Last updated: 6/3/2025
Advice Of Rights After Order Terminating Parental Rights (Juvenile Code) {JC 44}
Start Your Free Trial $ 13.99What you get:
- Instant access to fillable Microsoft Word or PDF forms.
- Minimize the risk of using outdated forms and eliminate rejected fillings.
- Largest forms database in the USA with more than 80,000 federal, state and agency forms.
- Download, edit, auto-fill multiple forms at once in MS Word using our Forms Workflow Ribbon
- Trusted by 1,000s of Attorneys and Legal Professionals
Description
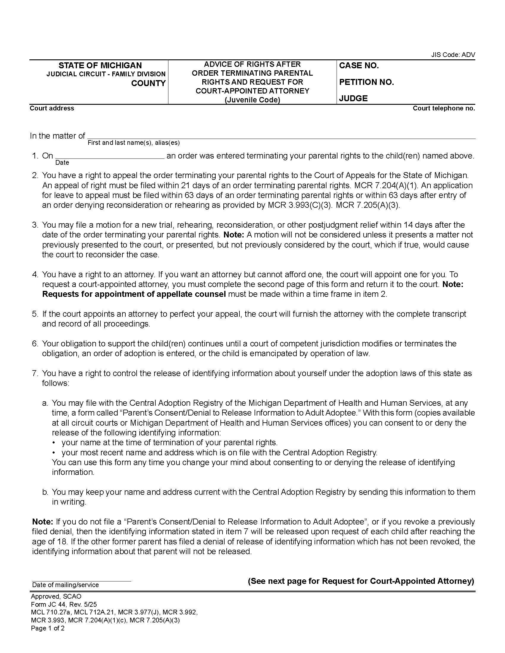
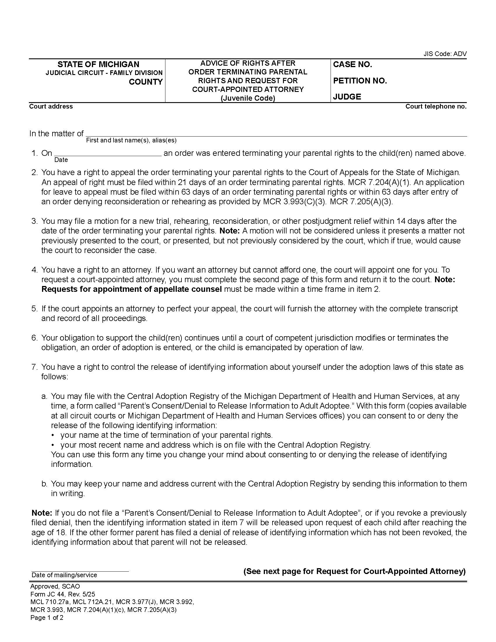
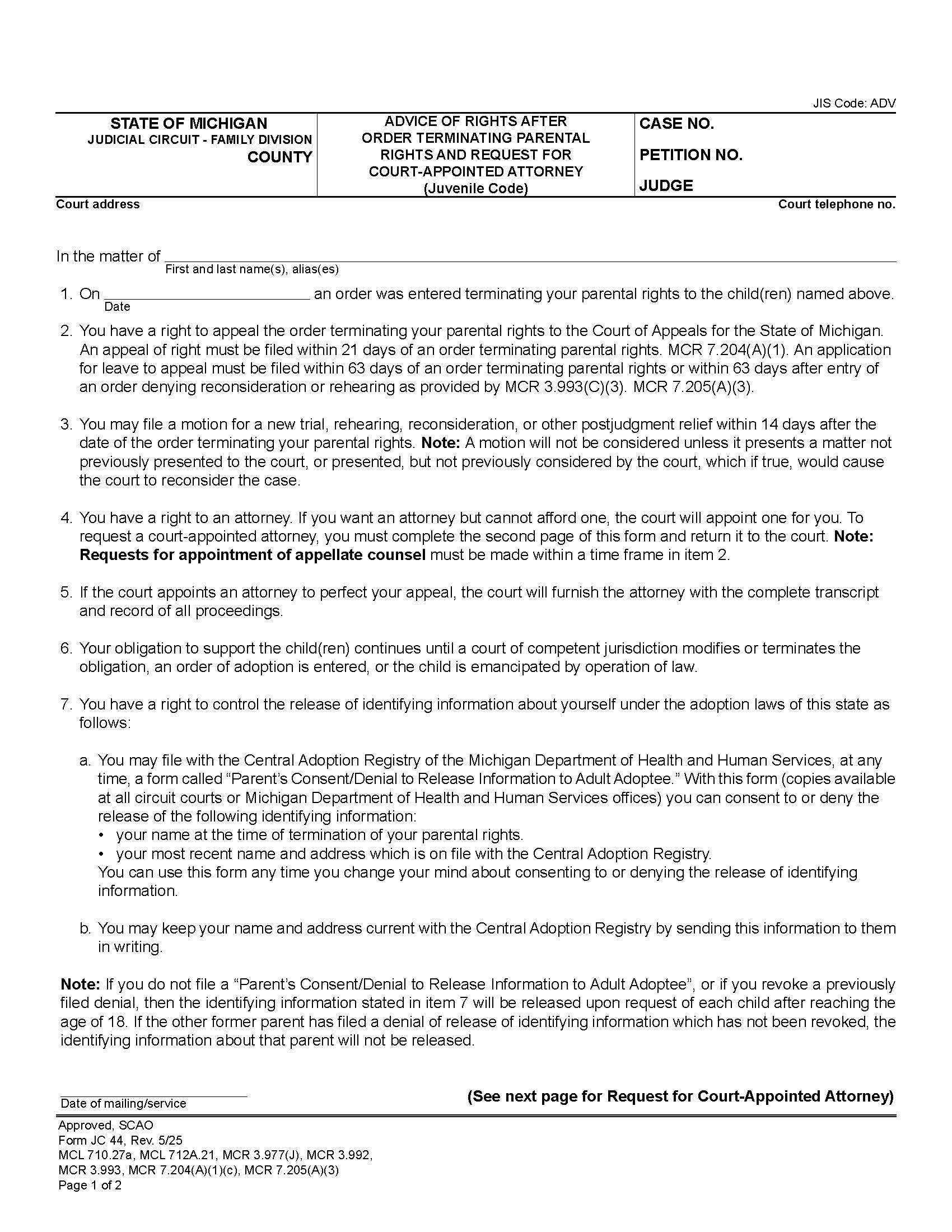
JC 44 - ADVICE OF RIGHTS AFTER ORDER TERMINATING PARENTAL RIGHTS AND REQUEST FOR COURT-APPOINTED ATTORNEY (Juvenile Code). This form serves as a notification to individuals whose parental rights have been terminated, outlining their legal rights and options following that decision. It informs them of their right to appeal the termination order, the timeline for doing so, and the possibility of filing for a new trial or reconsideration. The form provides information about obtaining a court-appointed attorney if they cannot afford one, and it includes a request section for the appointment of legal counsel. The accompanying financial schedule helps the court assess the individual's eligibility for legal aid. www.FormsWorkflow.com
Related forms
-
Blank Form
Michigan/Statewide/Juvenile/ -
Order Cancelling Wage Assignment
Michigan/Statewide/Juvenile/ -
Publication Of Hearing
Michigan/Statewide/Juvenile/ -
Request For Financial Information
Michigan/Statewide/Juvenile/ -
Waiver And Consent To Enter Teen Court (Diversion)
Michigan/Statewide/Juvenile/ -
Waiver And Consent To Enter Teen Court (Plea Under Advisement)
Michigan/Statewide/Juvenile/ -
Financial Statement
Michigan/Statewide/Juvenile/ -
Order To Apprehend And Detain (Delinquency Proceedings Or Minor Personal Protection)
Michigan/Statewide/Juvenile/ -
Order Discharging Juvenile Guardian
Michigan/Statewide/Juvenile/ -
Publication Of Parental Rights Termination Hearing
Michigan/Statewide/Juvenile/ -
Order Appointing Attorney Or Guardian Ad Litem Or Lawyer Guardian Ad Litem
Michigan/Statewide/Juvenile/ -
Order Of Disposition, Child In Home (Child Protective Proceedings)
Michigan/Statewide/Juvenile/ -
Petition To Transfer Case To Tribal Court And Order
Michigan/1 Statewide/Juvenile/ -
Order To Terminate Court Jurisdiction
Michigan/1 Statewide/Juvenile/ -
Request To Terminate Court Jurisdiction
Michigan/1 Statewide/Juvenile/ -
Order For Contempt Of Court
