Last updated: 3/11/2025
Juvenile Dependency Ex Parte Application {JC-E-335}
Start Your Free Trial $ 15.99What you get:
- Instant access to fillable Microsoft Word or PDF forms.
- Minimize the risk of using outdated forms and eliminate rejected fillings.
- Largest forms database in the USA with more than 80,000 federal, state and agency forms.
- Download, edit, auto-fill multiple forms at once in MS Word using our Forms Workflow Ribbon
- Trusted by 1,000s of Attorneys and Legal Professionals
Description
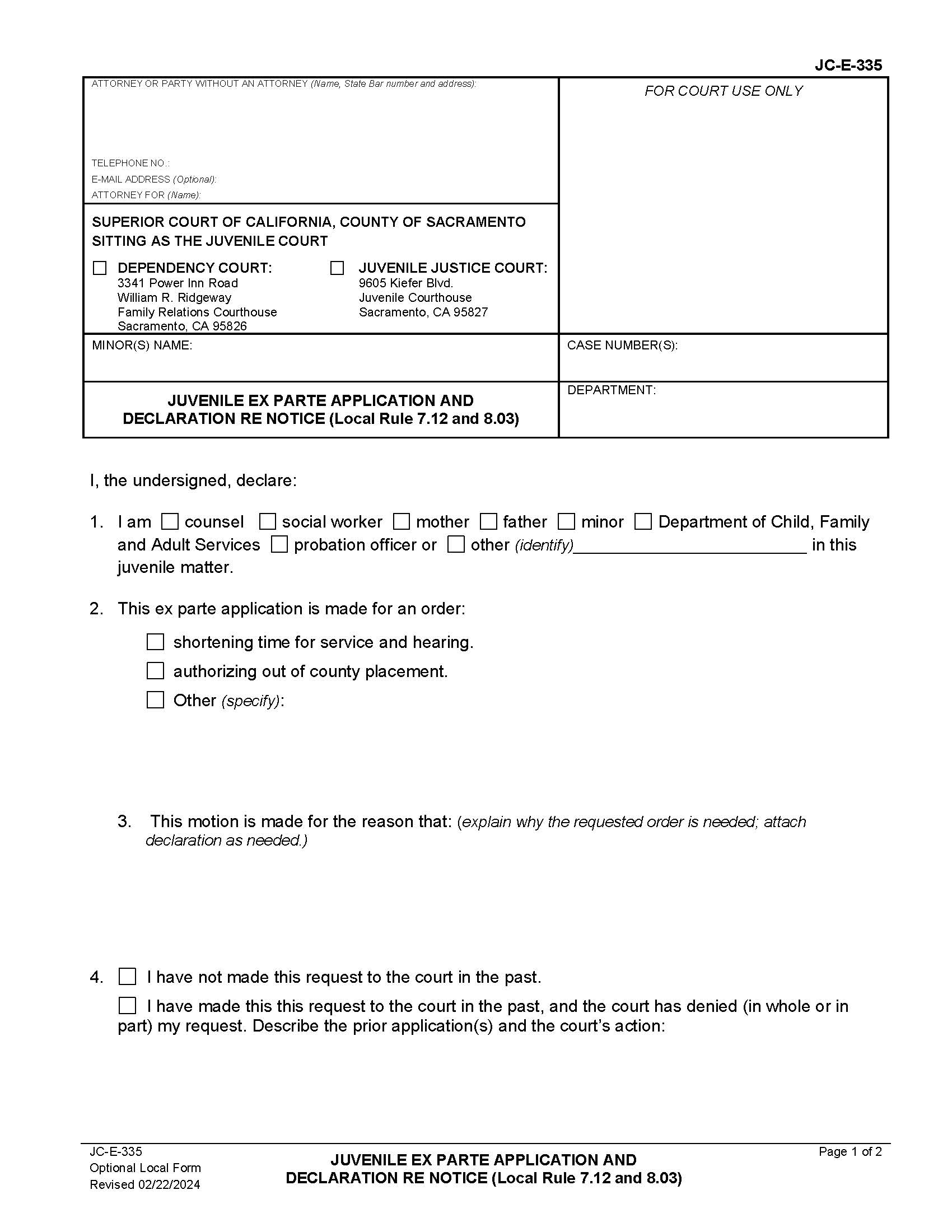
JC-E-335 - JUVENILE EX PARTE APPLICATION AND DECLARATION RE NOTICE (Local Rule 7.12 and 8.03). This form is used in the Superior Court of California, County of Sacramento, Juvenile Court to request urgent court orders in juvenile dependency or delinquency matters without the standard notice period. It allows parties such as attorneys, social workers, parents, probation officers, or representatives of the Department of Child, Family, and Adult Services to seek emergency relief. The form is used to request orders such as shortening time for service and hearing, authorizing out-of-county placement, or other urgent matters. The applicant must specify the reason for the request, indicate whether a similar request has been made before, and detail any attempts to notify relevant parties. If notice is not provided, the applicant must justify why notice should be waived, such as potential harm to the minor or frustration of the order’s purpose. Optional Local Form. www.FormsWorkflow.com
Related forms
-
Complaint About Performance Of Court Appointed Attorney
California/Local County/Sacramento/Juvenile Court/ -
Request To Attend Juvenile Court Proceedings
California/Local County/Sacramento/Juvenile Court/ -
Pre-Trial Statement
California/Local County/Sacramento/Juvenile Court/ -
Order To Produce State Prisoner To Testify
California/Local County/Sacramento/Juvenile Court/ -
Stipulated Request And Order
California/Local County/Sacramento/Juvenile Court/ -
Request For Juvenile Court To Appoint CASA
California/Local County/Sacramento/Juvenile Court/ -
Response To Juvenile Court Appointing CASA
California/Local County/Sacramento/Juvenile Court/ -
Declaration For Access To Juvenile Case File In Possession Of Juvenile Court
California/Local County/Sacramento/Juvenile Court/ -
Motion For Inclusion In Dependency Drug Court
California/Local County/Sacramento/Juvenile Court/ -
Court Order For Medical Authorization
California/Local County/Sacramento/Juvenile Court/ -
Notice Of Reassignment Of Court Appointed Attorney (Without Court Order)
California/Local County/Sacramento/Juvenile Court/ -
Stipulation And Request For Order Following Meet And Confer
California/Local County/Sacramento/Juvenile Court/ -
Juvenile Expert Panel Fee Claim Form
California/Local County/Sacramento/Juvenile Court/ -
Request For Court Order Authorizing Emergency Or Non-Routine Medical Surgical
California/Local County/Sacramento/Juvenile Court/ -
Physicians Declaration Re Medical Surgical Or Dental Care
California/Local County/Sacramento/Juvenile Court/ -
Order Authorizing Emergency Or Non-Routine Medical Surgical Or Dental Care
