Last updated: 6/20/2025
Bankruptcy Dispute Resolution Program Questionnaire {EDC 3-079}
Start Your Free Trial $ 17.99What you get:
- Instant access to fillable Microsoft Word or PDF forms.
- Minimize the risk of using outdated forms and eliminate rejected fillings.
- Largest forms database in the USA with more than 80,000 federal, state and agency forms.
- Download, edit, auto-fill multiple forms at once in MS Word using our Forms Workflow Ribbon
- Trusted by 1,000s of Attorneys and Legal Professionals
Description
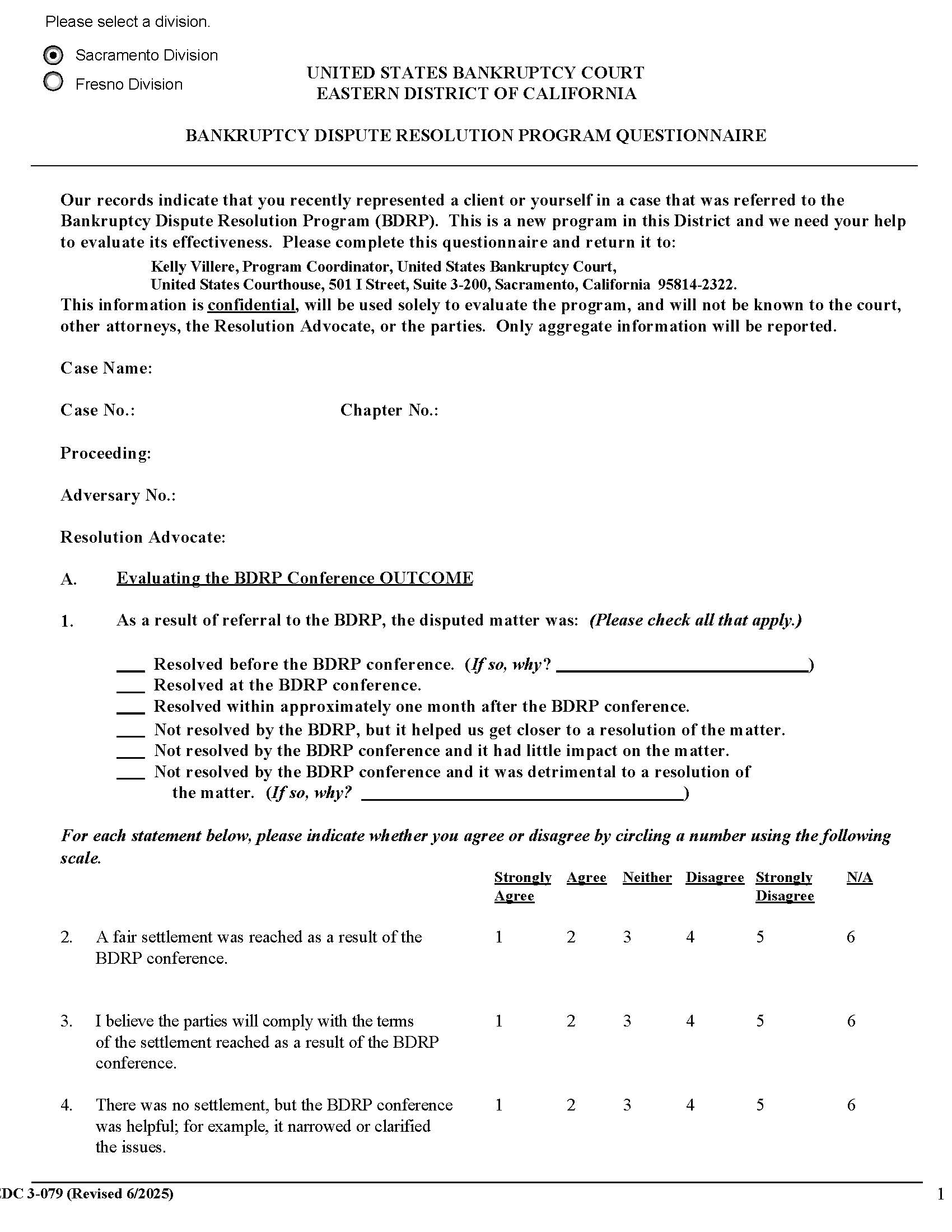
EDC 3-079 - BANKRUPTCY DISPUTE RESOLUTION PROGRAM QUESTIONNAIRE. This form is used in the United States Bankruptcy Court, Eastern District of California to evaluate the effectiveness of the BDRP, a new program aimed at resolving bankruptcy disputes outside of traditional litigation. Parties who have recently participated in the BDRP are asked to complete this confidential questionnaire, which assesses the outcomes and process of the BDRP conference, the performance of the Resolution Advocate, and the overall satisfaction with the program. The collected information helps the court improve the BDRP and is reported in aggregate to maintain confidentiality. The questionnaire includes sections on case details, evaluation of the BDRP conference, the resolution advocate, and additional comments. www.FormsWorkflow.com
Related forms
-
Application And Declaration Re Additional Fees And Expenses In Chapter 13 Cases
California/Federal/USBC Eastern/EDC Forms/ -
Certificate Re BDRP Conference
California/Federal/USBC Eastern/EDC Forms/ -
Debtors Tabulation Of Ballots
California/Federal/USBC Eastern/EDC Forms/ -
Declaration Requesting Entry Of Order Confirming Chapter 13 Plan Without Chapter 13 Trustees Approval
California/Federal/USBC Eastern/EDC Forms/ -
Order Appointing Resolution Advocate And Assignment To The Bankruptcy Dispute Resolution Program
California/Federal/USBC Eastern/EDC Forms/ -
Report Of BDRP Conference
California/Federal/USBC Eastern/EDC Forms/ -
Requests By Mail Or Fax Bankruptcy Case Files Only
California/Federal/USBC Eastern/EDC Forms/ -
Review Of US Court Records At The Office Of Regional Records Services
California/Federal/USBC Eastern/EDC Forms/ -
Rights And Responsibilities Of Chapter 13 Debtors And Their Attorneys
California/Federal/USBC Eastern/EDC Forms/ -
Notice To Attorneys And Trustees
California/Federal/USBC Eastern/EDC Forms/ -
Spousal Waiver Of Right To Claim Exemptions Pursuant To CCP 703.140 (a)(2)
California/Federal/USBC Eastern/EDC Forms/ -
Relief From Stay Information Sheet
