local County/Lee/Civil/ -
Order Granting Leave To Withdraw As Attorney Of Record (Judge Shenko)
Florida/Local County/Lee/Civil/ -
Motion For Contempt (Baker Act)
Florida/Local County/Lee/Civil/ -
Quit Claim Deed
Florida/Local County/Lee/Civil/ -
Declaration Of Domicile
Florida/Local County/Lee/Civil/ -
Default As To Failure To Deposit Rent Residential Eviction
Florida/Local County/Lee/Civil/ -
Statement Of Claim Replevin Action Alternatively Claim For Damages
Florida/Local County/Lee/Civil/ -
Assignment Of Interest In Tax Deed Sale Surplus Proceeds
Florida/Local County/Lee/Civil/ -
Affidavit Of Surviving Spouse Claim For Tax Deed Sale Surplus Funds
Florida/Local County/Lee/Civil/ -
Notice Of Hearing (Motion To Reopen Permanency Order) (Judge Perez)
Florida/2 Local County/Lee/Civil/ -
Order Of Referral To General Magistrate (Civil)
Florida/Local County/Lee/Civil/ -
Motion To Reopen And For Modification Of Permanency Order (Judge Perez)
Florida/2 Local County/Lee/Civil/ -
Notice Of Hearing (Motion To Reopen Permanency Order) (Judge Swift)
Florida/2 Local County/Lee/Civil/ -
Notice Order Setting Evidentiary Final Hearing-Trial (Default) (Judge K Kyle)
Florida/2 Local County/Lee/Civil/ -
Order Granting Leave To Withdraw As Attorney Of Record (Judge K. Kyle)
Florida/2 Local County/Lee/Civil/ -
Order Granting Leave To Withdraw As Attorney Of Record (Judge Laboda)
Florida/2 Local County/Lee/Civil/ -
Order Of Referral To Magistrate (Family)
Florida/2 Local County/Lee/Civil/ -
Recording Transmittal
Florida/2 Local County/Lee/Civil/ -
Summons - Personal Service On Natural Person
Florida/Local County/Lee/Civil/ -
Third Party Summons
Florida/Local County/Lee/Civil/ -
Uniform Pretrial Conference Trial Order
Florida/2 Local County/Lee/Civil/ -
Request To Release Redacted Information On Recorded Documents
Florida/Local County/Lee/Civil/ -
Affidavit Of Claim For Tax Deed Sale Surplus Funds
Florida/Local County/Lee/Civil/
Form Preview
Contact Us
Success: Your message was sent.
Thank you!




