Last updated: 5/6/2025
Summons In Administrative Review {CCG 0600}
Start Your Free Trial $ 15.99What you get:
- Instant access to fillable Microsoft Word or PDF forms.
- Minimize the risk of using outdated forms and eliminate rejected fillings.
- Largest forms database in the USA with more than 80,000 federal, state and agency forms.
- Download, edit, auto-fill multiple forms at once in MS Word using our Forms Workflow Ribbon
- Trusted by 1,000s of Attorneys and Legal Professionals
Description
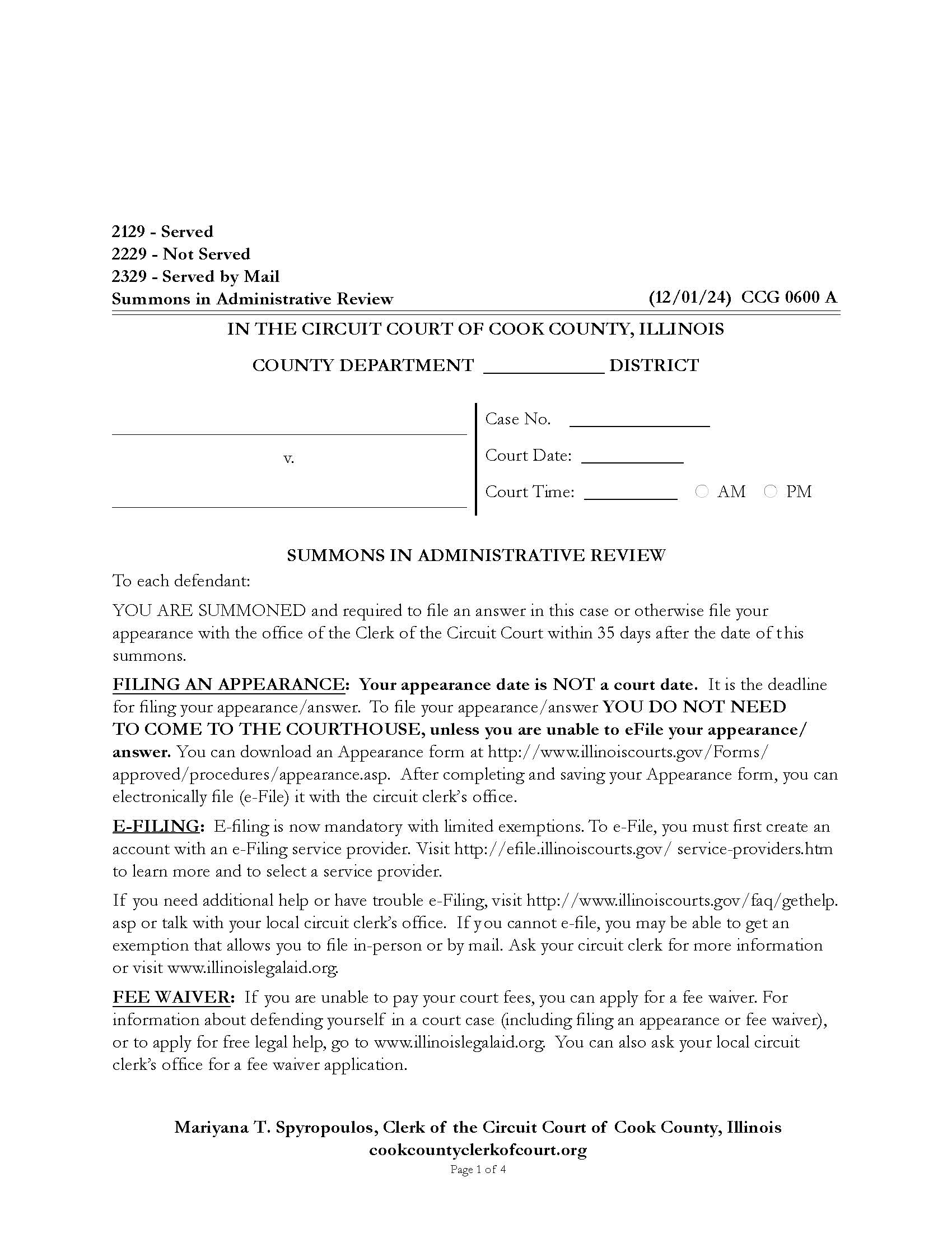
CCG 0600 - SUMMONS IN ADMINISTRATIVE REVIEW. This form is used for cases heard in the County Department of the Circuit Court of Cook County, Illinois to notify defendants that they are required to file an answer or appearance within 35 days. The form provides information on filing an appearance, e-filing requirements, fee waivers, court dates, and remote appearances. It also includes contact information for the Clerk's Office and indicates that the summons is served via registered or certified mail. The form is signed by the Clerk of Court. www.FormsWorkflow.com
Related forms
-
Notice Of Service Upon Agent
Illinois/Local County/Cook/General/ -
Order
Illinois/Local County/Cook/General/ -
Representation By Civil Legal Services Provider
Illinois/Local County/Cook/General/ -
Order For Special Conditions Of Bail
Illinois/2 Local County/Cook/General/ -
Records Center File Request
Illinois/2 Local County/Cook/General/ -
Citation And Notice
Illinois/Local County/Cook/General/ -
Order (Blank)
Illinois/Local County/Cook/General/ -
Notice Of Motion
Illinois/2 Local County/Cook/General/ -
Affidavit As To Military Service
Illinois/2 Local County/Cook/General/ -
Release (Satisfaction) Of Judgement (Employer) (Garnishee)
Illinois/Local County/Cook/General/ -
Release (Satisfaction) Of Judgment
Illinois/Local County/Cook/General/ -
Complaint And Confession Of Judgment - Other Than Lease
Illinois/Local County/Cook/General/ -
Certification
Illinois/Local County/Cook/General/ -
Complaint And Confession Of Judgment On Lease
Illinois/Local County/Cook/General/ -
Affidavit For Service By Publication
Illinois/Local County/Cook/General/ -
Change Of Address Notification
Illinois/Local County/Cook/General/ -
Complaint In Replevin
Illinois/Local County/Cook/General/ -
Custody Status Transporation Order
Illinois/Local County/Cook/General/ -
Petition For Stalking No Contact Order
Illinois/Local County/Cook/General/ -
Notice Of Confidential Information Within Court Filing
Illinois/Local County/Cook/General/ -
Order Of Protection Proof Of Service In Open Court
Illinois/Local County/Cook/General/ -
Stalking No Contact Order
Illinois/Local County/Cook/General/ -
Defendants Petition Requesting Refund Of Bail
