Last updated: 8/29/2025
Improper Practice Charge
Start Your Free Trial $ 13.99What you get:
- Instant access to fillable Microsoft Word or PDF forms.
- Minimize the risk of using outdated forms and eliminate rejected fillings.
- Largest forms database in the USA with more than 80,000 federal, state and agency forms.
- Download, edit, auto-fill multiple forms at once in MS Word using our Forms Workflow Ribbon
- Trusted by 1,000s of Attorneys and Legal Professionals
Description
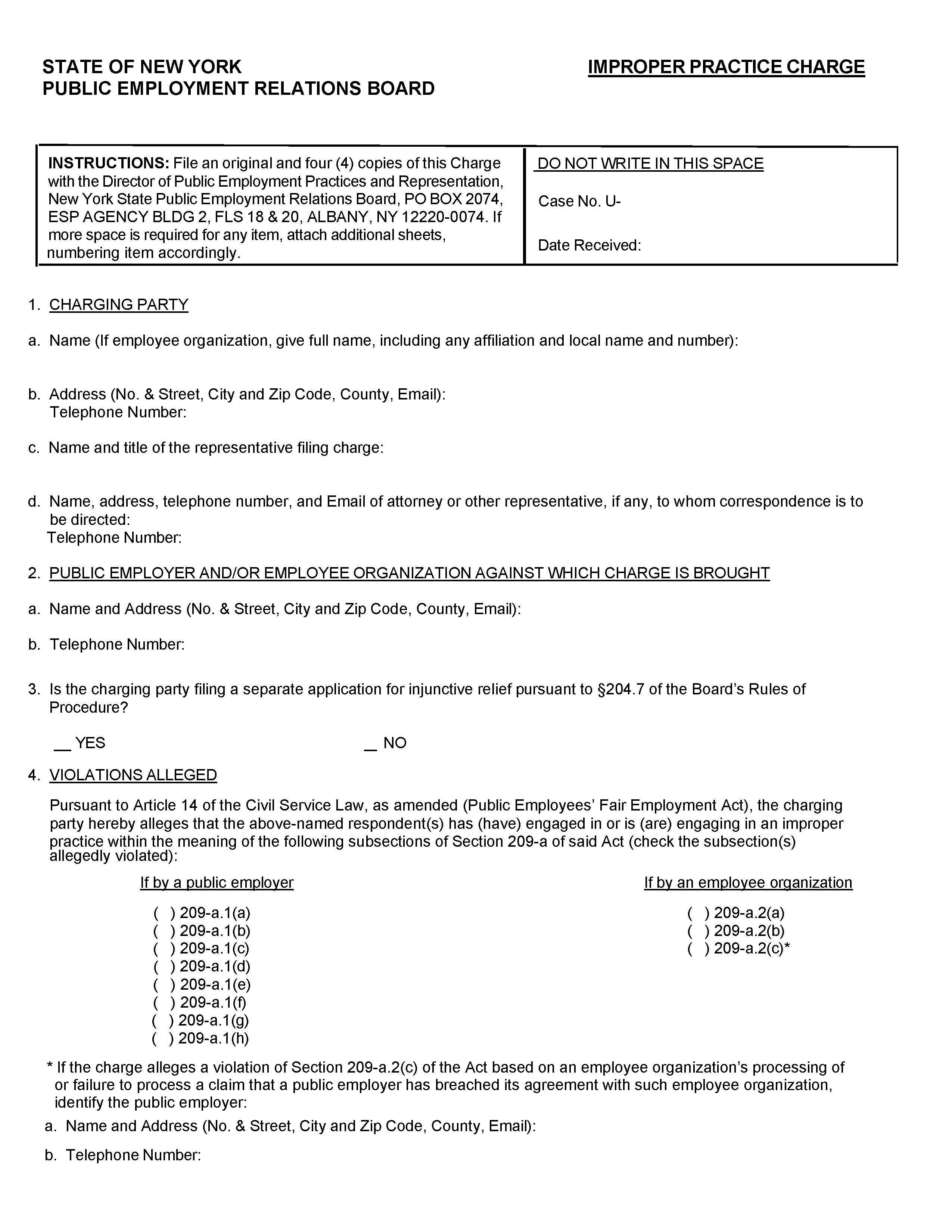
PERB 579 - IMPROPER PRACTICE CHARGE. This form is used with the New York State Public Employment Relations Board (PERB) to allege violations of the Public Employees’ Fair Employment Act (Taylor Law) under Article 14 of the Civil Service Law. It is filed by an employee organization, individual, or public employer claiming that another party has engaged in unlawful practices, such as interfering with protected rights, refusing to negotiate in good faith, discriminating against employees for union activity, or breaching statutory obligations. The form requires identification of the charging party and the respondent, details about the alleged violations—including specific names, dates, actions, and circumstances—and a clear citation of the statutory provisions claimed to have been violated under Section 209-a. In some cases, the form may also note whether the charging party is seeking injunctive relief or has declared an impasse in negotiations. www.FormsWorkflow.com