Michigan/Statewide/Juvenile/ -
Motion And Order To Close Proceedings To Public
Michigan/Statewide/Juvenile/ -
Request And Order For Review Of Referee Recommendation
Michigan/Statewide/Juvenile/ -
Motion For Alternate Service
Michigan/Statewide/Juvenile/ -
Motion And Order For Modification Or Cancellation Of Minimum State Costs Owed
Michigan/Statewide/Juvenile/ -
Motion And Order For Modification Or Cancellation Of Restitution Owed
Michigan/Statewide/Juvenile/ -
Application To Set Aside Adjudication
Michigan/Statewide/Juvenile/ -
Order After Designation Hearing
Michigan/Statewide/Juvenile/ -
Order After Preliminary Examination (Designated Case)
Michigan/Statewide/Juvenile/ -
Judgment Of Conviction (Designated Case)
Michigan/Statewide/Juvenile/ -
Affidavit Of Efforts To Locate Absent Parent
Michigan/Statewide/Juvenile/ -
Order After First-Phase Hearing To Waive Jurisdiction (Delinquency Proceedings)
Michigan/Statewide/Juvenile/ -
Order After Second-Phase Hearing To Waive Jurisdiction (Delinquency Proceedings)
Michigan/Statewide/Juvenile/ -
Order Transferring Petition From Formal Calendar To Consent Calendar (Delinquency)
Michigan/Statewide/Juvenile/ -
Order Appointing Juvenile Guardian
Michigan/Statewide/Juvenile/ -
Order Appointing Person To Investigate Juvenile Guardianship
Michigan/Statewide/Juvenile/ -
Order Following Investigation And Report On Juvenile Guardianship
Michigan/Statewide/Juvenile/ -
Petition To Terminate Appointment Of Juvenile Guardian
Michigan/1 Statewide/Juvenile/ -
Notice Of Hearing On Petition To Terminate Appointment Of Juvenile Guardian
Michigan/1 Statewide/Juvenile/ -
Order For Investigation Re Petition To Terminate Appointment Of Juvenile
Michigan/1 Statewide/Juvenile/ -
Petition To Revoke Juvenile Guardianship
Michigan/1 Statewide/Juvenile/ -
Notice Of Hearing On Petition To Revoke Juvenile Guardianship
Michigan/1 Statewide/Juvenile/ -
Order For Investigation Re Petition To Revoke Juvenile Guardianship
Michigan/1 Statewide/Juvenile/ -
Order Following Hearing On Petition To Terminate Appointment Of Juvenile Guardian
Michigan/Statewide/Juvenile/ -
Order Regarding Revocation Of Juvenile Guardianship
Michigan/Statewide/Juvenile/ -
Order After Annual Review Of Extended Guardianship
Michigan/1 Statewide/Juvenile/ -
Order On Application To Set Aside Adjudication
Michigan/Statewide/Juvenile/ -
Findings Following Putative Father Hearing
Michigan/Statewide/Juvenile/ -
Order For Competency Evaluation (Delinquency Proceedings)
Michigan/Statewide/Juvenile/ -
Ex Parte Renewal Of Restoration Order (Delinquency Proceedings)
Michigan/Statewide/Juvenile/ -
