Last updated: 7/17/2025
Affidavit For Transfer Of Real Property Without Probate {CC-15-41}
Start Your Free Trial $ 5.99What you get:
- Instant access to fillable Microsoft Word or PDF forms.
- Minimize the risk of using outdated forms and eliminate rejected fillings.
- Largest forms database in the USA with more than 80,000 federal, state and agency forms.
- Download, edit, auto-fill multiple forms at once in MS Word using our Forms Workflow Ribbon
- Trusted by 1,000s of Attorneys and Legal Professionals
Description
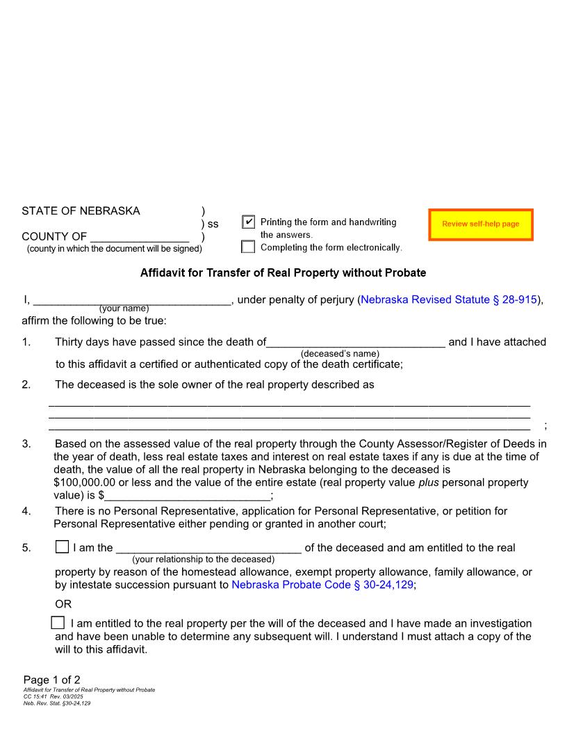
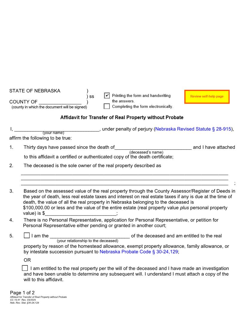
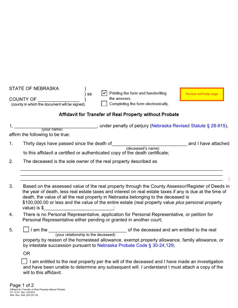
STATE OF NEBRASKA COUNTY OF ______________ (county in which the document will be signed) ) ) ) Affidavit for Transfer of Real Property without Probate I, ________________________________, under penalty of perjury (Nebraska Revised Statute § 28-915), (your name) affirm the following to be true: 1. Thirty days have passed since the death of_____________________________ and I have attached (deceased's name) to this affidavit a certified or authenticated copy of the death certificate; 2. The deceased is the sole owner of the real property described as ___________________________ ________________________________________________________________________________ ________________________________________________________________________________ ________________________________________________________________________________; Based on the assessed value of the real property through the County Assessor/Register of Deeds in the year of death, less real estate taxes and interest on real estate taxes if any is due at the time of death, the value of all the real property in Nebraska belonging to the deceased is $50,000.00 or less and the value of the entire estate (real property value plus personal property value) is $___________________________; There is no Personal Representative, application for Personal Representative, or petition for Personal Representative either pending or granted in another court; I am the ______________________________ of the deceased and am entitled to the real (your relationship to the deceased) 3. 4. 5. property by reason of the homestead allowance, exempt property allowance, family allowance, or by intestate succession pursuant to Nebraska Probate Code §30-24,129 OR I am entitled to the real property per the will of the deceased and I have made an investigation and have been unable to determine any subsequent will; 6. 7. 8. No other person has a right to the real property; I will file this affidavit with the Register of Deeds Office of the county in which the real property is located ( _________________ County); and I will file the affidavit and certified or authenticated copy of the death certificate in any other county in Nebraska in which the deceased owns real property that is subject to this affidavit. Page 1 of 2 Affidavit for Transfer of Real Property without Probate CC 15:41 New 07/14 Pro Se Committee Neb. Rev. Stat. §30-24,129 American LegalNet, Inc. www.FormsWorkFlow.com _______________________________ Date __________________________________________ Signature (do NOT sign UNTIL A NOTARY IS PRESENT AND WITNESSES YOU SIGNING) _______________________________ Address (line 1) _______________________________ Address (line 2) Attachment: certified or authenticated copy of Death Certificate NOTARY State of Nebraska, County of _________________ This document was acknowledged before me on the ______ day of ____________, 20_____, (day) (month) (year) by ___________________________ (name of Affiant) _____________________________ (Seal, if any) Signature of Notary My commission expires: ___________________ Page 2 of 2 Affidavit for Transfer of Real Property without Probate CC 15:41 New 07/14 Pro Se Committee Neb. Rev. Stat. §30-24,129 American LegalNet, Inc. www.FormsWorkFlow.com





