Last updated: 5/28/2025
Application For Elective Coverage {F213-112-000}
Start Your Free Trial $ 13.99What you get:
- Instant access to fillable Microsoft Word or PDF forms.
- Minimize the risk of using outdated forms and eliminate rejected fillings.
- Largest forms database in the USA with more than 80,000 federal, state and agency forms.
- Download, edit, auto-fill multiple forms at once in MS Word using our Forms Workflow Ribbon
- Trusted by 1,000s of Attorneys and Legal Professionals
Description
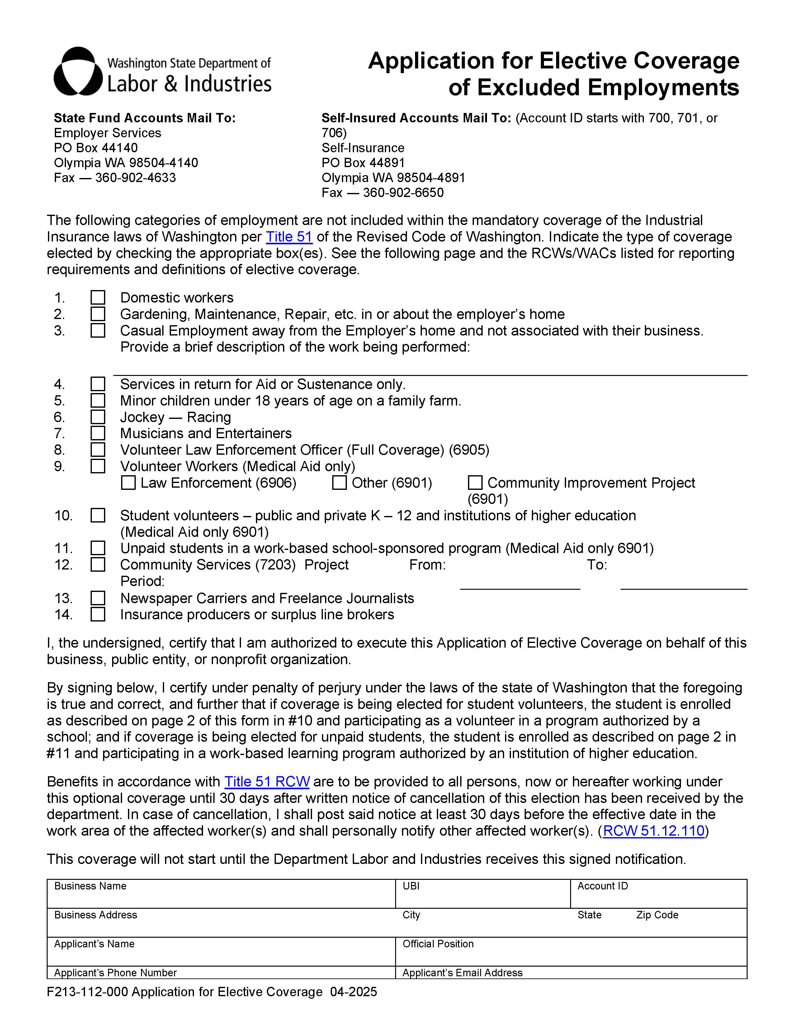
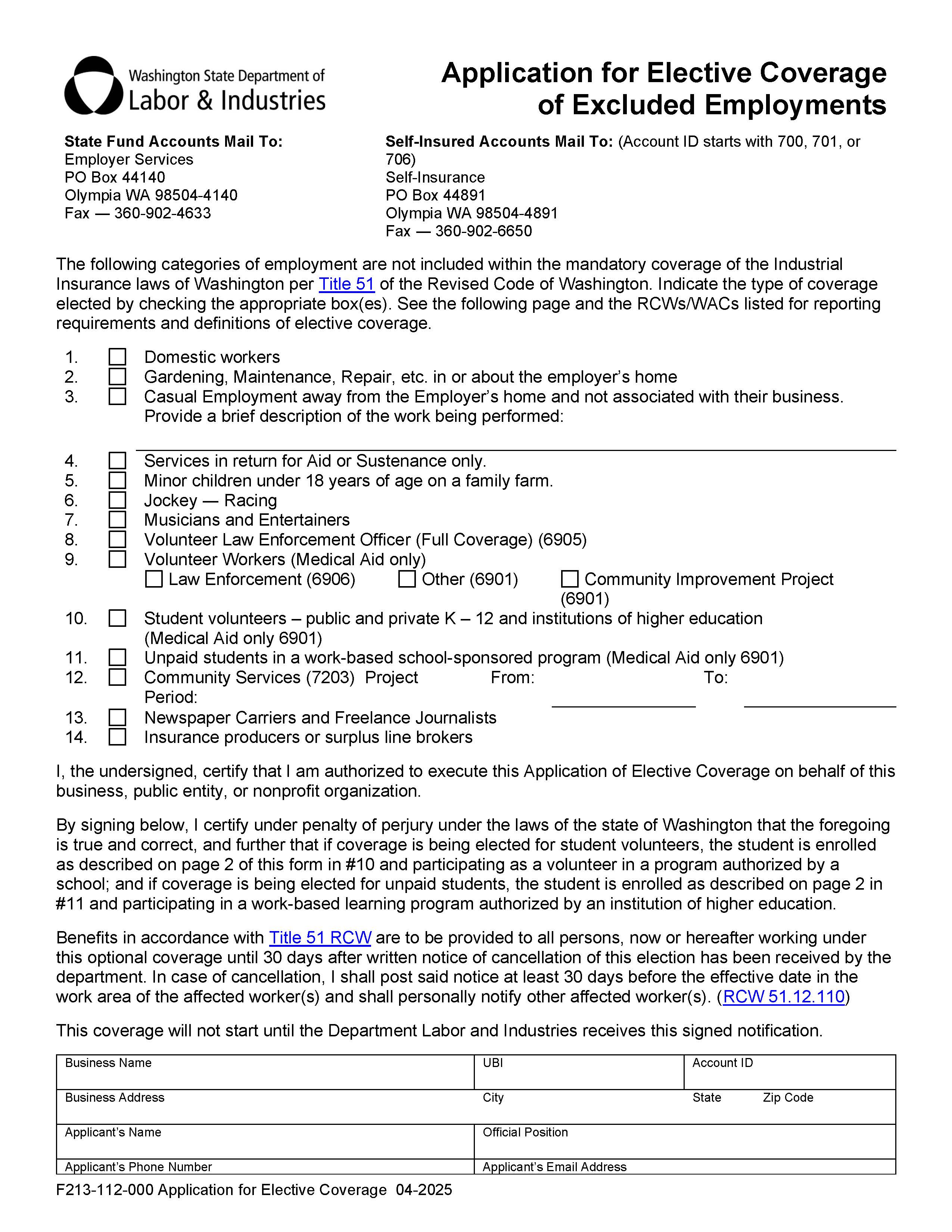
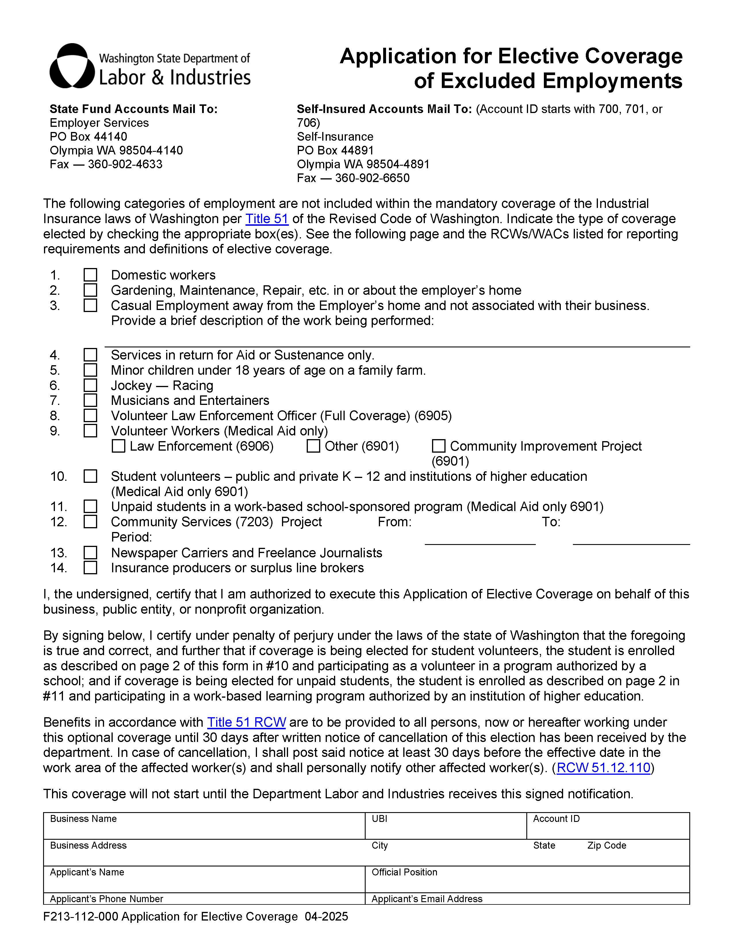
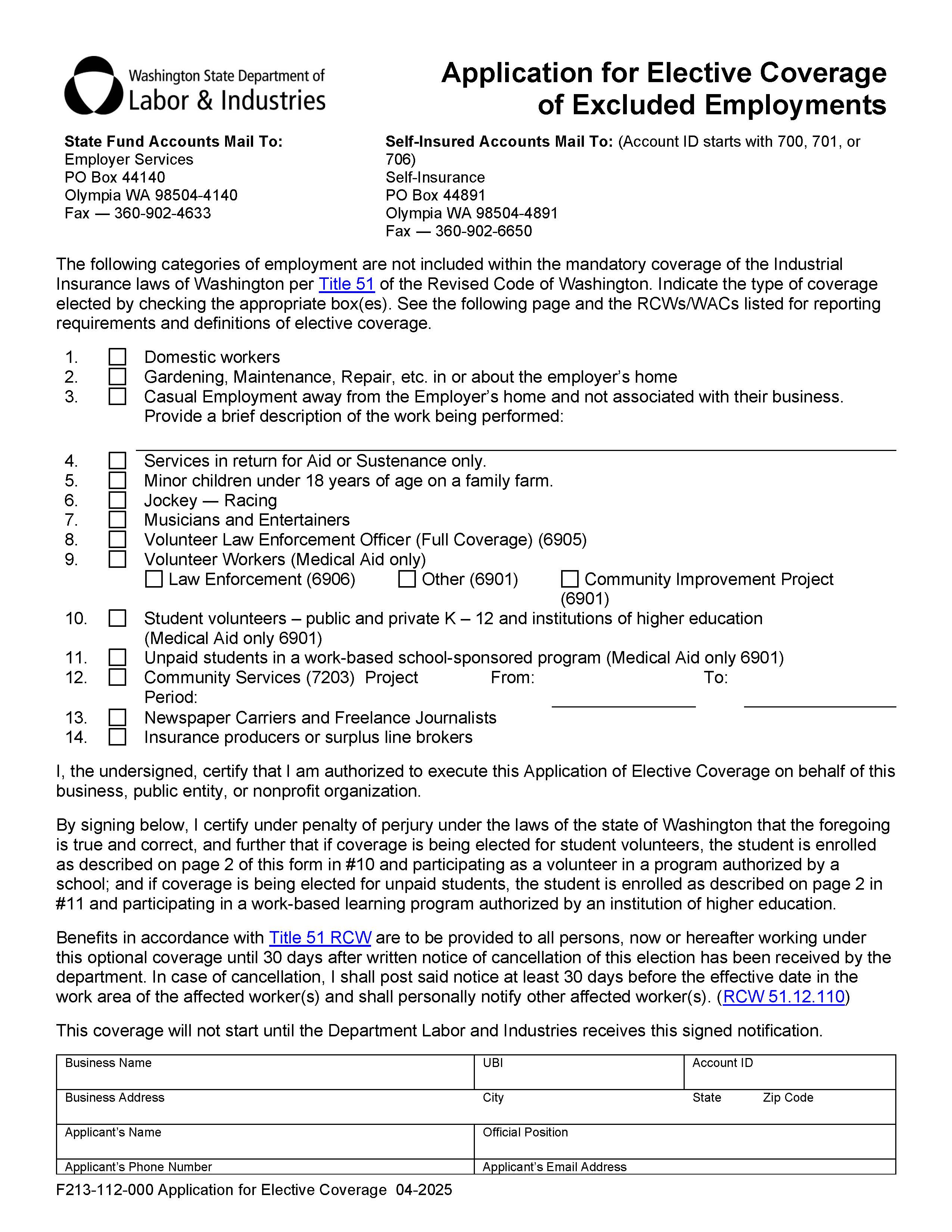
F213-112-000 - APPLICATION FOR ELECTIVE COVERAGE OF EXCLUDED EMPLOYMENTS. This is a Washington State Department of Labor & Industries form that allows employers to opt into industrial insurance coverage for categories of workers who are not mandatorily covered under Title 51 of the Revised Code of Washington (RCW). These categories include domestic workers, casual laborers, entertainers, jockeys, minor children working on family farms, unpaid student interns, volunteer workers (including law enforcement), and others. By completing this form, an employer can voluntarily extend workers’ compensation benefits—such as medical aid or full coverage—to these excluded employment types. The application requires employers to specify which categories of employment they are electing to cover, provide business and applicant details, and certify that the information is true under penalty of perjury. Elective coverage becomes effective only after the Department receives the completed and signed form. Once coverage is elected, it must remain in place for all relevant workers until the Department receives written notice of cancellation at least 30 days in advance, with appropriate notice also provided to the affected workers. Employers are also responsible for reporting and paying premiums according to specific rules, including for salaried and hourly workers, as outlined in applicable WACs (Washington Administrative Codes). www.FormsWorkflow.com