Order Following Report On Restoration (Delinquency Proceedings)
Michigan/Statewide/Juvenile/ -
Appearance Of Attorney Or Guardian Ad Litem Or Lawyer Guardian Ad Litem
Michigan/Statewide/Juvenile/ -
Request And Order For Fingerprinting Or Photographing Or Lineup
Michigan/Statewide/Juvenile/ -
Motion To Waive Jurisdiction And Notice
Michigan/Statewide/Juvenile/ -
Waiver Of Summons Or Notice Of Hearing
Michigan/Statewide/Juvenile/ -
Notice Of Hearing (Designated Case)
Michigan/Statewide/Juvenile/ -
Notice Of Hearing On Probation Violation
Michigan/Statewide/Juvenile/ -
Report After Investigation Of Juvenile Guardianship
Michigan/Statewide/Juvenile/ -
Motion Re Transfer Hearing Placement
Michigan/Statewide/Juvenile/ -
Order Regarding Qualified Residential Treatment Program Placement
Michigan/1 Statewide/Juvenile/ -
Letters Of Juvenile Guardianship
Michigan/Statewide/Juvenile/ -
Order To Take Child(ren) Into Protective Custody (Child Protective Proceedings)
Michigan/Statewide/Juvenile/ -
Affidavit Of Service Performed By Lawyer-Guardian Ad Litem
Michigan/Statewide/Juvenile/ -
Order After Hearing On Competency (Delinquency Proceedings)
Michigan/Statewide/Juvenile/ -
Order Following Hearing To Terminate Parental Rights
Michigan/Statewide/Juvenile/ -
Order To Transfer Case
Michigan/Statewide/Juvenile/ -
Order Removing Alleged Abuser From Childs Home (Child Protective Proceedings)
Michigan/Statewide/Juvenile/ -
Complaint
Michigan/Statewide/Juvenile/ -
Petition (Delinquency Proceedings)
Michigan/Statewide/Juvenile/ -
Order For Assignment of Wages
Michigan/Statewide/Juvenile/ -
Notice Of Proceedings Concerning American Indian Child
Michigan/Statewide/Juvenile/ -
Notice To Putative Father
Michigan/Statewide/Juvenile/ -
Notice Of Intent To Intercept State Income Tax
Michigan/Statewide/Juvenile/ -
Order To Intercept State Income Tax
Michigan/Statewide/Juvenile/ -
Order To Cancel State Income Tax Intercept
Michigan/Statewide/Juvenile/ -
Order Correcting Identifying Information
Michigan/Statewide/Juvenile/ -
Acceptance Of Appointment (Juvenile Guardian)
Michigan/Statewide/Juvenile/ -
Summons Order To Appear (Delinquency Proceedings Or Personal Protection Proceedings)
Michigan/Statewide/Juvenile/ -
Summons Order To Appear (Child Protective Proceedings)
Michigan/Statewide/Juvenile/ -
Order For Alternate Service
Michigan/Statewide/Juvenile/ -
Annual Report Of Juvenile Guardian On Condition Of Child
Michigan/Statewide/Juvenile/ -
Publication Of Hearing (Notice To Putative Father)
Michigan/Statewide/Juvenile/ -
Petition (Child Protective Proceedings)
Michigan/Statewide/Juvenile/ -