California/Federal/USBC Eastern/EDC Forms/ -
Statement Regarding Ownership Of Corporate Debtor-Party
California/Federal/USBC Eastern/EDC Forms/ -
Order Granting Exemption From Payment Of Electronic Public Access User Fees (Researcher)
California/Federal/USBC Eastern/EDC Forms/ -
Order Granting Waiver Of The Requirement To File Documents In Electronic Form
California/Federal/USBC Eastern/EDC Forms/ -
Order Granting Waiver Of The Requirement To File Documents In Electronic Form
California/Federal/USBC Eastern/EDC Forms/ -
Order Granting Waiver Of The Requirement To File Documents In Electronic Form
California/Federal/USBC Eastern/EDC Forms/ -
Requirements For Filing A Notice Of Removal
California/Federal/USBC Eastern/EDC Forms/ -
Change In Designation Of Counsel For Service
California/Federal/USBC Eastern/EDC Forms/ -
Notice Of Intent To Request Redaction
California/Federal/USBC Eastern/EDC Forms/ -
Request For Redaction And List Of List Of Items To Be Redacted
California/Federal/USBC Eastern/EDC Forms/ -
Requirements For Filing An Adversary Proceeding
California/Federal/USBC Eastern/EDC Forms/ -
Answer (Exhibit 2 General Order 98-5)
California/Federal/USBC Eastern/EDC Forms/ -
Request To Be Added Or Removed From Courtesy Notice Of Electronic Filing (NEF)
California/Federal/USBC Eastern/EDC Forms/ -
Certificate Of Chapter 13 Debtor Regarding 11 USC 522(q) Exemptions
California/Federal/USBC Eastern/EDC Forms/ -
Debtors 11 USC 1328 Certificate
California/Federal/USBC Eastern/EDC Forms/ -
Application For Individuals To Pay Filing Fee In Installments
California/Federal/USBC Eastern/EDC Forms/ -
Substitution Of Attorney
California/Federal/USBC Eastern/EDC Forms/ -
Motion To Reopen
California/Federal/USBC Eastern/EDC Forms/ -
Chapter 13 Plan
California/4 Federal/USBC Eastern/EDC Forms/ -
Application For Waiver Of Requirement To File Documents In Electronic Form
California/Federal/USBC Eastern/EDC Forms/ -
Order On Debtor(s) Application For Waiver Of The Chapter 7 Filing Fee
California/Federal/USBC Eastern/EDC Forms/ -
Class 1 Checklist For Filing With The Trustee
California/Federal/USBC Eastern/EDC Forms/ -
Order Granting Application For Order Of Examination Under Federal Rule Of Bankruptcy Procedure 2004(a)
California/Federal/USBC Eastern/EDC Forms/ -
Application By Trustee Or Debtor-In-Possession To Defer Payment Of Fee For Filing Complaint
California/Federal/USBC Eastern/EDC Forms/ -
Order Approving Substitution Of Attorney
California/Federal/USBC Eastern/EDC Forms/ -
Domestic Support Obligation Checklist
California/Federal/USBC Eastern/EDC Forms/ -
BDRP Panel Application
