Last updated: 2/6/2025
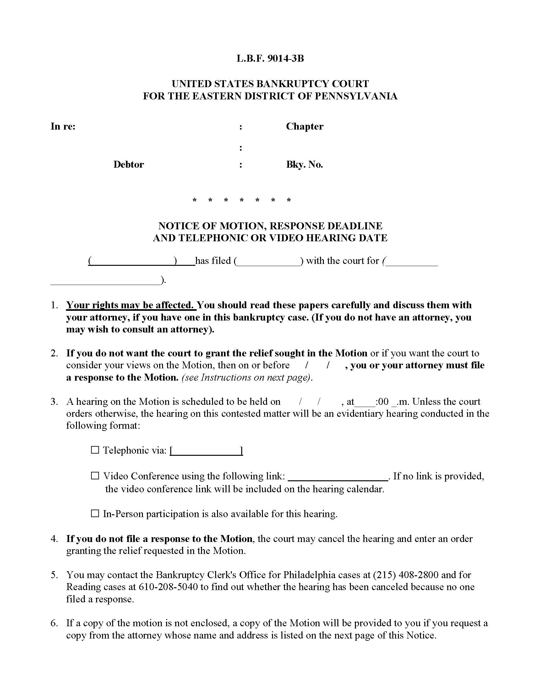
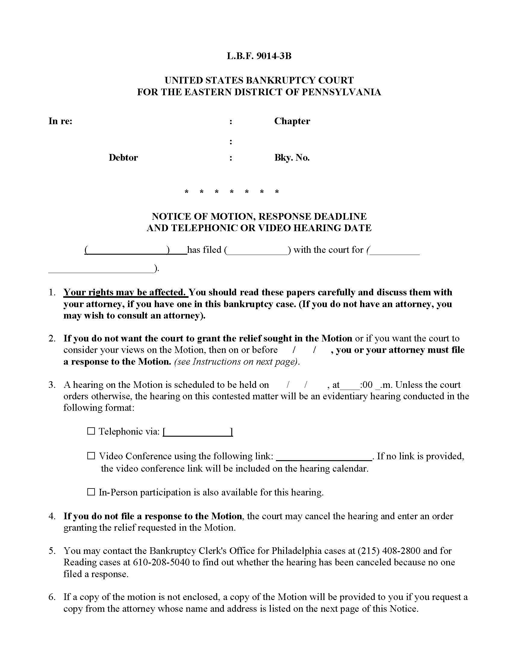
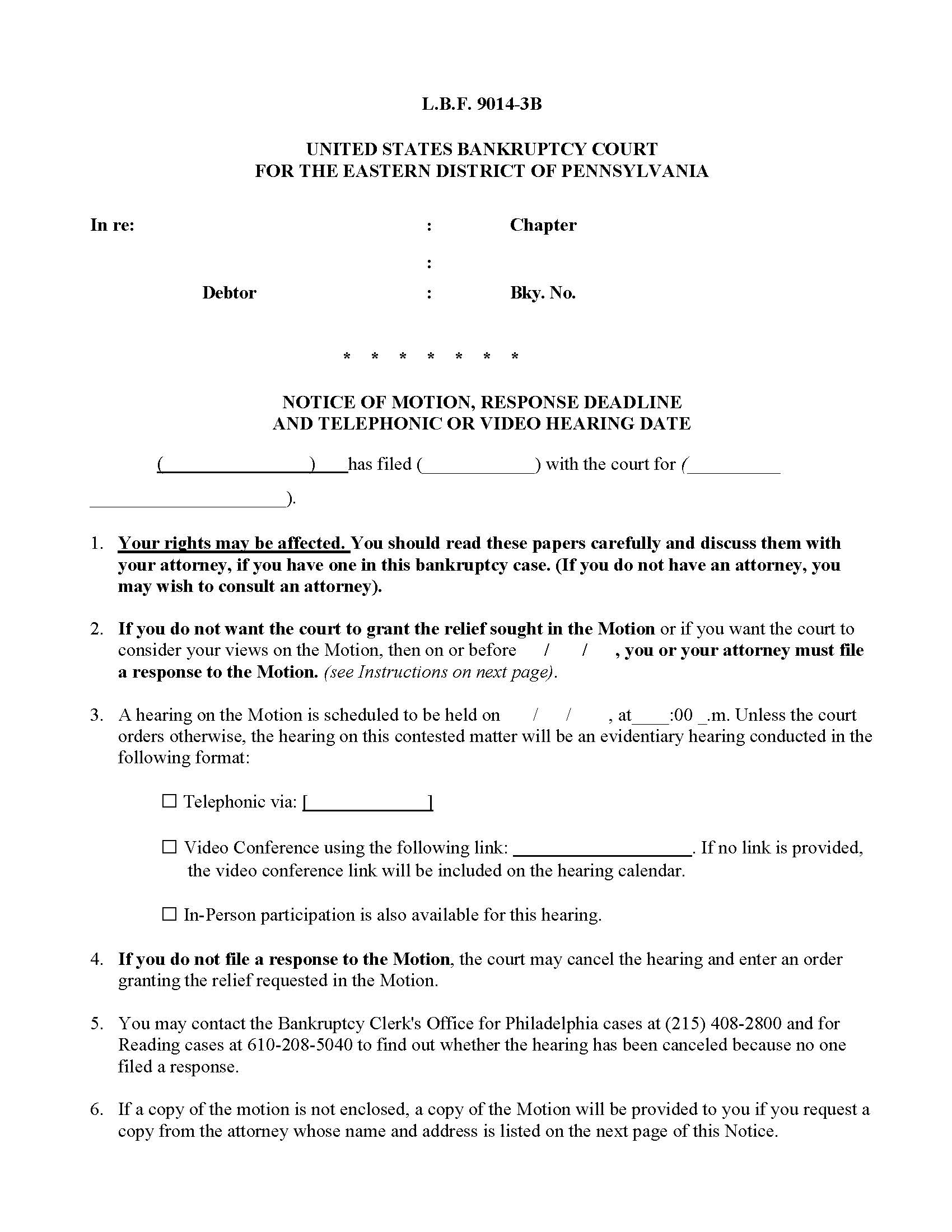
Notice Of Motion Response Deadline And Telephonic Or Video Hearing Date {LBF 9014-3B}
Start Your Free Trial $ 14.00What you get:
- Instant access to fillable Microsoft Word or PDF forms.
- Minimize the risk of using outdated forms and eliminate rejected fillings.
- Largest forms database in the USA with more than 80,000 federal, state and agency forms.
- Download, edit, auto-fill multiple forms at once in MS Word using our Forms Workflow Ribbon
- Trusted by 1,000s of Attorneys and Legal Professionals
Description
L.B.F. 9014-3B - NOTICE OF MOTION, RESPONSE DEADLINE AND TELEPHONIC OR VIDEO HEARING DATE. This form is a notice used in the United States Bankruptcy Court for the Eastern District of Pennsylvania. It notifies interested parties that a motion has been filed in a bankruptcy case and provides information on how to respond. It explains the relief being sought, advises recipients of their rights, and sets a deadline for filing a response. It also provides details of the scheduled hearing, specifying whether it will be held telephonically, via video conference, or in person. The notice informs parties that if they do not respond, the court may grant the requested relief without holding a hearing. www.FormsWorkflow.com





