Last updated: 4/15/2025
Notice Of Hearing On Confirmation Combined With Notice Of Times For Filing Acceptances Of Rejections
Start Your Free Trial $ 13.99What you get:
- Instant access to fillable Microsoft Word or PDF forms.
- Minimize the risk of using outdated forms and eliminate rejected fillings.
- Largest forms database in the USA with more than 80,000 federal, state and agency forms.
- Download, edit, auto-fill multiple forms at once in MS Word using our Forms Workflow Ribbon
- Trusted by 1,000s of Attorneys and Legal Professionals
Description
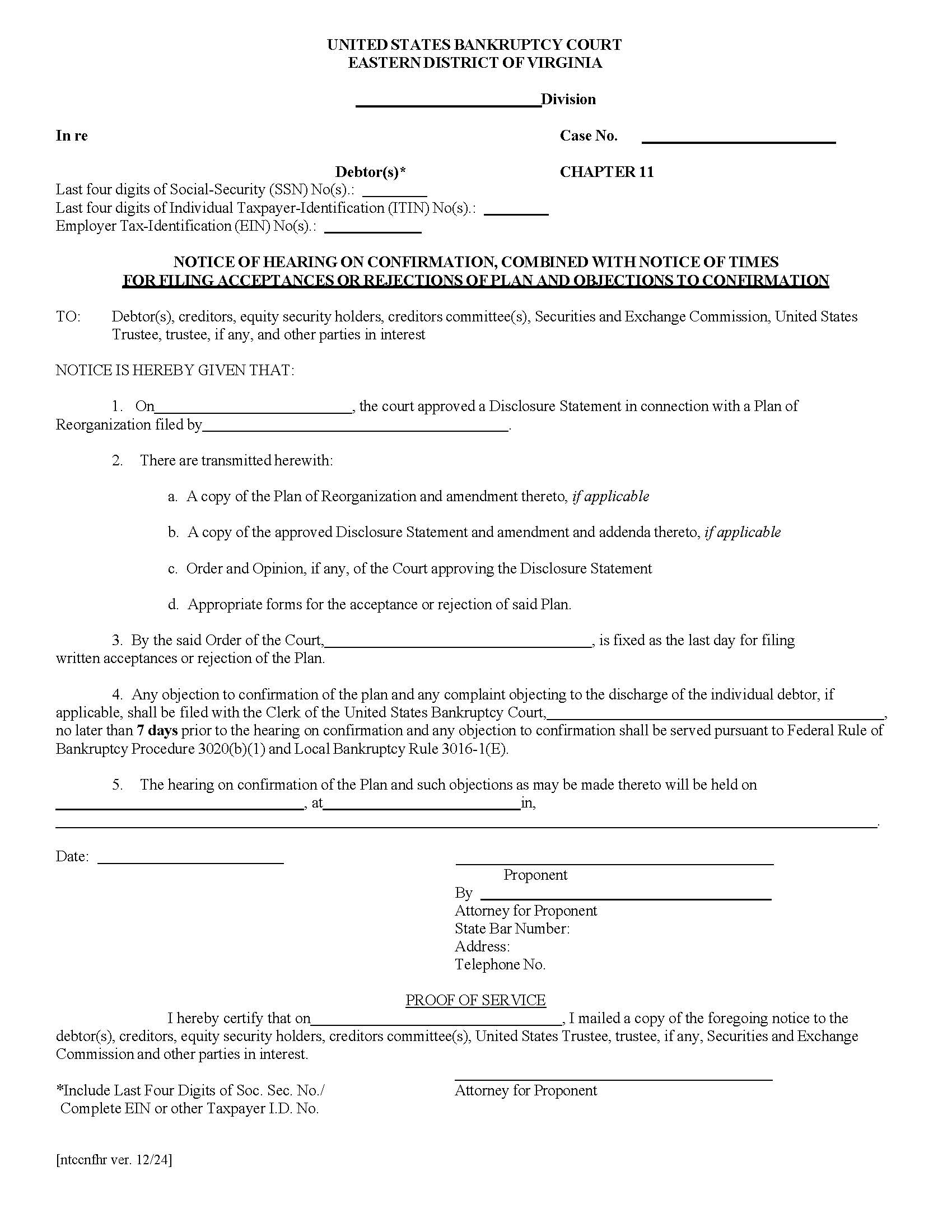
NOTICE OF HEARING ON CONFIRMATION, COMBINED WITH NOTICE OF TIMES FOR FILING ACCEPTANCES OR REJECTIONS OF PLAN AND OBJECTIONS TO CONFIRMATION. This form is used in Chapter 11 bankruptcy proceedings in the United States Bankruptcy Court for the Eastern District of Virginia. It serves to notify all interested parties—including the debtor, creditors, equity security holders, committees, the U.S. Trustee, and regulatory agencies—that the court has approved the debtor’s Disclosure Statement and has scheduled a hearing to consider confirmation of the proposed Plan of Reorganization. Along with the notice, recipients are provided with the Plan, the approved Disclosure Statement, any related amendments, and forms to vote on the plan. The form also sets deadlines for filing written acceptances or rejections of the plan, as well as for submitting any objections to confirmation or the discharge of the debtor. Finally, it provides the date, time, and location of the confirmation hearing, and includes a proof of service section to document that notice was properly given to all required parties. www.FormsWorkflow.com
Related forms
-
Notice To Creditors Re Amendment
Virginia/Federal/USBC Eastern/ -
Order For Joint Administration
Virginia/Federal/USBC Eastern/ -
Suggestion For Summons In Garnishment
Virginia/Federal/USBC Eastern/ -
Financial Interest Disclosure Statement
Virginia/Federal/USBC Eastern/ -
Garnishment Summons
Virginia/Federal/USBC Eastern/ -
Instruction Form For On-Site Review Of United States Courts Case Files
Virginia/Federal/USBC Eastern/ -
Certification Regarding Request For Expedited Hearing
Virginia/Federal/USBC Eastern/ -
Certification As To Good Faith Settlement Conference And Mediation
Virginia/Federal/USBC Eastern/ -
Certificate Of Service
Virginia/Federal/USBC Eastern/ -
Procedure For Release Of Funds Held Under Garnishment
Virginia/Federal/USBC Eastern/ -
Procedures For Requesting A Garnishment
Virginia/Federal/USBC Eastern/ -
Certificate And Affidavit For Adding Creditors To Schedules In A Closed Case
Virginia/Federal/USBC Eastern/ -
Change Of Address
Virginia/Federal/USBC Eastern/ -
Order For Return Of Unclaimed Funds
Virginia/Federal/USBC Eastern/ -
Report Of Deposit Of Small Dividend
Virginia/Federal/USBC Eastern/ -
Report Of Deposit Of Unclaimed Funds
Virginia/Federal/USBC Eastern/ -
Special Notice To Secured Creditor
Virginia/Federal/USBC Eastern/ -
Corporate Ownership Statement
Virginia/Federal/USBC Eastern/ -
Application To Pay Filing Fee In Installments (For Cases Filed On Or After 10-17-05)
Virginia/Federal/USBC Eastern/ -
Notice To Defer Payment Of Certain Fees
Virginia/Federal/USBC Eastern/ -