California/Federal/USBC Eastern/EDC Forms/ -
Policy For Providing Interpreters And Services To Hearing-Impaired And Other Persons
California/Federal/USBC Eastern/EDC Forms/ -
Response By Lessor Regarding Rental Deposit
California/Federal/USBC Eastern/EDC Forms/ -
Request For Entry Of Default By Plaintiff(s)
California/Federal/USBC Eastern/EDC Forms/ -
Amendment Cover Sheet
California/Federal/USBC Eastern/EDC Forms/ -
Application For Pro Hac Vice And Proposed Order
California/Federal/USBC Eastern/EDC Forms/ -
Order Confirming Plan
California/Federal/USBC Eastern/EDC Forms/ -
Notice Of Intent To Enter Chapter 13 Discharge
California/Federal/USBC Eastern/EDC Forms/ -
Order Granting Application For Order Of Examination Under Federal Rule Of Bankruptcy (No Document Production)
California/Federal/USBC Eastern/EDC Forms/ -
Wage Order (For Use In Chapter 13 Cases Filed On Or After 7-1-03)
California/Federal/USBC Eastern/EDC Forms/ -
Entry Of Default
California/Federal/USBC Eastern/EDC Forms/ -
Guidelines For Preparation Of Master Address Lists
California/Federal/USBC Eastern/EDC Forms/ -
Change Of Address
California/Federal/USBC Eastern/EDC Forms/ -
Authorization To Release Information To The Trustee Regarding Secured Claims
California/Federal/USBC Eastern/EDC Forms/ -
Official Certificate Of Service Form
California/Federal/USBC Eastern/EDC Forms/ -
Bankruptcy Court Miscellaneous Fee Schedule
California/Federal/USBC Eastern/EDC Forms/ -
Motion For Exemption From Payment Of The Electronic Public Access Fee
California/Federal/USBC Eastern/EDC Forms/ -
Certificate Of Compliance LBR 2016-1(c)(5)(B)
California/Federal/USBC Eastern/EDC Forms/ -
Application For Payment Of Unclaimed Funds
California/Federal/USBC Eastern/EDC Forms/ -
Notice Of Availability Of Bankruptcy Dispute Resolution Program
California/Federal/USBC Eastern/EDC Forms/ -
Bankruptcy Dispute Resolution Program Questionnaire
California/Federal/USBC Eastern/EDC Forms/ -
Verification Of Master Address List
California/Federal/USBC Eastern/EDC Forms/ -
Certified Copy Request Form
California/Federal/USBC Eastern/EDC Forms/ -
Order Closing Chapter 13 Case Without Discharge
California/Federal/USBC Eastern/EDC Forms/ -
Request For Refund
California/Federal/USBC Eastern/EDC Forms/ -
Order Granting Extension Of Deadline To File Missing Documents
California/Federal/USBC Eastern/EDC Forms/ -
Order Granting Exemption From Payment Of The Electronic Public Access User Fee Prescribed By Item (1)
California/Federal/USBC Eastern/EDC Forms/
Form Preview
Contact Us
Success: Your message was sent.
Thank you!