Illinois/Local County/Cook/General/ -
Order To Correct Electronic Docket
Illinois/2 Local County/Cook/General/ -
Order For Attachment And Summons
Illinois/Local County/Cook/General/ -
Order Of Default
Illinois/Local County/Cook/General/ -
Order For Replevin (Notice Served)
Illinois/Local County/Cook/General/ -
Record Search Request Form
Illinois/Local County/Cook/General/ -
Order For Replevin (Without Notice)
Illinois/Local County/Cook/General/ -
Restitution Order
Illinois/Local County/Cook/General/ -
Commission To Take Deposition Outside Illinois
Illinois/Local County/Cook/General/ -
Order Prove Up
Illinois/Local County/Cook/General/ -
Affidavit Of Assets And Liabilities
Illinois/Local County/Cook/General/ -
Habeas Corpus
Illinois/Local County/Cook/General/ -
Bond Address Change
Illinois/2 Local County/Cook/General/ -
Agreed Petition for Refund of Fees Collected
Illinois/Local County/Cook/General/ -
Petition To Revive Judgment
Illinois/Local County/Cook/General/ -
Transfer Order Suburban District
Illinois/Local County/Cook/General/ -
Transfer Order To Presiding Judge
Illinois/2 Local County/Cook/General/ -
Petition To Vacate Bond Forfeiture And Judgment
Illinois/Local County/Cook/General/ -
Order Setting Case For Trial Conference And Trial
Illinois/2 Local County/Cook/General/ -
Affidavit Of Special Process Server
Illinois/2 Local County/Cook/General/ -
Warrant For Firearms
Illinois/2 Local County/Cook/General/ -
Notice And Acknowledgment Of Receipt Of Summons And Complaint
Illinois/Local County/Cook/General/ -
Waiver Of Pre-Sentence Report
Illinois/Local County/Cook/General/ -
Preliminary Hearing Waiver
Illinois/Local County/Cook/General/ -
Lis Pendens Notice
Illinois/Local County/Cook/General/ -
Summons For Discovery
Illinois/Local County/Cook/General/ -
Attachment Bond
Illinois/Local County/Cook/General/ -
Trial Lawyers Appearance
Illinois/Local County/Cook/General/ -
Affidavit Of Service Of Summons Outside Cook County
Illinois/Local County/Cook/General/ -
Complaint With Affidavit For Attachment And Interrogatories For Garnishee
Illinois/Local County/Cook/General/ -
Order To Notify Illinois State Police Of Adjudication As Mental Defective
Illinois/Local County/Cook/General/ -
Order To Notify State Police Of Adjudication Affecting FOID Status
Illinois/2 Local County/Cook/General/ -
Affidavit For Garnishment Non-Wage
Illinois/Local County/Cook/General/ -
Administrative Refund Approval
Illinois/Local County/Cook/General/ -
Clerks Certification Of Record For Appeal
Illinois/2 Local County/Cook/General/ -
Order To Turn Over Funds
Illinois/Local County/Cook/General/ -
Order Granting Defendants Motion For Exemption (Garnishment Call)
Illinois/2 Local County/Cook/General/ -
Transfer Order Outside Cook County