California/Local County/Sacramento/Juvenile Court/ -
Confidential Juvenile Dependency Settlement Conference (JDSC) Statement
California/Local County/Sacramento/Juvenile Court/ -
Order On Stipulation And Request For Order Following Meet And Confer
California/Local County/Sacramento/Juvenile Court/ -
Application For Court-Appointed Juvenile Justice Expert Panel
California/Local County/Sacramento/Juvenile Court/ -
Motion And Order To Return To Home Court Following Dependency Drug Court
California/Local County/Sacramento/Juvenile Court/ -
Dependency Drug Court-Notice Of Confidentiality And Waiver
California/Local County/Sacramento/Juvenile Court/ -
Application For Approval Of A Minors Request For Voluntary Inpatient Treatment
California/Local County/Sacramento/Juvenile Court/ -
Calendar Request And Request To Clear Protective Custody Warrant Pre-Detentionor Pre-Jurisdiction
California/Local County/Sacramento/Juvenile Court/ -
Notice Of Psychiatric Hospitalization And-Or Release Of Minor
California/Local County/Sacramento/Juvenile Court/ -
Request To Clear Or Recall Warrant
California/Local County/Sacramento/Juvenile Court/ -
Request To Recall Arrest Warrant
California/Local County/Sacramento/Juvenile Court/ -
Stipulated Request And Order To Change Trial Date
California/Local County/Sacramento/Juvenile Court/ -
Parent Complaint-Truancy (Complaint Against Parent For Failure To Comply)
California/Local County/Sacramento/Juvenile Court/ -
Order Authorizing Mental Health Care
California/Local County/Sacramento/Juvenile Court/ -
Court Ordered Pyschological-Psychiatric Evaluation Or Mental Health Assessment-For Children
California/Local County/Sacramento/Juvenile Court/ -
Notice To Court Of Due Diligence Of Mailing (WIC 291)
California/Local County/Sacramento/Juvenile Court/ -
Application For Rehearing And Statement
California/Local County/Sacramento/Juvenile Court/ -
Pre-Jurisdictional Motion To Modify Court Order And-Or Request For New Court Order
California/Local County/Sacramento/Juvenile Court/ -
Order Authorizing Medical And Dental Care And Limited Release Of Information
California/Local County/Sacramento/Juvenile Court/ -
Court Ordered Assessment Of Continued Parent-Child Relationship
California/2 Local County/Sacramento/Juvenile Court/ -
Request And Order For Adoption Records
California/2 Local County/Sacramento/Juvenile Court/ -
Order On Application For Approval Of A Minors Request For Voluntary Inpatient Psychiatric Treatment
California/2 Local County/Sacramento/Juvenile Court/ -
Court Ordered Psychological-Psychiatric Evaluation Or Mental Health Assessment-For Parent(s)
California/2 Local County/Sacramento/Juvenile Court/ -
Certification Of Attorney Competency
California/Local County/Sacramento/Juvenile Court/ -
Request For Appointment Of Counsel
California/Local County/Sacramento/Juvenile Court/ -
Juvenile Dependency Ex Parte Application
California/Local County/Sacramento/Juvenile Court/ -
Juvenile Proceedings-Request For Court Reporters Transcript
California/Local County/Sacramento/Juvenile Court/
Form Preview
Contact Us
Success: Your message was sent.
Thank you!