Order After Preliminary Hearing (Child Protective Proceedings)
Michigan/Statewide/Juvenile/ -
Order Of Adjudication (Child Protective Proceedings)
Michigan/Statewide/Juvenile/ -
Order After Removal Hearing (Child Protective Proceedings)
Michigan/Statewide/Juvenile/ -
Notice Of Diversion Conference
Michigan/Statewide/Juvenile/ -
Order Delaying Sentence (Designated Case)
Michigan/Statewide/Juvenile/ -
Request And Order For Court Appointed Appellate Counsel
Michigan/Statewide/Juvenile/ -
Order Of Adjudication (Delinquency Proceedings)
Michigan/Statewide/Juvenile/ -
Judgment Of Sentence Commitment To Jail (Designated Case)
Michigan/Statewide/Juvenile/ -
Notice Of Hearing
Michigan/Statewide/Juvenile/ -
Claim Of Appeal And Order Appointing Appellate Counsel
Michigan/Statewide/Juvenile/ -
Advice Of Rights Regarding Appeal (Child Protective Proceedings)
Michigan/1 Statewide/Juvenile/ -
Authorization For Return Of Bond
Michigan/Statewide/Juvenile/ -
Diversion Record
Michigan/Statewide/Juvenile/ -
Order Denying Appointment Of Appellate Counsel
Michigan/Statewide/Juvenile/ -
Order For Reimbursement
Michigan/Statewide/Juvenile/ -
Request And Order For Court Appointed Attorney
Michigan/Statewide/Juvenile/ -
Waiver Of Attorney Or Request For Appointment Of Attorney
Michigan/Statewide/Juvenile/ -
Supplemental Order Of Disposition (Delinquency Proceedings)
Michigan/Statewide/Juvenile/ -
Order Of Probation (Designated Case)
Michigan/Statewide/Juvenile/ -
Judgment Of Sentence Commitment To Department Of Corrections (Designated Case)
Michigan/Statewide/Juvenile/ -
Order After Arraignment (Designated Case)
Michigan/Statewide/Juvenile/ -
Order After Preliminary Hearing Or Inquiry (Delinquency Or Personal Protection)
Michigan/Statewide/Juvenile/ -
Order After Dispositional Review Or Permanency Planning Hearing
Michigan/Statewide/Juvenile/ -
Order After Pretrial Hearing (Child Protective Proceedings)
Michigan/Statewide/Juvenile/ -
Order After Post-Termination Review Or Permanency Planning Hearing
Michigan/Statewide/Juvenile/ -
Order Of Disposition (Child Protective Proceedings)
Michigan/Statewide/Juvenile/ -
Order Of Disposition, In-Home (Delinquency Proceedings)
Michigan/Statewide/Juvenile/ -
Order Of Disposition, Out-Of-Home (Delinquency Proceedings)
Michigan/Statewide/Juvenile/ -
Advice Of Rights After Order Terminating Parental Rights (Juvenile Code)
Michigan/Statewide/Juvenile/ -
Proof Of Service Or Non Service
Michigan/Statewide/Juvenile/ -
Proof Of Service Or Non Service
Michigan/Statewide/Juvenile/
Form Preview
Contact Us
Success: Your message was sent.
Thank you!