Illinois/Local County/Cook/General/ -
Subpoena In A Civil Matter (For Testimony And-Or Documents)
Illinois/Local County/Cook/General/ -
Order For Installment Payments Of Judgment And Costs
Illinois/Local County/Cook/General/ -
Pro Se Electronic Notice Registration
Illinois/Local County/Cook/General/ -
Pro Se Complaint For Illinois Administrative Review
Illinois/Local County/Cook/General/ -
Summons In Administrative Review
Illinois/Local County/Cook/General/ -
Objection Of Witness To Extended Media Coverage Of Testimony
Illinois/Local County/Cook/General/ -
Objection Of Party To Extended Media Coverage
Illinois/Local County/Cook/General/ -
Order On Request For Extended Media Coverage
Illinois/Local County/Cook/General/ -
Request For Extended Media Coverage
Illinois/Local County/Cook/General/ -
Certification Of Record (Out Of County)
Illinois/Local County/Cook/General/ -
Plenary Firearms Restraining Order
Illinois/Local County/Cook/General/ -
Firearms Restraining Order Warrant For Firearms
Illinois/Local County/Cook/General/ -
Disposition Order Firearms Restraining Order
Illinois/Local County/Cook/General/ -
Verified Petition For Firearms Restraining Order
Illinois/Local County/Cook/General/ -
Emergency Firearms Restraining Order
Illinois/Local County/Cook/General/ -
Order After Revocation Hearing
Illinois/Local County/Cook/General/ -
Summons - Firearms Restraining Order
Illinois/Local County/Cook/General/ -
Findings For Firearms Restraining Order
Illinois/Local County/Cook/General/ -
Motion To Terminate Firearms Restraining Order
Illinois/Local County/Cook/General/ -
Order - Conditions Of Pretrial Release
Illinois/Local County/Cook/General/ -
Wage Deduction Notice
Illinois/Local County/Cook/General/ -
Order After Sanctions Hearing
Illinois/Local County/Cook/General/ -
Order After Pretrial Detention Hearing
Illinois/Local County/Cook/General/ -
Transfer Order For Appointment of Counsel
Illinois/Local County/Cook/General/ -
Order - Termination Of EM GPS Home Confinement
Illinois/Local County/Cook/General/ -
Court Appointed Attorney - Order For Attorneys Fees
Illinois/Local County/Cook/General/ -
Order - Conditions Of Pretrial Release
Illinois/Local County/Cook/General/ -
Notice Of Confidential Information Within Court Filing
Illinois/Local County/Cook/General/ -
Dismissal Order
Illinois/Local County/Cook/General/ -
Motion To Vacate Cover Sheet
Illinois/Local County/Cook/General/ -
Petition For Hearing On Source Of Bail Funds Tendered
Illinois/2 Local County/Cook/General/ -
Order Setting Bail And Requiring Source Of Bail Funds Hearing
Illinois/Local County/Cook/General/ -
Civil No Contact Order
Illinois/Local County/Cook/General/ -
Motion To Seal Juror Cards
Illinois/Local County/Cook/General/ -
Notice Of Filing To Register A Foreign Judgment