Application For Supplemental Compensation Of Attorney For Debtor
Virginia/Federal/USBC Eastern/ -
Attorney Certification
Virginia/Federal/USBC Eastern/ -
Application For Compensation Of Attorney For Debtor
Virginia/Federal/USBC Eastern/ -
Certification Under Local Bankruptcy Rule 2090 1
Virginia/Federal/USBC Eastern/ -
Summary Of The Proposed Loan Modification
Virginia/Federal/USBC Eastern/ -
Request For File From Federal Records Center
Virginia/Federal/USBC Eastern/ -
Application To Qualify As An Attorney
Virginia/Federal/USBC Eastern/ -
Certificate Of Member Of Bar Of Western District Of Virginia
Virginia/Federal/USBC Eastern/ -
Request For Waiver To File By Flash Drive Or Conventionally
Virginia/Federal/USBC Eastern/ -
Cover Sheet List Of Creditors
Virginia/Federal/USBC Eastern/ -
Request For Waiver (Flash Drive)
Virginia/Federal/USBC Eastern/ -
Order Directing Deposit Of Funds In Court Registry
Virginia/Federal/USBC Eastern/ -
Order Directing Disbursement Of Funds In Court Registry
Virginia/Federal/USBC Eastern/ -
Order Granting Relief From Stay
Virginia/3 Federal/USBC Eastern/ -
Consent Order Modifying Automatic Stay
Virginia/3 Federal/USBC Eastern/ -
Application To Qualify As A Third Year Law Student Permitted To Appear
Virginia/Federal/USBC Eastern/ -
Affirmation Of Attorney Status
Virginia/3 Federal/USBC Eastern/ -
COVID-19 Vaccination Status Attestation
Virginia/3 Federal/USBC Eastern/ -
Application To Qualify As A Foreign Attorney
Virginia/Federal/USBC Eastern/ -
Debtors Certification Of Compliance With Section 1141
Virginia/Federal/USBC Eastern/ -
Debtors Certification Of Compliance With Section 1328
Virginia/Federal/USBC Eastern/ -
Notice Of Objection To Claim
Virginia/Federal/USBC Eastern/ -
Notice Of Motion Or Objection
Virginia/Federal/USBC Eastern/ -
Certification Of Qualifying Government Employment
Virginia/3 Federal/USBC Eastern/ -
Disclosure Of Compensation Of Attorney For Debtor (Ch. 13)
Virginia/Federal/USBC Eastern/ -
Disclosure Of Compensation Of Attorney For Debtor (Other Than Ch. 13)
Virginia/Federal/USBC Eastern/ -
Amendment Cover Sheet
Virginia/Federal/USBC Eastern/ -
Application For Payment Of Unclaimed Funds (VAED)
Virginia/Federal/USBC Eastern/ -
Amendments To Petition Lists Statements Schedules
Virginia/Federal/USBC Eastern/ -
Copy Request Form
Virginia/Federal/USBC Eastern/ -
Notice Of Hearing (Adversary Or Contested)
Virginia/Federal/USBC Eastern/ -
Notice (Rescheduled Trial)
Virginia/Federal/USBC Eastern/ -
Notice Of Combined Hearing On Final Approval Of Disclosure Statement And Plan Confirmation
Virginia/Federal/USBC Eastern/ -
Notice Of Hearing On Confirmation Combined With Notice Of Times For Filing Acceptances Of Rejections
Virginia/Federal/USBC Eastern/ -
Notice Of Rescheduled Hearing (Bankruptcy)
Virginia/3 Federal/USBC Eastern/ -
Chapter 13 Plan And Related Motions
Virginia/Federal/USBC Eastern/ -
Notice Of Rescheduled Hearing (Adversary Or Contested)
Virginia/Federal/USBC Eastern/ -
Notice Of Hearing On Disclosure Statement
Virginia/Federal/USBC Eastern/ -
Notice Of Hearing (Bankruptcy Case)
Virginia/Federal/USBC Eastern/ -
Notice Of Rescheduled Meeting Of Creditors
Virginia/Federal/USBC Eastern/
Form Preview
Contact Us
Success: Your message was sent.
Thank you!