Illinois/Local County/Cook/General/ -
Dismissal For Want Of Prosecution Order
Illinois/2 Local County/Cook/General/ -
Order To Seal Juror Cards
Illinois/2 Local County/Cook/General/ -
Summons In Administrative Review
Illinois/Local County/Cook/General/ -
Notice Of Filing
Illinois/Local County/Cook/General/ -
Order Approving Funds For Source Of Bail
Illinois/Local County/Cook/General/ -
Foreign Judgment Registration Cover Sheet
Illinois/Local County/Cook/General/ -
Order Disapproving Funds For Source Of Bail
Illinois/2 Local County/Cook/General/ -
Order Granting Source Of Bail Hearing
Illinois/Local County/Cook/General/ -
Foreign Judgment Final Judgment
Illinois/Local County/Cook/General/ -
Certificate Of Mailing Garnishment (Non-Wage)
Illinois/2 Local County/Cook/General/ -
Certificate Of Mailing Citation
Illinois/2 Local County/Cook/General/ -
Garnishment (Non-Wage) Notice
Illinois/Local County/Cook/General/ -
Garnishment Summons (Non-Wage)
Illinois/Local County/Cook/General/ -
Citation Notice
Illinois/Local County/Cook/General/ -
Notice Of Motion Citation Exemption Hearing
Illinois/Local County/Cook/General/ -
Arrest Warrant Execution Verification
Illinois/2 Local County/Cook/General/ -
Notice Of Motion Wage Deduction Exemption Hearing
Illinois/Local County/Cook/General/ -
Non-Wage Notice Of Motion Non-Wage Garnishment Exemption Hearing
Illinois/Local County/Cook/General/ -
Jury Waiver
Illinois/2 Local County/Cook/General/ -
Change Of Venue
Illinois/2 Local County/Cook/General/ -
Transfer Out Of Cook County Request Form
Illinois/Local County/Cook/General/ -
Emergency Motion
Illinois/Local County/Cook/General/ -
Criminal-Traffic Motion To Advance-Vacate-Amend
Illinois/Local County/Cook/General/ -
Injunction Bond
Illinois/2 Local County/Cook/General/ -
Definitions Pursuant To The Illinois Domestic Violence Act
Illinois/2 Local County/Cook/General/ -
Disposition Order - Civil No Contact Order
Illinois/Local County/Cook/General/ -
Findings Civil No Contact Orders
Illinois/Local County/Cook/General/ -
Petition For Civil No Contact Order
Illinois/Local County/Cook/General/ -
Wage Deduction Summons
Illinois/Local County/Cook/General/ -
Remote Hearing Plea Agreement [CCG 0142]
Illinois/Local County/Cook/General/ -
Order for LEADS Entry
Illinois/Local County/Cook/General/ -
Affidavit Of Request To Stop Payment
Illinois/Local County/Cook/General/ -
Fee Exempt Agency Cover Sheet
Illinois/Local County/Cook/General/ -
Disposition Order - Orders Of Protection
Illinois/2 Local County/Cook/General/ -
Memorandum Of Judgment
Illinois/Local County/Cook/General/ -
Affidavit In Support Of Firearms Warrant And Order
Illinois/Local County/Cook/General/
Form Preview
Contact Us
Success: Your message was sent.
Thank you!




